首页 | 客服 | 上传赚现
AI助手
德优题库AI助手

AI助手

搜题▪组卷

(1)

服务热线

400-816-0029

    自建题库,共享分红

德优题库QQ交流群

231397. (2016•西工大附中•七模) 已知fx)=+nlnxmn为常数),在x=1处的切线方程为x+y﹣2=0.
(Ⅰ)求fx)的解析式并写出定义域;
(Ⅱ)若∀x∈[,1],使得对∀t∈[,2]上恒有fx)≥t3t2﹣2at+2成立,求实数a的取值范围;
(Ⅲ)若gx)=fx)﹣axa∈R)有两个不同的零点x1x2,求证:x1x2e2
共享时间:2016-06-05 难度:4
[考点]
函数零点的判定定理,利用导数研究函数的单调性,利用导数研究函数的最值,利用导数研究曲线上某点切线方程,
[答案]
见试题解答内容
[解析]
解:(Ⅰ)由fx)=+nlnx可得
由条件可得,把x=﹣1代入x+y=2可得,y=1,

m=2,
x∈(0,+∞),
(Ⅱ)由(Ⅰ)知fx)在上单调递减,
fx)在上的最小值为f(1)=1,
故只需t3t2﹣2at+2≤1,即对任意的上恒成立,
mt)=,易求得mt)在单调递减,[1,2]上单调递增,

∴2amtmaxg(2),

a的取值范围为
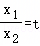
(Ⅲ)∵,不妨设x1x2>0,
gx1)=gx2)=0,
,相加可得,相减可得
由两式易得:
要证
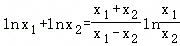
即证明lnx1+lnx2>2,
即证:
需证明成立,
,则t>1,
于是要证明
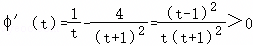
构造函数

故ϕ(t)在(1,+∞)上是增函数,
∴ϕ(t)>ϕ(1)=0,

故原不等式成立.
[点评]
本题考查了"函数零点的判定定理,利用导数研究函数的单调性,利用导数研究函数的最值,利用导数研究曲线上某点切线方程,",属于"综合题",熟悉题型是解题的关键。
转载声明:
本题解析属于发布者收集录入,如涉及版权请向平台申诉! !版权申诉
19752. (2021•陕西省•乙卷) 已知函数fx)=x3x2+ax+1.
(1)讨论fx)的单调性;
(2)求曲线yfx)过坐标原点的切线与曲线yfx)的公共点的坐标.
共享时间:2021-06-21 难度:4 相似度:1.5
167328. (2023•长安区一中•高三上二月) 已知函数fx)=lnx+ax+1.
(1)讨论fx)的单调性;
(2)若不等式fx)﹣xex≤0恒成立,求a的取值范围.(参考数据:ln2≈0.7)
共享时间:2023-12-21 难度:2 相似度:1.5
168197. (2023•西工大附中•八模) 已知函数fx)=alnx﹣2xa≠0).
(1)讨论fx)的单调性;
(2)当x>0时,不等式恒成立,求a的取值范围.
共享时间:2023-06-11 难度:2 相似度:1.5
168150. (2023•西工大附中•六模) 已知函数fx)=(a+3)x+2lnxa∈R.
(1)讨论fx)的单调性;
(2)对∀x>0,不等式fx)≤x2ex﹣1恒成立,求实数a的取值范围.
共享时间:2023-05-19 难度:2 相似度:1.5
168013. (2023•师大附中•十模) 已知函数fx)=exxgx)=ax2+1,a∈R.
(Ⅰ)求fx)在区间[﹣2,2]上的最值.
(Ⅱ)当x>0时,恒有fx)>gx),求实数a的取值范围.
共享时间:2023-07-02 难度:2 相似度:1.5
167944. (2023•师大附中•三模) 已知函数
(1)设gx)=xfx),求gx)的单调区间;
(2)求证:存在恰有2个切点的曲线yfx)的切线.
共享时间:2023-04-08 难度:2 相似度:1.5
167902. (2024•西安八十九中•三模) 已知函数,函数在区间[1,+∞)上为增函数.
(Ⅰ)确定θ的值,求m=3时曲线yfx)在点(1,f(1))处的切线方程;
(Ⅱ)设函数hx)=fx)﹣gx)在x∈(0,+∞)上是单调函数,求实数m的取值范围.
共享时间:2024-04-02 难度:2 相似度:1.5
167879. (2024•西工大附中•模拟) 已知函数fx)=2sinxax
(Ⅰ)若函数在[0,π]内点A处的切线斜率为﹣aa≠0),求点A的坐标;
(Ⅱ)①当a=1时,求gx)=fx)﹣lnx+1)在上的最小值;
②证明:
共享时间:2024-03-05 难度:2 相似度:1.5
167833. (2024•长安区一中•一模) 已知函数e=2.71828……是自然对数底数).
(1)当a=1时,讨论函数fx)的单调性;
(2)当a>1时,证明:fx)>1﹣ea
共享时间:2024-03-04 难度:2 相似度:1.5
167810. (2024•西安一中•二模) 已知函数fx)=ex﹣1﹣axa∈R).
(1)若函数fx)在点(1,f(1))处的切线与直线x+2ey+1=0垂直,求a的值;
(2)当x∈(0,2]时,讨论函数Fx)=fx)﹣xlnx零点的个数.
共享时间:2024-03-29 难度:2 相似度:1.5
167740. (2024•西安一中•四模) 已知函数fx)=3lnxx2+x
(1)求fx)的单调区间;
(2)若过点(2,1)作直线与函数的图象相切,判断切线的条数.
共享时间:2024-04-26 难度:2 相似度:1.5
167717. (2024•西安一中•五模) 已知函数
(1)若曲线yfx)在点(1,f(1))处的切线经过原点,求a的值;
(2)设gx)=x2﹣2x,若对任意s∈(0,2],均存在t∈(0,2],使得fs)<gt),求a的取值范围.
共享时间:2024-05-13 难度:2 相似度:1.5
167522. (2023•关山中学•高三上一月) 已知函数fx)=aex+a)﹣x,(a∈R).
(1)当a=1时,求fx)的最值;
(2)讨论fx)的单调性.
共享时间:2023-10-20 难度:2 相似度:1.5
167372. (2024•长安区•高二下一月) 已知函数fx)=aexxa
(1)讨论fx)的单调性;
(2)若fx)≥0恒成立,求a的取值集合;
(3)若存在,且fx1)+x1(1﹣cosx1)=fx2)+x2(1﹣cosx2)=0,求a的取值范围.
共享时间:2024-04-22 难度:2 相似度:1.5
167671. (2024•西安中学•一模) 已知函数fx)=lnxx+(x﹣2)ex
(1)求曲线yfx)在点(1,f(1))处的切线方程;
(2)若fx)≤b对任意的恒成立,求满足条件的实数b的最小整数值.
共享时间:2024-03-11 难度:2 相似度:1.5

dygzsxyn

2016-06-05

高中数学 | | 解答题

  • 下载量
  • 浏览量
  • 收益额
  • 0
  • 3
  • 0
相同试题
试题下载
试题内容
调用试题名称
共享人
唐老师
试题题型
解答题
试题难度
试题题源
2020*西工大*期末
下载次数
168次
下载金币
5德优币(当前结余18德优币)
温馨提示
该试题下载至自主题库后,下载、备课永久免费!
试卷设置
试卷名称
省市校区
阶段科目
年份卷型
选择类型
已选考点
在线训练
视频讲解
温馨提示
视频讲解正在加载中、请等待!
温馨提示
对不起!这是别人共享的试题,需要下载到自主题库后,可将该试题添加到白板
视频解析购买
支付方式
德优币数
本次消耗0德优币
温馨提示

客服电话:400-816-0029,服务邮箱:610066832@qq.com

视频资源

试题找茬
纠错类型
纠错描述
温馨提示
共享试题、试卷经平台审核通过后方可展示,并永久享用用户下载分红权!