首页 | 客服 | 上传赚现
AI助手
德优题库AI助手

AI助手

搜题▪组卷

(1)

服务热线

400-816-0029

    自建题库,共享分红

德优题库QQ交流群

232337. (2023•铁一中学•高二上一月) 若复数z=(x2﹣1)+(x+1)i为纯虚数(i为虚数单位),则实数x的值为(  )
A.﹣1       
B.0         
C.1         
D.﹣1或1
共享时间:2023-10-22 难度:2
[考点]
虚数单位i、复数,纯虚数,
[答案]
C
[解析]
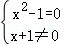
解:∵复数z=(x2﹣1)+(x+1)i为纯虚数(i为虚数单位),
,解得x=1.
故选:C
[点评]
本题考查了"虚数单位i、复数,纯虚数,",属于"必考题",熟悉题型是解题的关键。
转载声明:
本题解析属于发布者收集录入,如涉及版权请向平台申诉! !版权申诉
237811. (2018•铁一中学•高二下期中) 若复数a∈R,i为虚数单位)是纯虚数,则实数a的值为(  )
A.6         
B.﹣6        
C..5       
D..﹣4
共享时间:2018-05-28 难度:2 相似度:2
168211. (2021•西安中学•四模) i是虚数单位,若复数aa∈R)是纯虚数,则a的值为(  )
A.﹣3       
B.﹣1        
C.1
D..3
共享时间:2021-04-28 难度:2 相似度:2
231637. (2015•西工大附中•二模) i是虚数单位,若复数aa∈R)是纯虚数,则a的值为(  )
A.﹣3       
B.﹣1        
C..1       
D..3
共享时间:2015-03-25 难度:2 相似度:2
168533. (2021•西安中学•六模) 已知i为虚数单位,且复数a2﹣1+(a﹣1)i是纯虚数,则实数a的值为(  )
A..1或﹣1  
B..1        
C..﹣1     
D..0
共享时间:2021-05-15 难度:2 相似度:2
231520. (2015•西安一中•一模) 若复数x∈R)为纯虚数,则x等于(  )
A..0       
B.1         
C..﹣1     
D..0或1
共享时间:2015-03-01 难度:3 相似度:1.67
231497. (2015•西安中学•一模) 若复数x∈R)为纯虚数,则x等于(  )
A.0         
B.1         
C.﹣1       
D.0或1
共享时间:2015-03-05 难度:3 相似度:1.67
169722. (2023•师大附中•高二下期末) 已知纯虚数z=(1+im2﹣(4+im+3,其中i为虚数单位,则实数m的值为(  )
A.1         
B..3        
C..1或3   
D..0
共享时间:2023-07-03 难度:3 相似度:1.67
169745. (2023•师大附中•高二下期末) 已知纯虚数z=(1+im2﹣(4+im+3,其中i为虚数单位,则实数m的值为(  )
A.1         
B..3        
C..1或3   
D.0
共享时间:2023-07-24 难度:3 相似度:1.67
172216. (2023•西安工业大学附中•高一下期中) 已知i为虚数单位,以下说法正确的是(  )

A.  

B.复数z=1﹣2i的虚部为2  

C.复数z=(1+i2在复平面对应的点在第一象限   

D.za2+a﹣2+(a2﹣3a+2)i为纯虚数,则实数a=﹣2

共享时间:2023-05-16 难度:1 相似度:1.5
230961. (2017•高新一中•一模) 已知复数z满足(3+4iz=25,则z=(  )
A.3﹣4i     
B..3+4i     
C.﹣3﹣4i
D..﹣3+4i
共享时间:2017-03-08 难度:1 相似度:1.5
230593. (2025•临潼区•二模) 已知a∈R,若(a﹣2)+(a﹣1)ii为虚数单位)是纯虚数,则a=(  )
A.﹣2       
B..﹣1      
C..1       
D..2
共享时间:2025-03-24 难度:1 相似度:1.5
230823. (2019•高新一中•一模) 已知复数z满足(3+4iz=25,则z=(  )
A.3﹣4i     
B.3+4i      
C.﹣3﹣4i   
D.﹣3+4i
共享时间:2019-03-06 难度:1 相似度:1.5
170557. (2021•西安中学•高二上期末) a+biab∈R),则a2019+b2020=(  )
A..﹣1     
B..0        
C.1         
D..2
共享时间:2021-02-20 难度:1 相似度:1.5
167745. (2024•西安一中•三模) 已知复数z=2i,则z的实部是(  )
A.2         
B.0         
C..﹣2i    
D..2i
共享时间:2024-04-15 难度:2 相似度:1
230519. (2025•长安区•二模) 若复数是纯虚数,则实数a=(  )
A.       
B.         
C.    
D.
共享时间:2025-03-26 难度:2 相似度:1

dygzsxyn

2023-10-22

高中数学 | 高二上 | 选择题

  • 下载量
  • 浏览量
  • 收益额
  • 0
  • 3
  • 0
相同试题
试题下载
试题内容
调用试题名称
共享人
唐老师
试题题型
解答题
试题难度
试题题源
2020*西工大*期末
下载次数
168次
下载金币
5德优币(当前结余18德优币)
温馨提示
该试题下载至自主题库后,下载、备课永久免费!
试卷设置
试卷名称
省市校区
阶段科目
年份卷型
选择类型
已选考点
在线训练
视频讲解
温馨提示
视频讲解正在加载中、请等待!
温馨提示
对不起!这是别人共享的试题,需要下载到自主题库后,可将该试题添加到白板
视频解析购买
支付方式
德优币数
本次消耗0德优币
温馨提示

客服电话:400-816-0029,服务邮箱:610066832@qq.com

视频资源

试题找茬
纠错类型
纠错描述
温馨提示
共享试题、试卷经平台审核通过后方可展示,并永久享用用户下载分红权!