首页 | 客服 | 上传赚现
AI助手
德优题库AI助手

AI助手

搜题▪组卷

(1)

服务热线

400-816-0029

    自建题库,共享分红

德优题库QQ交流群

233093. (2024•西安八十五中•高二下四月) 如图,直四棱柱ABCDA1B1C1D1的底面ABCD为平行四边形,,3AD=2CD=2DD1=6,点PM分别为ABCD1上靠近AD1的三等分点.
(1)求点M到直线PD1的距离;
(2)求直线PD与平面PCD1所成角的正弦值.

共享时间:2024-07-25 难度:2
[考点]
直线与平面所成的角,点、线、面间的距离计算,
[答案]
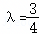
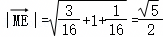
(1)
(2)
[解析]
解:(1)根据题意,可得AD=2,CDDD1=3,
根据点PAB上靠近A的三等分点,可得AP=1.
在△ADP中,由余弦定理得
所以AD2=4=AP2+DP2,可知△ADP为直角三角形,DPAB
因为底面ABCD为平行四边形,所以DPCD
由直四棱柱性质可知DD1DPDD1CD,即DPCDDD1两两垂直.
D为坐标原点,分别以DPDCDD1所在直线为x轴,y轴,z轴,建立空间直角坐标系Dxyz


因为,过点MMEPD1
,所以,故
,解得,所以
因此,点M到直线PD1的距离为
(2)根据(1)中建立的坐标系,可得
设平面PCD1的法向量为,则
,得y=1,z=1,故
设直线PD与平面PCD1所成角为θ,则sinθ=|cos<>|=
所以直线PD与平面PCD1所成角的正弦值为
[点评]
本题考查了"直线与平面所成的角,点、线、面间的距离计算,",属于"必考题",熟悉题型是解题的关键。
转载声明:
本题解析属于发布者收集录入,如涉及版权请向平台申诉! !版权申诉
168149. (2023•西工大附中•六模) 如图,四棱锥PABCD底面为菱形,ABAP=2,PA⊥底面ABCDEF分别是线段PBPD的中点,G是线段PC上的一点.
(1)若,证明直线AG在平面AEF内;
(2)若直线AG与平面AEF所成角的正弦值为,试确定的值.

共享时间:2023-05-19 难度:1 相似度:1.5
168227. (2021•西安中学•四模) 如图,直四棱柱ABCDA1B1C1D1的底面是菱形,AA1=4,AB=2,∠BAD=60°,EMN分别是BCBB1A1D的中点.
(1)证明:MN∥平面C1DE
(2)求点C到平面C1DE的距离.

共享时间:2021-04-28 难度:1 相似度:1.5
168274. (2021•西安中学•五模) 在四棱锥PABCD中,ABCDCD=2ABACBD相交于点M,点N在线段AP上,AN=λAP(λ>0),且MN∥平面PCD
(1)求实数λ的值;
(2)若,∠BAD=60°,求点N到平面PCD的距离.

共享时间:2021-05-15 难度:1 相似度:1.5
167563. (2023•关山中学•高二上一月) 已知A(3,3,1),B(1,0,5),求:
(1)线段AB的中点坐标和线段AB长度;
(2)到AB两点距离相等的点Pxyz)的坐标xyz满足的条件.
共享时间:2023-10-16 难度:1 相似度:1.5
167279. (2023•长安区一中•高三上五月) 如图,△ABCABBC=2,∠ABC=90°,EF分别为ABAC边的中点,以EF为折痕把AEF折起,使点A到达点P的位置,且PBBE
(Ⅰ)证明:EF⊥平面PBE
(Ⅱ)设N为线段PF上动点,求直线BN与平面PCF所成角的正弦值的最大值.

共享时间:2023-12-29 难度:1 相似度:1.5
167127. (2023•西安中学•高二上一月) 如图,在三棱柱ABCA1B1C1中,AA1⊥平面ABCABACABACAA1=1,M为线段A1C1上一点.
(1)求证:BMAB1
(2)若直线AB1与平面BCM所成角为,求点A1到平面BCM的距离.

共享时间:2023-10-30 难度:1 相似度:1.5
166430. (2024•西光中学•高二上一月) 在四棱锥PABCD中,PD⊥底面ABCDCDABADDCCB=1,AB=2,DP
(1)证明:BDPA
(2)求PD与平面PAB所成的角的正弦值.

共享时间:2024-10-12 难度:2 相似度:1
168573. (2021•西安中学•九模) .如图,在三棱柱ABCA1B1C1中,点C在平面A1B1C1内的射影点为A1B1的中点O,且ACBCABAA1=1:1::2.
(1)求证:AB⊥平面OCC1
(2)若CO,求点C到平面ABO的距离.

共享时间:2021-06-30 难度:2 相似度:1
168194. (2023•西工大附中•八模) 如图1,四边形ABCD为矩形,BC=2ABEAD的中点,将△ABE、△DCE分别沿BECE折起得图2,使得平面ABE⊥平面BCE,平面DCE⊥平面BCE
(Ⅰ)求证:平面ABE⊥平面DCE
(Ⅱ)若F为线段BC的中点,求直线FA与平面ADE所成角的正弦值.

共享时间:2023-06-11 难度:2 相似度:1
168388. (2023•交大附中•十三模) 如图所示,四棱锥PABCD的底面ABCD是矩形,PB⊥底面ABCDABBC=3,BP=3,CFCPDEDA
(1)证明:EF∥平面ABP
(2)求直线PC与平面ADF所成角的正弦值.

共享时间:2023-07-21 难度:2 相似度:1
168456. (2021•西安中学•七模) 如图,在四棱锥PABCD中,PA⊥底面ABCDADABABDCADDCAP=2,AB=1,点E为棱PC的中点.
(Ⅰ)证明:BEDC
(Ⅱ)求直线BE与平面PBD所成角的正弦值.

共享时间:2021-06-02 难度:2 相似度:1
168503. (2021•西安中学•三模) 在如图所示的几何体中,平面ACE⊥平面ABCD,四边形ABCD为平行四边形,∠CAD=90°,EFBCEFBCAC=2,AEEC
(1)求证:ADEF四点共面,且平面ADEF⊥平面CDE
(2)若二面角EACF的大小为45°,求点D到平面ACF的距离.

共享时间:2021-04-03 难度:2 相似度:1
168734. (2021•西安中学•仿真) 如图1,在直角梯形ABCD中,ABCDABAD,且ABAD,现以AD为一边向形外作正方形ADEF,然后沿边AD将正方形ADEF翻折,使平面ADEF与平面ABCD垂直,MED的中点,如图2.

(1)求证:AM∥平面BEC
(2)求证:BC⊥平面BDE
(3)求直线DC与平面BEC所成角的正弦值.
共享时间:2021-06-10 难度:2 相似度:1
168711. (2021•西安中学•仿真) 如图1,在直角梯形ABCD中,ABCDABAD,且ABAD,现以AD为一边向形外作正方形ADEF,然后沿边AD将正方形ADEF翻折,使平面ADEF与平面ABCD垂直,MED的中点,如图2.

(1)求证:AM∥平面BEC
(2)求证:BC⊥平面BDE
(3)求直线DC与平面BEC所成角的正弦值.
共享时间:2021-06-05 难度:2 相似度:1
168102. (2023•西工大附中•十三模) 如图,已知三棱柱ABCA1B1C1,∠ACB=90°,AC1A1CD为线段A1C上的动点,AC1BD
(1)求证:平面ACC1A1⊥平面ABC
(2)若AA1ACD为线段A1C的中点,AC=2BC=2,求B1D与平面A1BC所成角的余弦值.

共享时间:2023-07-20 难度:2 相似度:1

dygzsxyn

2024-07-25

高中数学 | 高二下 | 解答题

  • 下载量
  • 浏览量
  • 收益额
  • 0
  • 3
  • 0
相同试题
试题下载
试题内容
调用试题名称
共享人
唐老师
试题题型
解答题
试题难度
试题题源
2020*西工大*期末
下载次数
168次
下载金币
5德优币(当前结余18德优币)
温馨提示
该试题下载至自主题库后,下载、备课永久免费!
试卷设置
试卷名称
省市校区
阶段科目
年份卷型
选择类型
已选考点
在线训练
视频讲解
温馨提示
视频讲解正在加载中、请等待!
温馨提示
对不起!这是别人共享的试题,需要下载到自主题库后,可将该试题添加到白板
视频解析购买
支付方式
德优币数
本次消耗0德优币
温馨提示

客服电话:400-816-0029,服务邮箱:610066832@qq.com

视频资源

试题找茬
纠错类型
纠错描述
温馨提示
共享试题、试卷经平台审核通过后方可展示,并永久享用用户下载分红权!