首页 | 客服 | 上传赚现
AI助手
德优题库AI助手

AI助手

搜题▪组卷

(1)

服务热线

400-816-0029

    自建题库,共享分红

德优题库QQ交流群

230610. (2025•临潼区•二模) 已知函数
(Ⅰ)若a=1,求曲线yfx)在点(2,f(2))处的切线方程;
(Ⅱ)若a=﹣1,求fx)的单调区间;
(Ⅲ)当a变化时,曲线yfx)在点(1,f(1))处的切线斜率能否为1?若能,求a的值,若不能,说明理由.
共享时间:2025-03-24 难度:2
[考点]
利用导数求解函数的单调性和单调区间,利用导数求解曲线在某点上的切线方程,
[答案]
(Ⅰ)
(Ⅱ)fx)在(﹣1,0),(0,+∞)为减函数;
(Ⅲ)能,a=0.
[解析]
解:(Ⅰ)当a=1时,则

所以在点(2,f(2))处的切线方程为
(Ⅱ)当a=﹣1时,函数fx)的定义域是(﹣1,0)∪(0,+∞),
所以

所以
x>0时,g′(x)<0,gx)单调递减;当﹣1<x<0时,g′(x)>0,gx)单调递增,
gx)在x=0处取得最大值0,
f′(x)<0恒成立,所以fx)在(﹣1,0),(0,+∞)为减函数.
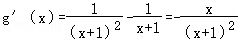
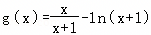
(Ⅲ)由题意知,因为
所以,即有


ta)是(﹣∞,1)上的增函数,又t(0)=0,因此0是ta)的唯一零点,
即方程有唯一实根0,所以a=0.
[点评]
本题考查了"利用导数求解函数的单调性和单调区间,利用导数求解曲线在某点上的切线方程,",属于"必考题",熟悉题型是解题的关键。
转载声明:
本题解析属于发布者收集录入,如涉及版权请向平台申诉! !版权申诉
考点说明
灰色代表去掉的考点,绿色代表未变动的考点,红色代表新增的考点
231869. (2025•曲江二中•高二下一月) 已知函数
(1)若函数fx)的图象在点(1,f(1))处的切线与直线5x﹣2y+1=0垂直,求fx)的单调递增区间;
(2)若函数fx)在(0,+∞)上为增函数,求实数k的取值范围.
共享时间:2025-04-15 难度:2 相似度:2
166368. (2024•长安区一中•高三上四月) 已知函数fx)=axgx)=logax,其中a>1.
(1)求函数hx)=fx)﹣xlna的单调区间;
(2)若曲线yfx)在点(x1fx1))处的切线与曲线ygx)在点(x2gx2))处的切线平行,证明x1+gx2)=﹣
共享时间:2024-02-12 难度:2 相似度:2
271247. (2025•师大附中•高二下二月) 已知函数
(1)当时,求函数yfx)的图象在x=0处的切线方程;
(2)讨论fx)的单调性;
(3)若当x∈[0,1],fx)≤0恒成立,求实数a的取值范围.
共享时间:2025-06-14 难度:3 相似度:1.67
169677. (2024•西电附中•高二上期末) 已知函数
(1)若a=﹣4,求函数fx)在(1,f(1))处的切线方程;
(2)求fx)的单调区间;
(3)若fx)≥0在区间[1,+∞)上恒成立,求a的最小值.
共享时间:2024-02-14 难度:3 相似度:1.67
170877. (2025•师大附中•高二下期中) 已知函数fx)=xlnx
(Ⅰ)求曲线fx)在点(1,f(1))处的切线方程;
(Ⅱ)已知函数,求gx)的单调区间;
(Ⅲ)若对于任意,都有fx)≤axee为自然对数的底数),求实数a的取值范围.
共享时间:2025-04-26 难度:3 相似度:1.67
271285. (2025•高新一中•高二下二月) 已知函数f(x)=ax2-x-ln(ax),a<0.
(1)若a=-1,求f(x)的图象在点(-1,f(-1))处的切线方程;
(2)试讨论f(x)的单调性;
(3)证明:f(x)只有一个零点.
共享时间:2025-06-26 难度:3 相似度:1.67
273915. (2025•交大附中•六模) 已知函数fx)=1+(xaex
(1)若y=0是曲线yfx)的切线,求实数a的值;
(2)若函数fx)有两个零点,求实数a的取值范围.
共享时间:2025-05-21 难度:3 相似度:1.67
231244. (2016•西工大附中•九模) 已知函数fx)的导函数f′(x)=x2+2ax+bab≠0),且f(0)=0.设曲线yfx)在原点处的切线l1的斜率为k1,过原点的另一条切线l2的斜率为k2
(1)若k1k2=4:5,求函数fx)的单调区间;
(2)若k2tk1时,函数fx)无极值,且存在实数t使fb)<f(1﹣2t)成立,求实数a的取值范围.
共享时间:2016-06-18 难度:1 相似度:1.5
169270. (2025•西工大附中•高二上期末) 已知函数fx)=x3﹣(a+1)x2+aa+1)xa∈R)的图象在原点处的切线的斜率为2.
(1)求a的值;
(2)若a>0,求曲线yfx)的过点A(1,1)的切线方程.
共享时间:2025-02-18 难度:1 相似度:1.5
170299. (2022•西安中学•高二上期末) 设函数
(Ⅰ)求函数fx)的单调区间;
(Ⅱ)求函数fx)的极值.
共享时间:2022-02-23 难度:1 相似度:1.5
172313. (2022•师大附中•高二下期中) 已知函数fx)=x2﹣2x+alnxa∈R).
(1)当a=﹣4时,求函数fx)的单调区间;
(2)若函数fx)有两个极值点x1x2x1x2),不等式fx1)≥mx2恒成立,求实数m的取值范围.
共享时间:2022-05-16 难度:1 相似度:1.5
232111. (2024•西工大附中•高二下一月) 已知函数
(1)求函数fx)的单调区间;
(2)若存在成立,求整数a的最小值.
共享时间:2024-04-28 难度:1 相似度:1.5
231867. (2025•曲江二中•高二下一月) 已知函数fx)=3x3﹣9x+5.
(1)求函数fx)的单调区间;
(2)求函数fx)在[﹣3,3]上的最大值和最小值.
共享时间:2025-04-15 难度:1 相似度:1.5
169059. (2020•西工大附中•一模) 已知函数fx)=lnxmx2gx)=mx2+xm∈R),令Fx)=fx)+gx).
(1)当m时,求函数fx)的单调递增区间;
(2)若关于x的不等式Fx)≤mx﹣1恒成立,求整数m的最小值.
共享时间:2020-03-01 难度:1 相似度:1.5
236196. (2018•西安中学•高二下期末) 已知函数fx)=x3+ax2+bx+cx=﹣x=1时都取得极值.
(1)求ab的值;
(2)求函数fx)的单调区间.
共享时间:2018-07-08 难度:1 相似度:1.5

dygzsxyn

2025-03-24

高中数学 | | 解答题

  • 下载量
  • 浏览量
  • 收益额
  • 0
  • 10
  • 0
相同试题
试题下载
试题内容
调用试题名称
共享人
唐老师
试题题型
解答题
试题难度
试题题源
2020*西工大*期末
下载次数
168次
下载金币
5德优币(当前结余18德优币)
温馨提示
该试题下载至自主题库后,下载、备课永久免费!
试卷设置
试卷名称
省市校区
阶段科目
年份卷型
选择类型
已选考点
在线训练
视频讲解
温馨提示
视频讲解正在加载中、请等待!
温馨提示
对不起!这是别人共享的试题,需要下载到自主题库后,可将该试题添加到白板
视频解析购买
支付方式
德优币数
本次消耗0德优币
温馨提示

客服电话:400-816-0029,服务邮箱:610066832@qq.com

视频资源

试题找茬
纠错类型
纠错描述
温馨提示
共享试题、试卷经平台审核通过后方可展示,并永久享用用户下载分红权!