首页 | 客服 | 上传赚现
AI助手
德优题库AI助手

AI助手

搜题▪组卷

(1)

服务热线

400-816-0029

    自建题库,共享分红

德优题库QQ交流群

233347. (2022•西工大附中•高一上一月) 已知函数
(1)当a>0时,解关于x的不等式fx)<1;
(2)不等式fx)<xa对任意x>1恒成立,求a的取值范围.
共享时间:2022-10-18 难度:2
[考点]
其他不等式的解法,函数恒成立问题,
[答案]
(1)当0<a<2时,不等式的解集为(1,),当a>2时,不等式的解集为(,1),当a=2时,不等式的解集为空集.
(2)(﹣∞,1).
[解析]
解:(1)由fx)<1,得<1,进而得<0,
∴(ax﹣2)(x﹣1)<0,(x﹣1)(ax﹣2)<0,
a>0时,转化为(x﹣1)(x)<0,
①当0<a<2时,解得1<x,故不等式的解集为(1,),
②当a>2时,解得x<1,故不等式的解集为(,1),
③当a=2时,即(x﹣1)2<0,无解,故不等式的解集为空集.
综上所述:当0<a<2时,不等式的解集为(1,),
a>2时,不等式的解集为(,1),
a=2时,不等式的解集为空集.
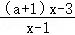
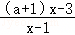
(2)(3)fx)<xa对任意x>1恒成立,
xa对任意x>1恒成立,
∴(a+1)x﹣3<(x﹣1)(xa),
x2﹣2(a+1)x+a+3>0,
当Δ=4(a+1)2﹣4(a+3)<0,解得﹣2<a<1,恒成立,
当△≥0时,即a≤﹣2或a≥1时,

解得a≤0,
a≤﹣2,
综上所述:a的取值范围为(﹣∞,1).
[点评]
本题考查了"其他不等式的解法,函数恒成立问题,",属于"易错题",熟悉题型是解题的关键。
转载声明:
本题解析属于发布者收集录入,如涉及版权请向平台申诉! !版权申诉
172117. (2022•高新一中•高一上期中) 设函数a>0,且a≠1)是定义域为R的奇函数,且yfx)的图象过点
(Ⅰ)求ta的值;
(Ⅱ)若∀x∈R,fkxx2)+fx﹣1)<0,求实数k的取值范围;
(Ⅲ)是否存在实数m,使函数gx)=22x+2﹣2xmfx)在区间[1,log23]上的最大值为1.若存在,求出m的值;若不存在,请说明理由.
共享时间:2022-11-15 难度:1 相似度:1.5
168968. (2021•交大附中•四模) 已知函数fx)=|x﹣1|+|ax﹣2|.
(1)当a=1时,求fx)的最小值;
(2)当x∈[3,4]时,fx)≤x恒成立,求a的取值范围.
共享时间:2021-04-20 难度:1 相似度:1.5
169613. (2024•滨河中学•高一下期末) 已知函数yfx)的定义域为R,实数ab满足ab,若yfx)在区间(ab]上不存在最小值,则称yfx)在(ab]上具有性质P
(1)若fx)=x2﹣2x,判断函数yfx)在下列区间上是否具有性质P;①(0,2];②(1,3];
(2)若fx+1)=mfx)+1对任意实数x都成立,当0<x≤1时,fx)=x,若yfx)在区间(0,2]上具有性质P,求实数m的取值范围;
(3)对于满足ab的任意实数abyfx)在区间(ab]上都有性质P,且对于任意k∈Z,当x∈(kk+1)时,均满足.设n∈N+,试判断数列{an}的单调性,并说明理由.
共享时间:2024-07-23 难度:1 相似度:1.5
170510. (2022•高新一中•高一上期末) 若函数yfx)对定义域内的每一个值x1,在其定义域内都存在唯一的x2,使得fx1fx2)=1成立,则称该函数为“依赖函数”.
(1)判断函数gx)=sinx是否为“依赖函数”,并说明理由;
(2)若函数fx)=2x﹣1在定义域[mn](m>0)上为“依赖函数”,求mn的取值范围;
(3)已知函数hx)=(xa2在定义域上为“依赖函数”,若存在实数,使得对任意的t∈R,不等式hx)≥﹣t2+(stx+4都成立,求实数s的最大值.
共享时间:2022-02-10 难度:1 相似度:1.5
169462. (2024•长安区一中•高一上期末) 已知函数为奇函数.
(1)求实数a的值,并用定义证明函数fx)的单调性;
(2)若对任意的t∈R,不等式ft2+3)+ft2tk)>0恒成立,求实数k的取值范围.
共享时间:2024-02-14 难度:1 相似度:1.5
169234. (2025•长安区一中•高一上期末) 若存在实数对(ab),使等式fx)•f(2ax)=b对定义域中每一个实数x都成立,则称函数fx)为(ab)型函数.
(1)若函数fx)=2x是(a,1)型函数,求a的值;
(2)若函数是(ab)型函数,求ab的值;
(3)已知函数hx)定义在[﹣2,4]上,hx)恒大于0,且为(1,4)型函数,当x∈(1,4]时,.若hx)≥1在[﹣2,4]恒成立,求实数m的取值范围.
共享时间:2025-02-02 难度:1 相似度:1.5
171374. (2023•西安中学•高三上期中) 已知函数fx)=|xa|+|x+b|,ab∈R且a+b>0.
(1)若函数fx)的最小值为1,试证明点(ab)在定直线上;
(2)若b=1,x∈[0,1]时,不等式fx)≤x+5恒成立,求实数a的取值范围.
共享时间:2023-11-22 难度:1 相似度:1.5
169720. (2023•师大附中•高一下期末) 已知函数fx)=axa>0,且a≠1).
(1)证明:f(2x1)+f(2x2)≥2fx1+x2);
(2)若fx1)=2,fx2)=3,fx1x2)=8,求a的值;
(3)∀x∈R,恒成立,求a的取值范围.
共享时间:2023-07-17 难度:1 相似度:1.5
171182. (2024•西安八十三中•高三上期中) 已知a∈R,函数fx)=log2+a).
(1)当a=5时,解不等式fx)>0;
(2)若关于x的方程fx)﹣log2[(a﹣4)x+2a﹣5]=0的解集中恰好有一个元素,求a的取值范围.
(3)设a>0,若对任意t∈[,1],函数fx)在区间[tt+1]上的最大值与最小值的差不超过1,求a的取值范围.
共享时间:2024-11-28 难度:2 相似度:1
171123. (2024•西电附中•高一上期中) 已知指数函数fx)=ax
(1)若fx)在[﹣1,3]上的最大值为8,求a的值;
(2)当a>1时,若fx)≤30﹣xx∈[﹣1,3]恒成立,求a的取值范围.
共享时间:2024-11-21 难度:2 相似度:1
170858. (2025•师大附中•高一下期中) 已知函数fx)=x2﹣(a+6)x+6(a∈R).
(1)若∀x∈[1,4],fx)+a+8≥0恒成立,求a的取值范围;
(2)已知gx)=mx+7﹣3m,当a=1时,若对任意的x1∈[1,4],总存在x2∈[1,4],使fx1)=gx2)成立,求实数m的取值范围.
共享时间:2025-05-01 难度:2 相似度:1
170622. (2021•长安区一中•高一上期末) a>1,m∈R,,当x∈[a,2a]时,fx)的值域为[a2a3].
(1)求a的值;
(2)若存在实数t,使(x+t2+2(x+t)≤(a+1)x对任意的x∈[1,s]恒成立,求实数s的取值范围.
共享时间:2021-02-11 难度:2 相似度:1
169991. (2023•西工大附中•高一上期末) 已知函数
(1)若函数Fx)=fx)﹣ln[(2﹣ax+3a﹣3]有唯一零点,求实数a的取值范围;
(2)若对任意实数,对任意x1x2∈[m,4m﹣1],恒有|fx1)﹣fx2)|≤ln2成立,求正实数a的取值范围.
共享时间:2023-02-20 难度:2 相似度:1
170530. (2022•高新三中•高一下期中) 已知函数fx)=ax2+(a﹣2)xa∈R).
(Ⅰ)若关于x的不等式fx)<b的解集为{x|﹣1<x<4},求ab的值;
(Ⅱ)若a>﹣2,解关于x的不等式fx)≥2.
共享时间:2022-05-23 难度:2 相似度:1
171547. (2023•高新一中•高一上期中) 已知函数为奇函数.
(1)判断函数fx)的单调性,并加以证明.
(2)若不等式fat2+2t﹣2)+f(1﹣t)≥0对一切t∈[1,4]恒成立,求实数a的取值范围.
共享时间:2023-11-13 难度:2 相似度:1

dygzsxyn

2022-10-18

高中数学 | 高一上 | 解答题

  • 下载量
  • 浏览量
  • 收益额
  • 0
  • 3
  • 0
相同试题
试题下载
试题内容
调用试题名称
共享人
唐老师
试题题型
解答题
试题难度
试题题源
2020*西工大*期末
下载次数
168次
下载金币
5德优币(当前结余18德优币)
温馨提示
该试题下载至自主题库后,下载、备课永久免费!
试卷设置
试卷名称
省市校区
阶段科目
年份卷型
选择类型
已选考点
在线训练
视频讲解
温馨提示
视频讲解正在加载中、请等待!
温馨提示
对不起!这是别人共享的试题,需要下载到自主题库后,可将该试题添加到白板
视频解析购买
支付方式
德优币数
本次消耗0德优币
温馨提示

客服电话:400-816-0029,服务邮箱:610066832@qq.com

视频资源

试题找茬
纠错类型
纠错描述
温馨提示
共享试题、试卷经平台审核通过后方可展示,并永久享用用户下载分红权!