首页 | 客服 | 上传赚现
AI助手
德优题库AI助手

AI助手

搜题▪组卷

(1)

服务热线

400-816-0029

    自建题库,共享分红

德优题库QQ交流群

231492. (2016•西工大附中•八模) 已知双曲线Ca>0,b>0)的右准线与一条渐近线交于点MF是右焦点,若|MF|=1,且双曲线C的离心率
(1)求双曲线C的方程;
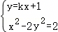
(2)过点A(0,1)的直线l与双曲线C的右支交于不同两点PQ,且PAQ之间,若,求直线l斜率k的取值范围.
共享时间:2016-06-11 难度:2
[考点]
双曲线的标准方程,圆锥曲线的综合,
[答案]
(1)
(2)
[解析]
解:(1)由对称性,不妨设M是右准线与一渐近线的交点,
其坐标为M),∵|MF|=1,∴

解得a2=2,b2=1,所以双曲线C的方程是;(6分)
(2)设直线l的斜率为k,则l的方程为ykx+1,设点Px1y1),Qx2y2),
得:(1﹣2k2x2﹣4kx﹣4=0,
l与双曲线C的右支交于不同的两点PQ

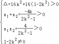
k<0①(9分)
又∵PAQ之间,,∴x1=λx2

上是减函数(∵f′(λ)<0),

,由于,∴②(12分)
由①②可得:,(13分)
即直线l斜率取值范围为(14分)
[点评]
本题考查了"双曲线的标准方程,圆锥曲线的综合,",属于"易错题",熟悉题型是解题的关键。
转载声明:
本题解析属于发布者收集录入,如涉及版权请向平台申诉! !版权申诉
169786. (2023•师大附中•高二上期末) A(2,﹣4)在以原点为顶点,坐标轴为对称轴的抛物线上,求抛物线方程;
(2)已知双曲线C经过点(1,1),它渐近线方程为y=±x,求双曲线C的标准方程.
共享时间:2023-02-13 难度:5 相似度:1.5
170300. (2022•西安中学•高二上期末) 已知椭圆的离心率为,椭圆的短轴端点与双曲线的焦点重合,过点P(4,0)的直线l与椭圆C相交于AB两点.
(1)求椭圆C的方程;
(2)若以AB为直径的圆过坐标原点O,求k的值.
共享时间:2022-02-23 难度:1 相似度:1.5
170813. (2020•西安中学•高二上期末) 根据下列条件求曲线的标准方程:
(1)准线方程为的抛物线;
(2)焦点在坐标轴上,且过点的双曲线.
共享时间:2020-02-15 难度:1 相似度:1.5
171635. (2024•西安工业大学附中•高二下期中) 已知双曲线C经过点,右焦点为Fc,0),且c2a2b2成等差数列.
(1)求C的方程;
(2)过F的直线与C的右支交于PQ两点(PQ的上方),PQ的中点为MM在直线lx=2上的射影为NO为坐标原点,设△POQ的面积为S,直线PNQN的斜率分别为k1k2,试问是否为定值,如果是,求出该定值,如果不是,说明理由.
共享时间:2024-05-25 难度:5 相似度:1.5
236217. (2017•西安中学•高二上期末) 根据条件,求下列曲线的方程.
(1)已知两定点F1(﹣5,0),F2(5,0),曲线上的点PF1F2距离之差的绝对值为6,求曲线的方程;
(2)在y轴上的一个焦点与短轴两端点的连线互相垂直,且焦距为6的椭圆的标准方程.
共享时间:2017-02-08 难度:5 相似度:1.5
236865. (2015•西安一中•高二上期末) 曲线C的方程:
(1)当m为何值时,曲线C表示焦点在x轴上的椭圆?
(2)当m为何值时,曲线C表示双曲线?
共享时间:2015-02-25 难度:1 相似度:1.5
236952. (2015•铁一中学•高二上期末) 求椭圆有公共焦点,且离心率为的双曲线方程.
共享时间:2015-02-21 难度:1 相似度:1.5
236239. (2017•西安中学•高二上期末) 设命题p:方程表示中心在原点,焦点在坐标轴上的双曲线,命题q:存在x∈R,则x2﹣4x+a<0.
(1)写出命题q的否定;
(2)若“p或非q”为真命题,求实数a的取值范围.
共享时间:2017-02-20 难度:2 相似度:1
232467. (2023•南开中学•高二上二月) 已知双曲线的右焦点F(2,0),离心率为
(1)求双曲线的方程;
(2)过点直线与双曲线交于AB两点,设直线AFBF的斜率分别为k1k2k1k2≠0),求证:k1+k2为定值.
共享时间:2023-12-28 难度:3 相似度:0.83
233476. (2023•铁一中学•高二下三月) 已知等轴双曲线C的焦点在x轴上,焦距为
(1)求双曲线的标准方程;
(2)斜率为k的直线l过点P(1,0),且直线l与双曲线C的两支分别交于AB两点,
①求k的取值范围;
②若DB关于x轴的对称点,证明直线AD过定点,并求出该定点坐标.
共享时间:2023-07-19 难度:3 相似度:0.83

dygzsxyn

2016-06-11

高中数学 | | 解答题

  • 下载量
  • 浏览量
  • 收益额
  • 0
  • 3
  • 0
相同试题
试题下载
试题内容
调用试题名称
共享人
唐老师
试题题型
解答题
试题难度
试题题源
2020*西工大*期末
下载次数
168次
下载金币
5德优币(当前结余18德优币)
温馨提示
该试题下载至自主题库后,下载、备课永久免费!
试卷设置
试卷名称
省市校区
阶段科目
年份卷型
选择类型
已选考点
在线训练
视频讲解
温馨提示
视频讲解正在加载中、请等待!
温馨提示
对不起!这是别人共享的试题,需要下载到自主题库后,可将该试题添加到白板
视频解析购买
支付方式
德优币数
本次消耗0德优币
温馨提示

客服电话:400-816-0029,服务邮箱:610066832@qq.com

视频资源

试题找茬
纠错类型
纠错描述
温馨提示
共享试题、试卷经平台审核通过后方可展示,并永久享用用户下载分红权!