首页 | 客服 | 上传赚现
AI助手
德优题库AI助手

AI助手

搜题▪组卷

(1)

服务热线

400-816-0029

    自建题库,共享分红

德优题库QQ交流群

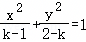
172296. (2022•师大附中•高二下期中) k∈R,则“k>1”是方程“表示椭圆”的(  )
A.充分不必要条件  
B.必要不充分条件  
C.充要条件
D..既不充分也不必要条件
共享时间:2022-05-16 难度:5
[考点]
椭圆的标准方程,
[答案]
B
[解析]
解:若方程“表示椭圆”,
,且k﹣1≠2﹣k,解得;1<k<2,且k
故“k>1”是方程“表示椭圆”的必要不充分条件.
故选:B
[点评]
本题考查了"",属于"压轴题",熟悉题型是解题的关键。
转载声明:
本题解析属于发布者收集录入,如涉及版权请向平台申诉! !版权申诉
168133. (2023•西工大附中•六模) “﹣3<m<3”是“方程表示椭圆”的(  )

A.必要不充分条件  

C.充分不必要条件  

B.充要条件

D.既不充分也不必要条件

共享时间:2023-05-19 难度:5 相似度:2
172274. (2022•师大附中•高二下期中) k∈R,则“k>1”是方程“表示椭圆”的(  )

A.充分不必要条件  

C.必要不充分条件  

B..充要条件  

D.既不充分也不必要条件

共享时间:2022-05-22 难度:5 相似度:2
231067. (2016•西安一中•一模) 已知函数fx)=x2ln|x|,则函数yfx)的大致图象是(  )
A.           
B.                                       
C.             
D.
故选:C

【题干】已知中心在原点的椭圆C的右焦点为F(1,0),离心率等于,则C的方程是(  )
E.                   
F.  
G.                 
H.
共享时间:2016-03-14 难度:1 相似度:2
231065. (2016•西安一中•一模) 已知中心在原点的椭圆C的右焦点为F(1,0),离心率等于,则C的方程是(  )
A.                   
B.  
C.                 
D.
共享时间:2016-03-14 难度:1 相似度:2
172429. (2021•西安中学•高二上期中) 椭圆的左、右焦点分别为F1F2A为椭圆上一动点(异于左、右顶点),若△AF1F2的周长为6且面积的最大值为,则椭圆的标准方程为(  )
A.                   
B.   
C.                  
D.
共享时间:2021-11-29 难度:5 相似度:2
172322. (2021•西安中学•高二上期中) 已知F1(﹣3,0),F2(3,0),是椭圆=1(ab>0)两个焦点,P在椭圆上,∠F1PF2=α,且当α=时,△F1PF2的面积最大,则椭圆的标准方程为(  )
A.=1                 
B.=1  
C.=1                 
D.=1
共享时间:2021-11-26 难度:5 相似度:2
236078. (2018•西安中学•高二上期末) 已知椭圆C=1(ab>0)的右顶点、上顶点分别为AB,坐标原点到直线AB的距离为,且a2=2b2,则椭圆C的方程为(  )
A.=1                   
B.=1
C.=1                   
D.=1
共享时间:2018-02-17 难度:5 相似度:2
171149. (2024•西安八十五中•高二上期中) 若直线2x+y﹣1=0是圆x2+(y+a2=1的一条对称轴,则圆心坐标为(  )
A..(0,1)
B..(0,﹣1) 
C.
D.
共享时间:2024-11-25 难度:5 相似度:2
170803. (2020•西安中学•高二上期末) 已知椭圆:+=1的焦距为4,则m等于(  )
A.4                            
B..8  
C..4或8                      
D..以上均不对
共享时间:2020-02-15 难度:1 相似度:2
170175. (2023•高新一中•高一下期末) 已知椭圆=1长轴在x轴上,若焦距为4,则m等于(  )
A..4       
B..5        
C..7       
D..8
共享时间:2023-07-11 难度:1 相似度:2
169769. (2023•师大附中•高二上期末) 已知椭圆的两个焦点的坐标分别是(0,﹣3)和(0,3),且椭圆经过点(0,4),则该椭圆的标准方程是(  )

A.                   

C.   

B.                 

D.

共享时间:2023-02-13 难度:5 相似度:2
169262. (2025•西工大附中•高二上期末) 阿波罗尼斯的《圆锥曲线论》中给出了椭圆的一个基本性质:如图,过椭圆上任意一点P作长轴AB的垂线(点P与点AB均不重合),垂足为Q,则为常数k.若,则该椭圆的离心率的取值范围是(  )

A.
B.
C.                    
D.
共享时间:2025-02-18 难度:1 相似度:2
168542. (2021•西安中学•六模) 已知曲线C上任意一点Pxy)满足,则曲线C上到直线2xy﹣4=0的距离最近的点的坐标是(  )
A.                
B. 
C.                  
D.
共享时间:2021-05-15 难度:2 相似度:1.5
170288. (2022•西安中学•高二上期末) 已知F1(﹣1,0),F2(1,0)是椭圆的两个焦点,过F1的直线l交椭圆于MN两点,若△MF2N的周长为8,则椭圆的标准方程为(  )

A.                   

C.   

B.                   

D.

共享时间:2022-02-23 难度:2 相似度:1.5
230521. (2025•长安区•二模) 设椭圆=1(ab>0)的左、右焦点分别为F1F2,上顶点为B.若|BF2|=|F1F2|=4,则该椭圆的方程为(  )

A.                 

C.   

B.                 

D.

共享时间:2025-03-26 难度:2 相似度:1.5

dr@dyw.com

2022-05-16

高中数学 | 高二下 | 选择题

  • 下载量
  • 浏览量
  • 收益额
  • 0
  • 11
  • 0
相同试题
试题下载
试题内容
调用试题名称
共享人
唐老师
试题题型
解答题
试题难度
试题题源
2020*西工大*期末
下载次数
168次
下载金币
5德优币(当前结余18德优币)
温馨提示
该试题下载至自主题库后,下载、备课永久免费!
试卷设置
试卷名称
省市校区
阶段科目
年份卷型
选择类型
已选考点
在线训练
视频讲解
温馨提示
视频讲解正在加载中、请等待!
温馨提示
对不起!这是别人共享的试题,需要下载到自主题库后,可将该试题添加到白板
视频解析购买
支付方式
德优币数
本次消耗0德优币
温馨提示

客服电话:400-816-0029,服务邮箱:610066832@qq.com

视频资源

试题找茬
纠错类型
纠错描述
温馨提示
共享试题、试卷经平台审核通过后方可展示,并永久享用用户下载分红权!