首页 | 客服 | 上传赚现
AI助手
德优题库AI助手

AI助手

搜题▪组卷

(1)

服务热线

400-816-0029

    自建题库,共享分红

德优题库QQ交流群

233325. (2023•西工大附中•高一下二月) 已知正三棱柱ABCA1B1C1中,AB=4,DAC边的中点,AB1BC1
(1)求侧棱长;
(2)求三棱锥DBCC1的体积;
(3)求二面角DBC1C的大小.

共享时间:2023-06-23 难度:2
[考点]
棱柱、棱锥、棱台的体积,二面角的平面角及求法,
[答案]
(1)
(2)
(3)45°.
[解析]
解:(1)不妨考虑将三棱锥底面朝下,取A1B1中点E,连接BC1EC1,则EC1A1B1
ABCA1B1C1是正三棱柱,平面A1B1C1⊥平面ABB1A1,且交线为A1B1EC1⊂平面A1B1C1
EC1⊥平面ABB1A1,由于AB1⊂平面ABB1A1,∴AB1EC1
AB1BC1BC1EC1C1BC1EC1⊂平面BEC1
AB1⊥平面BEC1BE⊂平面BEC1,∴AB1BE
∴Rt△ABB1∽Rt△BB1E

AB=4,∴
侧棱长为
(2)

(3)过DDOBC,垂足为O,过OOGBC1,垂足为G,连接DG
由于平面BCC1B1⊥平面ABC,且交线为BCDO⊂平面ABC,∴DO⊥平面BCC1B1
BC1⊂平面BCC1B1,∴DOBC1,又OGBC1OGDOOOGDO⊂平面DOG
BC1⊥平面DOGDG⊂平面DOG,则DGBC1
∴∠OGD为二面角DBC1C的平面角,
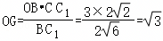
在直角三角形DOC中,
OBBCOC=4﹣1=3,而
在△CBC1中,由等面积可得

∴∠OGD=45°,
∴二面角DBC1C的大小为45°.

[点评]
本题考查了"棱柱、棱锥、棱台的体积,二面角的平面角及求法,",属于"易错题",熟悉题型是解题的关键。
转载声明:
本题解析属于发布者收集录入,如涉及版权请向平台申诉! !版权申诉
167965. (2023•师大附中•十一模) 如图所示,已知三棱台ABCA1B1C1中,AB1BB1CB1BB1,∠ABB1=∠CBB1=60°,ABBCBB1=1.
(1)求二面角ABB1C的余弦值;
(2)设EF分别是棱ACA1C1的中点,若EF⊥平面ABC,求棱台ABCA1B1C1的体积.

共享时间:2023-07-18 难度:2 相似度:2
168526. (2021•西安中学•六模) 如图三棱锥ABCD被一平面所截,截面为平行四边形EFGH
(1)求证:EHAB
(2)若四边形EFGH是边长为1的正方形,且点EAD的中点,在△BCD中,∠BCD=90°,BC=2,AC=2,求三棱锥ABCD的体积.

共享时间:2021-05-18 难度:1 相似度:1.5
167564. (2023•关山中学•高二上一月) 如图,在直三棱柱ABCA1B1C1中,AA1AC=4,AB=3,BC=5,点D是线段BC的中点.请用空间向量的知识解答下列问题:
(1)求证:ABA1C
(2)试求二面角DCA1A的余弦值.

共享时间:2023-10-16 难度:1 相似度:1.5
167370. (2024•长安区•高二下一月) 将一条长为6的铁丝截成9段,拼成一个正三棱柱,求该三棱柱体积的最大值.
共享时间:2024-04-22 难度:1 相似度:1.5
167854. (2024•西工大附中•模拟) 如图,四棱锥PABCD,侧面PAD是边长为2的正三角形且与底面垂直,底面ABCD是∠ABC=60°的菱形,M为棱PC上的动点且
(Ⅰ)求证:△PBC为直角三角形;
(Ⅱ)试确定λ的值,使得三棱锥PAMD的体积为

共享时间:2024-03-05 难度:1 相似度:1.5
167647. (2024•西安中学•一模) 如图,在三棱锥PABC中,PAABPABCABBCPAABBC=2,D为线段AC的中点,E为线段PC上一点.
(Ⅰ)求证:平面BDE⊥平面PAC
(Ⅱ)若PA∥平面BDE,求三棱锥EBCD的体积.

共享时间:2024-03-07 难度:2 相似度:1
167670. (2024•西安中学•一模) 如图,在三棱柱ABCA1B1C1中,直线C1B⊥平面ABC,平面AA1 C1C⊥平面BB1C1C
(1)求证:ACBB1
(2)若ACBCBC1=2,在棱A1B1上是否存在一点P,使二面角PBCC1的余弦值为?若存在,求的值;若不存在,请说明理由.

共享时间:2024-03-11 难度:2 相似度:1
167739. (2024•西安一中•四模) 如图,几何体ABCDEF为三棱台.
(1)证明:DE∥平面ABF
(2)已知平面ACFD⊥平面DEFACBCACADCF=6,BC=3,DF=12,求三棱台ABCDEF的体积.
参考公式:台体的体积,其中S1S2分别为台体的上底面面积、下底面面积,h为台体的高.

共享时间:2024-04-26 难度:2 相似度:1
167807. (2024•西安一中•二模) 如图所示,在四棱锥PABCD中,PA⊥平面ABCDADBCADCD,且,|PA|=2.
(1)求三棱锥BACP的体积;
(2)求证:ABPC

共享时间:2024-03-29 难度:2 相似度:1
167877. (2024•西工大附中•模拟) 如图,四棱锥PABCD,侧面PAD是边长为2的正三角形,且与底面垂直,底面ABCD是∠ABC=60°的菱形,M为棱PC上的动点,且=λ(λ∈[0,1]).
(1)求证:△PBC为直角三角形;
(2)试确定λ的值,使得二面角PADM的平面角余弦值为

共享时间:2024-03-05 难度:2 相似度:1
167940. (2023•师大附中•三模) 在三棱锥SABC中,△ABC是边长为4的正三角形,平面SAC⊥平面ABCMN分别为ABSB的中点.
(1)证明:ACSB
(2)求二面角N﹣CMB正弦值的大小.

共享时间:2023-04-08 难度:2 相似度:1
168010. (2023•师大附中•十模) 如图,直四棱柱ABCDA1B1C1D1的底面是菱形,AA1=8,AB=4,∠BAD=60°,EMN分别是BCBB1A1D的中点.
(Ⅰ)证明:MN∥平面C1DE
(Ⅱ)求三棱锥N﹣C1DE的体积.

共享时间:2023-07-02 难度:2 相似度:1
167988. (2023•师大附中•十一模) 如图,ABCD分别是圆台上、下底面的直径,且ABCD,点E(异于DC两点)是下底面圆周上一点,AB=2,圆台的高为
(1)证明:不存在点E使平面AEC⊥平面ADE
(2)若DECE=4,求二面角DAEB的余弦值.

共享时间:2023-07-16 难度:2 相似度:1
168034. (2023•西安中学•七模) 如图①,已知△ABC是边长为2的等边三角形,DAB'的中点,DHB'C,如图②,将△B'DH沿边DH翻折至△BDH

(1)在线段BC上是否存在点F,使得AF∥平面BDH?若存在,求的值;若不存在,请说明理由;
(2)若平面BHC与平面BDA所成的二面角的余弦值为,求三棱锥BDCH的体积.
共享时间:2023-06-04 难度:2 相似度:1
168171. (2023•西工大附中•八模) 如图,已知三棱柱ABCA1B1C1的所有棱长均为2,∠B1BA
(Ⅰ)证明:B1CABC1
(Ⅱ)若平面ABB1A1⊥平面ABCMA1C1的中点,求四棱锥B1ACC1M的体积.

共享时间:2023-06-15 难度:2 相似度:1

dygzsxyn

2023-06-23

高中数学 | 高一下 | 解答题

  • 下载量
  • 浏览量
  • 收益额
  • 0
  • 3
  • 0
相同试题
试题下载
试题内容
调用试题名称
共享人
唐老师
试题题型
解答题
试题难度
试题题源
2020*西工大*期末
下载次数
168次
下载金币
5德优币(当前结余18德优币)
温馨提示
该试题下载至自主题库后,下载、备课永久免费!
试卷设置
试卷名称
省市校区
阶段科目
年份卷型
选择类型
已选考点
在线训练
视频讲解
温馨提示
视频讲解正在加载中、请等待!
温馨提示
对不起!这是别人共享的试题,需要下载到自主题库后,可将该试题添加到白板
视频解析购买
支付方式
德优币数
本次消耗0德优币
温馨提示

客服电话:400-816-0029,服务邮箱:610066832@qq.com

视频资源

试题找茬
纠错类型
纠错描述
温馨提示
共享试题、试卷经平台审核通过后方可展示,并永久享用用户下载分红权!