首页 | 客服 | 上传赚现
AI助手
德优题库AI助手

AI助手

搜题▪组卷

(1)

服务热线

400-816-0029

    自建题库,共享分红

德优题库QQ交流群

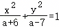
236239. (2017•西安中学•高二上期末) 设命题p:方程表示中心在原点,焦点在坐标轴上的双曲线,命题q:存在x∈R,则x2﹣4x+a<0.
(1)写出命题q的否定;
(2)若“p或非q”为真命题,求实数a的取值范围.
共享时间:2017-02-20 难度:2
[考点]
复合命题及其真假,双曲线的标准方程,
[答案]
(1)任意x∈R,则x2﹣4x+a≥0.
(2)a>﹣6.
[解析]
解:(1)∵命题q:存在x∈R,则x2﹣4x+a<0
非命题q:任意x∈R,则x2﹣4x+a≥0…(5分)
(2)若p真,即方程表示焦点在坐标轴上的双曲线,
则(a+6)(a﹣7)<0,
∴﹣6<a<7.
若非q真,Δ=16﹣4a≤0
a≥4…(11分)
因为“p或非q”为真命题,所以p与非q中至少有一个为真,…(13分)
∴﹣6<a<7或a≥4
a>﹣6…(15分)
[点评]
本题考查了"复合命题及其真假,双曲线的标准方程,",属于"必考题",熟悉题型是解题的关键。
转载声明:
本题解析属于发布者收集录入,如涉及版权请向平台申诉! !版权申诉
166349. (2024•西工大附中•高一上二月) 已知命题p:对任意x>0,y>0且,不等式a2+30a≤9x+3y恒成立;命题q:∃x∈R,x2﹣2x﹣3<a
(1)若命题p为真命题,求实数a的取值范围;
(2)若命题p和命题q中至少有一个为真命题,求实数a的取值范围.
共享时间:2024-12-29 难度:1 相似度:1.5
235981. (2020•交大附中•高二上期末) 已知命题p:∀x∈R,x2+xm≥0,命题q:实数m满足:方程表示双曲线.
(Ⅰ)若命题p为真命题,求实数m的取值范围;
(Ⅱ)若命题“pq”为假命题,求实数m的取值范围.
共享时间:2020-02-16 难度:1 相似度:1.5
166699. (2024•高新一中•高一上一月) (1)已知a>0,设命题pa>1;命题q:不等式ax2ax+1>0对∀x∈R恒成立,若“pq”为假,“pq”为真,求a的取值范围.
(2)设m∈Z,命题p:关于x的一元二次方程mx2﹣4x+4=0的根都是整数;命题q:关于x的一元二次方程x2﹣4mx+4m2﹣4m﹣5=0的根都是整数,试求pq为真命题的的充要条件.
共享时间:2024-10-24 难度:1 相似度:1.5
236713. (2016•西北大附中•高二下期末) 已知a>0,设命题p:函数yax在R上调单调递增;q:不等式ax2ax+1>0对任意x∈R恒成立,若“pq为真,pq为假,求a的取值范围.
共享时间:2016-07-10 难度:1 相似度:1.5
236864. (2015•西安一中•高二上期末) 已知a>0,a≠1,设p:函数y=logax在(0,+∞)上单调递减,q:曲线yx2+(2a﹣3)x+1与x轴交于不同的两点.若“pq”为假,“非q”为假,求a的取值范围.
共享时间:2015-02-25 难度:1 相似度:1.5
171635. (2024•西安工业大学附中•高二下期中) 已知双曲线C经过点,右焦点为Fc,0),且c2a2b2成等差数列.
(1)求C的方程;
(2)过F的直线与C的右支交于PQ两点(PQ的上方),PQ的中点为MM在直线lx=2上的射影为NO为坐标原点,设△POQ的面积为S,直线PNQN的斜率分别为k1k2,试问是否为定值,如果是,求出该定值,如果不是,说明理由.
共享时间:2024-05-25 难度:5 相似度:1.5
170791. (2020•西安中学•高二上期末) 已知命题p:方程x2﹣2x+m=0有两个不相等的实数根;命题q:2m+1<4.
(1)若p为真命题,求实数m的取值范围;
(2)若pq为真命题,pq为假命题,求实数m的取值范围.
共享时间:2020-02-24 难度:1 相似度:1.5
170661. (2021•长安区一中•高二上期末) 已知p:对任意实数x都有ax2>﹣ax﹣1恒成立,q:关于x的方程2x2﹣3x+a=0有实数根.若“pq”为真,“pq”为假,求实数a的取值范围.
共享时间:2021-02-18 难度:1 相似度:1.5
236886. (2015•西安一中•高二上期末) 已知p:∀x∈R,不等式x2mx+>0恒成立,q:椭圆+=1的焦点在x轴上,若“pq”为真,“pq”为假,求实数m的取值范围.
共享时间:2015-02-12 难度:1 相似度:1.5
169786. (2023•师大附中•高二上期末) A(2,﹣4)在以原点为顶点,坐标轴为对称轴的抛物线上,求抛物线方程;
(2)已知双曲线C经过点(1,1),它渐近线方程为y=±x,求双曲线C的标准方程.
共享时间:2023-02-13 难度:5 相似度:1.5
236952. (2015•铁一中学•高二上期末) 求椭圆有公共焦点,且离心率为的双曲线方程.
共享时间:2015-02-21 难度:1 相似度:1.5
237123. (2022•西工大附中•高二下期末) 已知命题p:函数yx2﹣2x+a在区间(1,2)上有1个零点;命题q:函数yx2+(2a﹣3)x+1与x轴交于不同的两点.如果pq是假命题,pq是真命题,求a的取值范围.
共享时间:2022-07-01 难度:1 相似度:1.5
236217. (2017•西安中学•高二上期末) 根据条件,求下列曲线的方程.
(1)已知两定点F1(﹣5,0),F2(5,0),曲线上的点PF1F2距离之差的绝对值为6,求曲线的方程;
(2)在y轴上的一个焦点与短轴两端点的连线互相垂直,且焦距为6的椭圆的标准方程.
共享时间:2017-02-08 难度:5 相似度:1.5
236691. (2016•交大附中•高二上期末) 设命题p:方程+=1表示双曲线;命题q:∃x0∈R,x02+2mx0+2﹣m=0
(Ⅰ)若命题p为真命题,求实数m的取值范围;
(Ⅱ)若命题q为真命题,求实数m的取值范围;
(Ⅲ)求使“pq”为假命题的实数m的取值范围.
共享时间:2016-02-10 难度:2 相似度:1
236371. (2017•长安区一中•高二上期末) 已知p:“直线x+ym=0与圆(x﹣1)2+y2=1相交”;q:“方程mx2x+m﹣4=0有一正根和一负根”.若pq为真,非p为真,求实数m的取值范围.
共享时间:2017-02-02 难度:2 相似度:1

dygzsxyn

2017-02-20

高中数学 | 高二上 | 解答题

  • 下载量
  • 浏览量
  • 收益额
  • 0
  • 3
  • 0
相同试题
试题下载
试题内容
调用试题名称
共享人
唐老师
试题题型
解答题
试题难度
试题题源
2020*西工大*期末
下载次数
168次
下载金币
5德优币(当前结余18德优币)
温馨提示
该试题下载至自主题库后,下载、备课永久免费!
试卷设置
试卷名称
省市校区
阶段科目
年份卷型
选择类型
已选考点
在线训练
视频讲解
温馨提示
视频讲解正在加载中、请等待!
温馨提示
对不起!这是别人共享的试题,需要下载到自主题库后,可将该试题添加到白板
视频解析购买
支付方式
德优币数
本次消耗0德优币
温馨提示

客服电话:400-816-0029,服务邮箱:610066832@qq.com

视频资源

试题找茬
纠错类型
纠错描述
温馨提示
共享试题、试卷经平台审核通过后方可展示,并永久享用用户下载分红权!