首页 | 客服 | 上传赚现
AI助手
德优题库AI助手

AI助手

搜题▪组卷

(1)

服务热线

400-816-0029

    自建题库,共享分红

德优题库QQ交流群

233164. (2023•西安中学•高二下二月) 已知等差数列{an}和等比数列{bn}满足a1=4,b1=2,a2=2b2﹣1,a3b3+2.
(Ⅰ)求{an}和{bn}的通项公式;
(Ⅱ)数列{an}和{bn}中的所有项分别构成集合AB,将AB的所有元素按从小到大依次排列构成一个新数列{cn},求数列{cn}的前60项和S60
共享时间:2023-06-24 难度:2
[考点]
数列的求和,等差数列与等比数列的综合,
[答案]
(Ⅰ)an=3n+1,bn=2n;(Ⅱ)5014.
[解析]
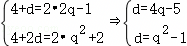
解:(Ⅰ)设等差数列{an}的公差为d,等比数列{bn}的公比为q

q=2,d=3,
an=3n+1,
(Ⅱ)当{cn}的前60项中含有{bn}的前6项时,
令3n+1<27=128,可得n
此时至多有42+6=48项(不符);
当{cn}的前60项中含有{bn}的前7项时,
令3n+1<28=256,可得n<85,
且22,24,26是{an}和{bn}的公共项,
则{cn}的前60项中含有{bn}的前7项且含有{an}的前56项,再减去公共的三项.
S60=(56×4+×3)+2+23+25+27=4844+170=5014.
[点评]
本题考查了"数列的求和,等差数列与等比数列的综合,",属于"易错题",熟悉题型是解题的关键。
转载声明:
本题解析属于发布者收集录入,如涉及版权请向平台申诉! !版权申诉
168663. (2021•西安中学•仿真) 已知数列{an}的前n项和Snn2+n,等比数列{bn}的公比q>1,且b3+b4+b5=28,b4+2是b3b5的等差中项.
(Ⅰ)求数列{an}和{bn}的通项公式;
(Ⅱ)求数列{bn}的前n项和Tn
共享时间:2021-06-07 难度:2 相似度:2
169099. (2020•西工大附中•三模) 已知等比数列{an}的前n项和为Sna2a7=3a42,且﹣3,S4,9a3成等差数列.
(1)求数列{an}的通项公式;
(2)设bn=(﹣1)nan+,求数列{bn}的前n项和Tn
共享时间:2020-04-14 难度:2 相似度:2
169168. (2020•高新一中•三模) 已知等差数列{an}的公差d≠0,若a6=11,且a2a5a14成等比数列.
(1)求数列{an}的通项公式;
(2)设,求数列{bn}的前n项和Sn
共享时间:2020-04-01 难度:2 相似度:2
166605. (2024•华清中学•高二上二月) 已知数列{an}是单调递增的等比数列,数列{bn}是等差数列,且a1b1=3,a2+b2=17,a3b3=14.
(1)求数列{an}与数列{bn}的通项公式;
(2)求数列{anbn}的前n项和Sn
共享时间:2024-12-25 难度:2 相似度:2
171479. (2023•西工大附中•高二上期中) 已知{an}为等差数列,a1=2,且a1a2a5成等比数列.
(1)求{an}的通项公式;
(2)若{an}为递增数列,bnan﹣16,设{bn}的前n项和为Sn,求Sn取最小时的n值.
共享时间:2023-11-17 难度:2 相似度:2
167941. (2023•师大附中•三模) 已知数列{an}是等差数列,a1=1,且a1a2a5﹣1成等比数列.给定k∈N*,记集合的元素个数为bk
(1)求b1b2b3的值;
(2)设数列{bn}的前n项和为Sn,判断数列{Sn}的单调性,并证明.
共享时间:2023-04-08 难度:2 相似度:2
171325. (2023•西安中学•高三上期中) 已知等差数列{an}前三项的和为﹣3,前三项的积为8.
(1)求等差数列{an}的通项公式;
(2)若a2a3a1成等比数列,求数列{|an|}的前n项和.
共享时间:2023-11-28 难度:2 相似度:2
19750. (2021•陕西省•乙卷) 设{an}是首项为1的等比数列,数列{bn}满足bn,已知a1,3a2,9a3成等差数列.
(1)求{an}和{bn}的通项公式;
(2)记SnTn分别为{an}和{bn}的前n项和.证明:Tn
共享时间:2021-06-21 难度:4 相似度:1.67
170441. (2022•长安区一中•高二上期末) Sn为数列{an}的前n项和,且满足2Snna1+an).
(1)求证:数列{an}为等差数列;
(2)若a3=5,且a1a2a5成等比数列,求数列{an}的前4n项和S4n
共享时间:2022-02-23 难度:3 相似度:1.67
170528. (2022•高新三中•高一下期中) Sn为公差不为0的等差数列{an}的前n项和,已知S2=﹣30,且a1a5a7成等比数列.
(1)求数列{an}的通项公式;
(2)求Sn,并求Sn的最小值.
共享时间:2022-05-23 难度:1 相似度:1.5
170122. (2023•铁一中学•高三上期末) 已知等差数列{an}(n∈N+)中,an+1ana2a9=232,a4+a7=37.
(1)求数列{an}的通项公式;
(2)若将数列{an}的项重新组合,得到新数列{bn},具体方法如下:b1a1b2a2+a3b3a4+a5+a6+a7b4a8+a9+a10+…a15,…,依此类推,第nbn由相应的{an}中2n﹣1项的和组成,求数列{bn}的前n项和Tn
共享时间:2023-02-08 难度:1 相似度:1.5
170056. (2023•西工大附中•高二上期末) 已知等比数列{an}的前n项和为Sn,且a1=1.
(1)求数列{an}的通项公式;
(2)设,求数列{bn}的前n项和Tn
共享时间:2023-03-01 难度:1 相似度:1.5
169675. (2024•西电附中•高二上期末) 在①a8=9,②S5=20,③a2+a9=13这三个条件中选择两个,补充在下面问题中,并进行解答.已知等差数列{an}的前n项和为Snn∈N*,_____,_____.
(1)求数列{an}的通项公式;
(2)设bn,求数列{bn}的前n项和Tn
注:如果选择多组条件分别解答,按第一个解答计分.
共享时间:2024-02-14 难度:1 相似度:1.5
169634. (2024•西安三中•高二上期末) 各项都为整数的数列{an}满足a2=﹣2,a7=4,前6项依次成等差数列,从第5项起依次成等比数列.
(1)求数列{an}的通项公式;
(2)求出所有的正整数m,使得am+am+1+am+2amam+1am+1
共享时间:2024-02-04 难度:1 相似度:1.5
171435. (2024•长安区一中•高二下期中) 已知{an}为等差数列,{bn}为单调递增的等比数列,a1b1=1,a2+a4=6,a3b3=12.
(1)求{an}与{bn}的通项公式;
(2)求数列{an+bn}的前n项和Sn
共享时间:2024-05-30 难度:1 相似度:1.5

dygzsxyn

2023-06-24

高中数学 | 高二下 | 解答题

  • 下载量
  • 浏览量
  • 收益额
  • 0
  • 3
  • 0
相同试题
试题下载
试题内容
调用试题名称
共享人
唐老师
试题题型
解答题
试题难度
试题题源
2020*西工大*期末
下载次数
168次
下载金币
5德优币(当前结余18德优币)
温馨提示
该试题下载至自主题库后,下载、备课永久免费!
试卷设置
试卷名称
省市校区
阶段科目
年份卷型
选择类型
已选考点
在线训练
视频讲解
温馨提示
视频讲解正在加载中、请等待!
温馨提示
对不起!这是别人共享的试题,需要下载到自主题库后,可将该试题添加到白板
视频解析购买
支付方式
德优币数
本次消耗0德优币
温馨提示

客服电话:400-816-0029,服务邮箱:610066832@qq.com

视频资源

试题找茬
纠错类型
纠错描述
温馨提示
共享试题、试卷经平台审核通过后方可展示,并永久享用用户下载分红权!