首页 | 客服 | 上传赚现
AI助手
德优题库AI助手

AI助手

搜题▪组卷

(1)

服务热线

400-816-0029

    自建题库,共享分红

德优题库QQ交流群

237211. (2021•师大附中•高一下期中) 已知函数
(1)求函数fx)的单调增区间.
(2)当时,不等式恒成立,求实数m的取值范围.
共享时间:2021-05-17 难度:2
[考点]
正弦函数的单调性,三角函数中的恒等变换应用,
[答案]
(1)[kπ﹣kπ+],k∈Z.
(2)[,+∞).
[解析]
解:(1)函数sin2x+cos2x﹣2+
sin2xcos2x=sin(2x),
令2kπ﹣≤2x≤2kπ+,求得kπ﹣xkπ+
故函数的单调增区间为[kπ﹣kπ+],k∈Z.
(2)时,2x∈[﹣],fx)=sin(2x)∈[﹣1,],可得fx)+2>0.
不等式恒成立,
可化为2mfx)+4m≥(m+1)fx)+2m+1,即(m﹣1)fx)+2m﹣1≥0,
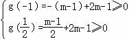
tfx)∈[﹣1,],则gt)=(m﹣1)t+2m﹣1≥0,
故有,解得m
故实数m的取值范围为[,+∞).
[点评]
本题考查了"正弦函数的单调性,三角函数中的恒等变换应用,",属于"易错题",熟悉题型是解题的关键。
转载声明:
本题解析属于发布者收集录入,如涉及版权请向平台申诉! !版权申诉
237893. (2017•西安中学•高一下期中) 已知函数fx)=﹣cos2x﹣sinxx∈R.
(1)求不等式fx)≤0的解集;
(2)讨论函数fx)在[0,2π]的单调性.
共享时间:2017-05-24 难度:2 相似度:2
171457. (2023•长安区一中•高二上期中) 已知函数
(1)求fx)的单调递增区间;
(2)设,求fx)的值域.
共享时间:2023-11-29 难度:3 相似度:1.67
167519. (2023•关山中学•高三上一月) 已知函数的两个相邻的对称中心的距离为
(1)求fx)在[0,π]上的单调递增区间;
(2)当时,关于x的方程fx)=m有两个不相等的实数根x1x2x1x2),求的值.
共享时间:2023-10-20 难度:3 相似度:1.67
172357. (2022•西安中学•高一下期中) 已知函数
(1)求函数fx)的单调递增区间;
(2)求函数fx)在区间上的最大值和最小值.
共享时间:2022-05-13 难度:3 相似度:1.67
236330. (2017•长安区一中•高一上期末) 已知向量=(m,cos2x),=(sin2x,1),函数fx)=,且yfx)的图象过点().
(1)求m的值;
(2)将yfx)的图象向左平移φ(0<φ<π)个单位后得到函数ygx)的图象,若ygx)图象上各最高点到点(0,3)的距离的最小值为1,求ygx)的单调递增区间.
共享时间:2017-02-16 难度:1 相似度:1.5
237184. (2021•高新一中•高二上期中) 已知函数的最小正周期为3π.
(1)求函数fx)在区间上的值域;
(2)已知abc分别为锐角三角形ABC中角ABC的对边,且满足,求方向上的投影.
共享时间:2021-11-18 难度:1 相似度:1.5
237722. (2019•西北大附中•高一下期中) 已知函数fx)=sin(ωx+φ)(ω>0,|φ|<π)的图象如图所示.
(Ⅰ)求ω,φ的值;
(Ⅱ)设gx)=fxfx),求函数gx)的单调递增区间.

共享时间:2019-05-18 难度:1 相似度:1.5
170837. (2020•铁一中学•高一上期末) 已知函数x∈R.
(1)求函数fx)的最大值;
(2)若,θ∈R,求的值.
共享时间:2020-02-11 难度:1 相似度:1.5
236909. (2016•长安区一中•高一下期末) 已知向量=(m,cos2x),=(sin2x,1),函数fx)=,且yfx)的图象过点().
(1)求m的值;
(2)将yfx)的图象向左平移φ(0<φ<π)个单位后得到函数ygx)的图象,若ygx)图象上各最高点到点(0,3)的距离的最小值为1,求ygx)的单调递增区间.
共享时间:2016-07-14 难度:1 相似度:1.5
236928. (2016•长安区一中•高二下期末) 已知函数fx)=sin(+x)cosx﹣sinxcos(3π﹣x).
(1)求函数fx)的最小正周期;
(2)在△ABC中,已知A为锐角,fA)=1,BC=2,B,求AC边的长.
共享时间:2016-07-22 难度:1 相似度:1.5
168032. (2023•西安中学•七模) 已知函数fx)=sinxcos(x+).
(1)求fx)的单调增区间;
(2)△ABC中,角ABC所对的边分别为abc,且A锐角,若b+c=3,求△ABC的面积.
共享时间:2023-06-04 难度:1 相似度:1.5
231025. (2017•西安八十三中•二模) 设函数fx)=,其中向量=(2cosx,1),=(cosxsin2x),x∈R.
(1)求fx)的最小正周期与单调递减区间;
(2)在△ABC中,abc分别是角ABC的对边,已知fA)=2,b=1,△ABC的面积为,求的值.
共享时间:2017-03-24 难度:5 相似度:1.4
231341. (2016•西工大附中•十模) 已知函数fx)=sinxcosx+sin2x+x∈R),
(Ⅰ)当x∈[﹣]时,求函数fx)的最小值和最大值;
(Ⅱ)设△ABC的内角ABC的对应边分别为abc,且cfC)=2,若向量)与向量)共线,求ab的值.
共享时间:2016-06-25 难度:2 相似度:1
233277. (2023•西工大附中•高一下二月) 已知的最小正周期为π.
(1)求ω的值,并求fx)的单调递增区间;
(2)求fx)在区间上的最大值.
共享时间:2023-06-23 难度:2 相似度:1
232868. (2024•西安三中•高二下一月) 已知函数
(Ⅰ)求的值;
(Ⅱ)求函数fx)的单调递减区间;
(Ⅲ)当时,求fx)的最大值与最小值.
共享时间:2024-04-19 难度:2 相似度:1

dygzsxyn

2021-05-17

高中数学 | 高一下 | 解答题

  • 下载量
  • 浏览量
  • 收益额
  • 0
  • 3
  • 0
相同试题
试题下载
试题内容
调用试题名称
共享人
唐老师
试题题型
解答题
试题难度
试题题源
2020*西工大*期末
下载次数
168次
下载金币
5德优币(当前结余18德优币)
温馨提示
该试题下载至自主题库后,下载、备课永久免费!
试卷设置
试卷名称
省市校区
阶段科目
年份卷型
选择类型
已选考点
在线训练
视频讲解
温馨提示
视频讲解正在加载中、请等待!
温馨提示
对不起!这是别人共享的试题,需要下载到自主题库后,可将该试题添加到白板
视频解析购买
支付方式
德优币数
本次消耗0德优币
温馨提示

客服电话:400-816-0029,服务邮箱:610066832@qq.com

视频资源

试题找茬
纠错类型
纠错描述
温馨提示
共享试题、试卷经平台审核通过后方可展示,并永久享用用户下载分红权!