首页 | 客服 | 上传赚现
AI助手
德优题库AI助手

AI助手

搜题▪组卷

(1)

服务热线

400-816-0029

    自建题库,共享分红

德优题库QQ交流群

232420. (2023•滨河中学•高二上二月) 已知等差数列{an}的前n项和为Sn,公差d≠0,S2S4S5+4成等差数列,a2a4a8成等比数列.
(1)求Sn
(2)记数列{bn}的前n项和为Tn,证明数列为等比数列,并求{bn}的通项公式.
共享时间:2023-12-19 难度:3
[考点]
等差数列的前n项和,数列的求和,等差数列与等比数列的综合,
[答案]
(1)
(2)
[解析]
解:(1)由S2S4S5+4成等差数列,a2a4a8成等比数列,
可得
所以
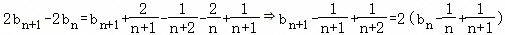
(2)由

两式相减可得

所以为公比为2的等比数列,且首项为
,进而
[点评]
本题考查了"等差数列的前n项和,数列的求和,等差数列与等比数列的综合,",属于"难典题",熟悉题型是解题的关键。
转载声明:
本题解析属于发布者收集录入,如涉及版权请向平台申诉! !版权申诉
169099. (2020•西工大附中•三模) 已知等比数列{an}的前n项和为Sna2a7=3a42,且﹣3,S4,9a3成等差数列.
(1)求数列{an}的通项公式;
(2)设bn=(﹣1)nan+,求数列{bn}的前n项和Tn
共享时间:2020-04-14 难度:2 相似度:1.67
167941. (2023•师大附中•三模) 已知数列{an}是等差数列,a1=1,且a1a2a5﹣1成等比数列.给定k∈N*,记集合的元素个数为bk
(1)求b1b2b3的值;
(2)设数列{bn}的前n项和为Sn,判断数列{Sn}的单调性,并证明.
共享时间:2023-04-08 难度:2 相似度:1.67
166387. (2024•长安区一中•高二上二月) Sn为等差数列{an}的前n项和,已知a2=11,S10=40.
(1)求{an}的通项公式;
(2)求数列{|an|}的前n项和Tn
共享时间:2024-12-18 难度:2 相似度:1.67
166605. (2024•华清中学•高二上二月) 已知数列{an}是单调递增的等比数列,数列{bn}是等差数列,且a1b1=3,a2+b2=17,a3b3=14.
(1)求数列{an}与数列{bn}的通项公式;
(2)求数列{anbn}的前n项和Sn
共享时间:2024-12-25 难度:2 相似度:1.67
171479. (2023•西工大附中•高二上期中) 已知{an}为等差数列,a1=2,且a1a2a5成等比数列.
(1)求{an}的通项公式;
(2)若{an}为递增数列,bnan﹣16,设{bn}的前n项和为Sn,求Sn取最小时的n值.
共享时间:2023-11-17 难度:2 相似度:1.67
166837. (2024•西安八十五中•一模) 设等差数列{an}的公差为d,且d>1.令,记SnTn分别为数列{an},{bn}的前n项和.
(1)若3a2=3a1+a3S3+T3=21,求{an}的通项公式;
(2)若{bn}为等差数列,且S99T99=99,求d
共享时间:2024-03-12 难度:2 相似度:1.67
171325. (2023•西安中学•高三上期中) 已知等差数列{an}前三项的和为﹣3,前三项的积为8.
(1)求等差数列{an}的通项公式;
(2)若a2a3a1成等比数列,求数列{|an|}的前n项和.
共享时间:2023-11-28 难度:2 相似度:1.67
167147. (2023•西安中学•高二上二月) Sn是等差数列{an}的前n项和,若S5=﹣35,S7=﹣21.
(1)求{an}的通项公式,并求Sn的最小值;
(2)设bn=|an|,求数列{bn}的前n项和Tn
共享时间:2023-12-17 难度:2 相似度:1.67
169168. (2020•高新一中•三模) 已知等差数列{an}的公差d≠0,若a6=11,且a2a5a14成等比数列.
(1)求数列{an}的通项公式;
(2)设,求数列{bn}的前n项和Sn
共享时间:2020-04-01 难度:2 相似度:1.67
168663. (2021•西安中学•仿真) 已知数列{an}的前n项和Snn2+n,等比数列{bn}的公比q>1,且b3+b4+b5=28,b4+2是b3b5的等差中项.
(Ⅰ)求数列{an}和{bn}的通项公式;
(Ⅱ)求数列{bn}的前n项和Tn
共享时间:2021-06-07 难度:2 相似度:1.67
171936. (2022•长安区一中•高二上期中) {an}是等差数列,公差d>0,Sn是{an}的前n项和.已知a1a4=22.S4=26.
(1)求数列{an}的通项公式an
(2)令,求数列{bn}前n项和Tn
共享时间:2022-11-29 难度:3 相似度:1.34
170441. (2022•长安区一中•高二上期末) Sn为数列{an}的前n项和,且满足2Snna1+an).
(1)求证:数列{an}为等差数列;
(2)若a3=5,且a1a2a5成等比数列,求数列{an}的前4n项和S4n
共享时间:2022-02-23 难度:3 相似度:1.34
169269. (2025•西工大附中•高二上期末) 已知等差数列{an}满足a2+a5=12,a6=11,正项等比数列{bn}满足
(1)求{an}的通项公式;
(2)求{bn}的前n项积Tn
共享时间:2025-02-18 难度:3 相似度:1.34
19750. (2021•陕西省•乙卷) 设{an}是首项为1的等比数列,数列{bn}满足bn,已知a1,3a2,9a3成等差数列.
(1)求{an}和{bn}的通项公式;
(2)记SnTn分别为{an}和{bn}的前n项和.证明:Tn
共享时间:2021-06-21 难度:4 相似度:1.34
169675. (2024•西电附中•高二上期末) 在①a8=9,②S5=20,③a2+a9=13这三个条件中选择两个,补充在下面问题中,并进行解答.已知等差数列{an}的前n项和为Snn∈N*,_____,_____.
(1)求数列{an}的通项公式;
(2)设bn,求数列{bn}的前n项和Tn
注:如果选择多组条件分别解答,按第一个解答计分.
共享时间:2024-02-14 难度:1 相似度:1.33

dygzsxyn

2023-12-19

高中数学 | 高二上 | 解答题

  • 下载量
  • 浏览量
  • 收益额
  • 0
  • 3
  • 0
相同试题
试题下载
试题内容
调用试题名称
共享人
唐老师
试题题型
解答题
试题难度
试题题源
2020*西工大*期末
下载次数
168次
下载金币
5德优币(当前结余18德优币)
温馨提示
该试题下载至自主题库后,下载、备课永久免费!
试卷设置
试卷名称
省市校区
阶段科目
年份卷型
选择类型
已选考点
在线训练
视频讲解
温馨提示
视频讲解正在加载中、请等待!
温馨提示
对不起!这是别人共享的试题,需要下载到自主题库后,可将该试题添加到白板
视频解析购买
支付方式
德优币数
本次消耗0德优币
温馨提示

客服电话:400-816-0029,服务邮箱:610066832@qq.com

视频资源

试题找茬
纠错类型
纠错描述
温馨提示
共享试题、试卷经平台审核通过后方可展示,并永久享用用户下载分红权!