首页 | 客服 | 上传赚现
AI助手
德优题库AI助手

AI助手

搜题▪组卷

(1)

服务热线

400-816-0029

    自建题库,共享分红

德优题库QQ交流群

233442. (2023•铁一中学•高一下二月) 在三棱锥PABC中,PA⊥平面ABCCACB,∠AOC,点O在棱AB上且是ABC的外心(三角形三边的垂直平分线的交点叫三角形的外心即外接圆的圆心),点G是△AOC的内心(三角形的内心是三角形三条角平分线的交点即内切圆的圆心),PAAB=2.
(1)求证:平面OPG⊥平面PAC
(2)求二面角POGB的正弦值.

共享时间:2023-06-22 难度:2
[考点]
平面与平面垂直,二面角的平面角及求法,
[答案]
(1)证明见解析;
(2)
[解析]
证明:(1)∵PA⊥平面ABCOG⊂平面ABC
PAOG
G为△AOC的内心,
OGAC
PAACAPA⊂平面PACAC⊂平面PAC
OG⊥平面PAC
OG⊂平面OPG
∴平面OPG⊥平面PAC
解:(2)延长OGACD,连接PD
OG⊥平面PACPD⊂平面PACCD⊂平面PAC,平面PAC∩平面OGBOD
OGPDOGCD
∴∠PDC为二面角POGB的平面角,
ACCBO为△ABC的外心,
OAB中点,且OAOBOC=1,

∴△AOC为等边三角形:
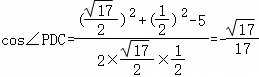
在Rt△PAD中,,∴
在Rt△PAC中,PA=2,AC=1,∴

∵∠PDC∈[0,π],∴
所以二面角POGB的正弦值为

[点评]
本题考查了"平面与平面垂直,二面角的平面角及求法,",属于"必考题",熟悉题型是解题的关键。
转载声明:
本题解析属于发布者收集录入,如涉及版权请向平台申诉! !版权申诉
168594. (2021•西安中学•九模) 如图,AB是半圆O的直径,C是半圆O上异于AB的一个动点,CD⊥平面ABCBECD,且BECD=2,AB=4.
(1)证明:平面ADE⊥平面ACD
(2)当C为半圆弧的中点时,求二面角DAEB的正弦值.

共享时间:2021-06-23 难度:2 相似度:2
166367. (2024•长安区一中•高三上四月) 如图,四棱柱ABCDA1B1C1D1的底面ABCD为直角梯形,∠DAB=∠ADC=90°,ABAD=1,CD=2,BD1CD.点MCD1的中点,且CD1=2BM
(1)证明:平面BDM⊥平面BCD1
(2)若钝二面角BDMC的余弦值为﹣,当BD1BD时,求BD1的长.

共享时间:2024-02-12 难度:2 相似度:2
167988. (2023•师大附中•十一模) 如图,ABCD分别是圆台上、下底面的直径,且ABCD,点E(异于DC两点)是下底面圆周上一点,AB=2,圆台的高为
(1)证明:不存在点E使平面AEC⊥平面ADE
(2)若DECE=4,求二面角DAEB的余弦值.

共享时间:2023-07-16 难度:2 相似度:2
168297. (2022•西工大附中•一模) 如图所示的几何体是由等高的半个圆柱和个圆柱拼接而成,点G为弧的中点,且CEDG四点共面.
(1)证明:平面BFD⊥平面BCG
(2)若平面BDF与平面ABG所成锐二面角的余弦值为,求直线DF与平面ABF所成角的大小.

共享时间:2022-03-12 难度:3 相似度:1.67
167694. (2024•西安中学•五模) 如图所示,三棱柱ABCA1B1C1所有棱长都为2,B1BC=60°,OBC中点,DA1CAC1交点.
(1)证明:CD∥平面AOB1
(2)证明:平面BCD⊥平面AB1C1
(3)若直线DB1与平面AOB1所成角的正弦值为,求二面角A1CB1C1的平面角的余弦值.

共享时间:2024-05-09 难度:3 相似度:1.67
166857. (2024•西安八十五中•高二上一月) 如图,在直三棱柱ABCA1B1C1中,M为棱AC的中点,ABBCAC=2,AA1
(1)求证:B1C∥平面A1BM
(2)求证:AC1⊥平面A1BM
(3)在棱BB1上是否存在点N,使得平面AC1N⊥平面AA1C1C?如果存在,求此时的值;如果不存在,请说明理由.

共享时间:2024-10-13 难度:1 相似度:1.5
167564. (2023•关山中学•高二上一月) 如图,在直三棱柱ABCA1B1C1中,AA1AC=4,AB=3,BC=5,点D是线段BC的中点.请用空间向量的知识解答下列问题:
(1)求证:ABA1C
(2)试求二面角DCA1A的余弦值.

共享时间:2023-10-16 难度:1 相似度:1.5
166487. (2024•铁一中学•高二上一月) 如图,已知四棱锥PABCD的底面ABCD是平行四边形,侧面PAB是等边三角形,BC=2AB=4,ABACPBAC.请用空间向量的知识解答下列问题:
(1)求PD与平面PAB所成角的大小;
(2)设Q为侧棱PD上一点,四边形BEQF是过BQ两点的截面,且AC∥平面BEQF,是否存在点Q,使得平面BEQF与平面PAD夹角的余弦值为?若存在,求的值;若不存在,说明理由.

共享时间:2024-10-27 难度:2 相似度:1
168079. (2023•西工大附中•十三模) 如图,已知三棱柱ABCA1B1C1,∠ACB=90°,AC1A1CD为线段A1C上的动点,AC1BD
(1)求证:平面ACC1A1⊥平面ABC
(2)若AA1ACD为线段A1C的中点,AC=2BC=2,求B1D与平面A1BC所成角的正弦值.

共享时间:2023-07-27 难度:2 相似度:1
166431. (2024•西光中学•高二上一月) 如图,直三棱柱ABCA1B1C1的体积为4,△A1BC的面积为
(1)求A到平面A1BC的距离;
(2)设DA1C的中点,AA1AB,平面A1BC⊥平面ABB1A1,求二面角ABDC的正弦值.

共享时间:2024-10-12 难度:2 相似度:1
167877. (2024•西工大附中•模拟) 如图,四棱锥PABCD,侧面PAD是边长为2的正三角形,且与底面垂直,底面ABCD是∠ABC=60°的菱形,M为棱PC上的动点,且=λ(λ∈[0,1]).
(1)求证:△PBC为直角三角形;
(2)试确定λ的值,使得二面角PADM的平面角余弦值为

共享时间:2024-03-05 难度:2 相似度:1
167900. (2024•西安八十九中•三模) 如图,已知AC是圆O的直径,PA⊥平面ABCDEPC的中点,∠DAC=∠AOB
(1)证明:BE∥平面PAD
(2)求证:平面BEO⊥平面PCD

共享时间:2024-04-02 难度:2 相似度:1
167940. (2023•师大附中•三模) 在三棱锥SABC中,△ABC是边长为4的正三角形,平面SAC⊥平面ABCMN分别为ABSB的中点.
(1)证明:ACSB
(2)求二面角N﹣CMB正弦值的大小.

共享时间:2023-04-08 难度:2 相似度:1
167965. (2023•师大附中•十一模) 如图所示,已知三棱台ABCA1B1C1中,AB1BB1CB1BB1,∠ABB1=∠CBB1=60°,ABBCBB1=1.
(1)求二面角ABB1C的余弦值;
(2)设EF分别是棱ACA1C1的中点,若EF⊥平面ABC,求棱台ABCA1B1C1的体积.

共享时间:2023-07-18 难度:2 相似度:1
166388. (2024•长安区一中•高二上二月) 如图,在三棱柱ABCA1B1C1中,侧面ACC1A1是矩形,ACABABAA1=2,AC=3,∠A1AB=120°,EF分别为棱A1B1BC的中点,G为线段CF的中点.
(1)证明:A1G∥平面AEF
(2)求二面角AEFB的余弦值.

共享时间:2024-12-18 难度:2 相似度:1

dygzsxyn

2023-06-22

高中数学 | 高一下 | 解答题

  • 下载量
  • 浏览量
  • 收益额
  • 0
  • 3
  • 0
相同试题
试题下载
试题内容
调用试题名称
共享人
唐老师
试题题型
解答题
试题难度
试题题源
2020*西工大*期末
下载次数
168次
下载金币
5德优币(当前结余18德优币)
温馨提示
该试题下载至自主题库后,下载、备课永久免费!
试卷设置
试卷名称
省市校区
阶段科目
年份卷型
选择类型
已选考点
在线训练
视频讲解
温馨提示
视频讲解正在加载中、请等待!
温馨提示
对不起!这是别人共享的试题,需要下载到自主题库后,可将该试题添加到白板
视频解析购买
支付方式
德优币数
本次消耗0德优币
温馨提示

客服电话:400-816-0029,服务邮箱:610066832@qq.com

视频资源

试题找茬
纠错类型
纠错描述
温馨提示
共享试题、试卷经平台审核通过后方可展示,并永久享用用户下载分红权!