首页 | 客服 | 上传赚现
AI助手
德优题库AI助手

AI助手

搜题▪组卷

(1)

服务热线

400-816-0029

    自建题库,共享分红

德优题库QQ交流群

232690. (2024•高新一中•高一下一月) 下列说法正确的是(  )

A.,则的最大值是﹣1  

B.xyz都是正数,且x+y+z=2,则的最小值是3

C.x>0,y>0,x+2xy+2y=8,则x+2y的最小值是3  

D..若实数xy满足x2+2xy+2y2=8,则x+2y的最大值是4

共享时间:2024-04-14 难度:1
[考点]
基本不等式及其应用,
[答案]
ABD
[解析]
解:对于A,因为,所以1﹣2x>0,

当且仅当,即x=0时取等号,
所以的最大值是﹣1,故A正确;
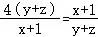
对于B,由xyz都是正数,且x+y+z=2,得(x+1)+(y+z)=3,


当且仅当,即x=1,y+z=1时取等号,
所以的最小值是3,故B正确;
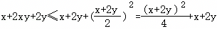
对于C,若x>0,y>0,x+2xy+2y=8,

所以,解得x+2y≥4或x+2y≤﹣8(舍去),
所以x+2y≥4,当且仅当x=2y=2时取等号,
所以x+2y的最小值是4,故C错误;
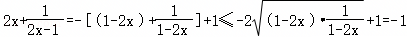
对于D,令x+2yk,则xk﹣2y
x2+2xy+2y2=8,则(k﹣2y2+2yk﹣2y)+2y2=8,
化简得2y2﹣2ky+k2﹣8=0,
所以Δ=4k2﹣8(k2﹣8)≥0,解得﹣4≤k≤4,
所以x+2y的最大值是4,故D正确.
故选:ABD
[点评]
本题考查了"基本不等式及其应用,",属于"基础题",熟悉题型是解题的关键。
转载声明:
本题解析属于发布者收集录入,如涉及版权请向平台申诉! !版权申诉
166402. (2024•远东二中•高一上一月) 下列说法中,正确的有(  )

A.的最小值是2  

B.的最小值是2  

C..若abc∈R,则a2+b2+c2ab+ac+bc

D.abc∈(0,+∞),则(a+b)(b+c)(a+c)≥8abc

共享时间:2024-10-29 难度:1 相似度:2
232040. (2024•西工大附中•高一上一月) 下列结论正确的是(  )

A.x>0时, 

B.x>2时,的最小值是2 

C.时,的最大值为0

D..当x>0,y>0时,

共享时间:2024-10-16 难度:1 相似度:2
232840. (2023•滨河中学•高一上一月) a>0,b>0,且a+b=4,则下列不等式恒成立的是(  )
A.a2+b2≥8   
B. 
C.                    
D.
共享时间:2023-10-18 难度:1 相似度:2
232907. (2023•交大附中•高一上一月) a>0,b>0,则下列不等式一定成立的是(  )

A.             

C.

B.              

D.

共享时间:2023-10-23 难度:1 相似度:2
233337. (2022•西工大附中•高一上一月) 已知ab为正实数,且ab+2a+b=6,则(  )

A.ab的最大值为2

B..2a+b的最小值为4  

C.a+b的最小值为3

D.的最小值为

共享时间:2022-10-18 难度:1 相似度:2
232995. (2023•交大附中•高一上一月) 下列说法正确的有(  )

A.,则的最大值是﹣1  

B..若x∈R,则的最小值为2

C..若abc均为正实数,且a2+=1,则a的最大值是  

D..已知a>0,b>0,且,则ab﹣1)最小值是

共享时间:2023-10-29 难度:2 相似度:1.5
169645. (2024•交大附中•高一上期末) 下列四个命题中,是真命题的是(  )

A.x∈R,且x≠0,

B.x0∈R,使得 

C.x∈R,则函数的最小值为2

D..当1<x<3时,不等式x2mx+4>0恒成立,则实数m的取值范围是m<4

共享时间:2024-02-04 难度:3 相似度:1.33
169494. (2024•铁一中学•高一上期末) 下列命题中,正确的有(  )

A.最小值是4  

B.a>1”是“a2a“的充分不必要条件  

C.ab,则

D.函数y=logax﹣3)+2(a>0且a≠1)的图象恒过定点P(4,2)

共享时间:2024-02-13 难度:4 相似度:1.25
232585. (2023•鄠邑二中•高一上一月) 下列说法中,正确的有(  )

A.ab<0,则abb2 

B.ab>0,则

C..若对恒成立,则实数m的最大值为2   

D..已知x>0,y>0,且,则x+2y的最小值为

共享时间:2023-10-16 难度:4 相似度:1.25
233358. (2022•西工大附中•高一上二月) 下列说法正确的是(  )

A..命题“∀x∈R,x2+x+1>0”的否定为“∃x∈R,x2+x+1>0” 

B.x≠2或y≠3”是“x+y≠5”的必要不充分条件 

C..已知abc∈R,ac2bc2,则ab  

D..当时,的最小值是

共享时间:2022-12-20 难度:5 相似度:1.17

dygzsxyn

2024-04-14

高中数学 | 高一下 | 多选题

  • 下载量
  • 浏览量
  • 收益额
  • 0
  • 3
  • 0
相同试题
试题下载
试题内容
调用试题名称
共享人
唐老师
试题题型
解答题
试题难度
试题题源
2020*西工大*期末
下载次数
168次
下载金币
5德优币(当前结余18德优币)
温馨提示
该试题下载至自主题库后,下载、备课永久免费!
试卷设置
试卷名称
省市校区
阶段科目
年份卷型
选择类型
已选考点
在线训练
视频讲解
温馨提示
视频讲解正在加载中、请等待!
温馨提示
对不起!这是别人共享的试题,需要下载到自主题库后,可将该试题添加到白板
视频解析购买
支付方式
德优币数
本次消耗0德优币
温馨提示

客服电话:400-816-0029,服务邮箱:610066832@qq.com

视频资源

试题找茬
纠错类型
纠错描述
温馨提示
共享试题、试卷经平台审核通过后方可展示,并永久享用用户下载分红权!