首页 | 客服 | 上传赚现
AI助手
德优题库AI助手

AI助手

搜题▪组卷

(1)

服务热线

400-816-0029

    自建题库,必找德优

德优题库QQ交流群

首页 > 试卷详情
德优网2015陕西省西安市莲湖区西安一中高中生物段考月考高一上

2015-2016学年陕西省西安一中高一(上)第一次月考生物试卷(10月份)

试卷总分:100分    命题人:dygzswyn    考试时长:120分钟

一、选择题(40小题共60分)
1. (本题1.5分) 除病毒外,生物体结构和功能的最基本单位是(  )
A.器官
B.组织
C.细胞
D.系统
2. (本题1.5分) 下列说法正确的是(  )

A.SARS病毒能够单独完成各种生命活动

B.细菌本身不能够单独完成各种生命活动

C.多细胞生物中单个细胞能单独完成各种生命活动

D.生命活动离不开细胞

3. (本题1.5分) 细胞是最基本的生命系统,而病毒不是的理由是(  )
①细胞是一切生物体结构和功能的基本单位
②病毒虽然是生物,但必须依赖活细胞才能生活
③单细胞生物依靠单个细胞就能完成各种生命活动
④多细胞生物也必须依赖各种分化的细胞共同合作才能完成复杂的生命活动。
A.①②③
B.②③④
C.①③④
D.①②③④
4. (本题1.5分) 在生命系统的各个层次中,能完整地表现出各种生命活动的最微小的层次是(  )
A.分子原子层次 B.细胞层次
C.种群和群落层次 D.个体层次
5. (本题1.5分) 下列各项组合中,能体现生命系统由简单到复杂的正确层次的是(  )
①某池塘中的一条鲫鱼
②某池塘中的全部鱼类
③某池塘中的全部鲫鱼
④鲫鱼的表皮细胞
⑤表皮细胞中的蛋白质分子和核酸分子
⑥整个池塘
⑦某池塘中的所有生物
⑧鲫鱼的心脏
⑨鲫鱼的血液
⑩鲫鱼的循环系统
A.⑤④⑧⑨⑩①③②⑦
B.⑤④⑨⑧⑩①③②⑦⑥
C.④⑨⑧⑩①③⑦⑥
D.④⑨⑧⑩①②⑦⑥
6. (本题1.5分) 德优题库使用普通光学显微镜观察水中微生物,若发现视野中微生物如图1所示方向游走,请问应该把载玻片向图2所示的哪个方向移动(  )
A.
B.
C.
D.
7. (本题1.5分) 如图是我们在观察某种细胞时使用的一些镜头,则下列有关说法错误的是(  )
德优题库

A.1、2、3是目镜,4、5、6是物镜

B.1与6组合看到的细胞最大

C.3与4组合看到的细胞最少

D.3与4组合看到的视野最暗

8. (本题1.5分) 德优题库下面①--⑤是利用显微镜观察时的几个操作步骤,在显微镜下要把视野里的标本从图中的(1)转为(2),其正确的操作步骤是(  )
①转动粗准焦螺旋
②调节光圈
③转动细准焦螺旋
④转动转换器
⑤移动标本
A.①→②→③→④
B.④→⑤→③→②
C.②→①→⑤→④
D.⑤→④→②→③
9. (本题1.5分) 下列诸项均是有关显微镜操作的表述,其中错误的操作是(  )

A.标本染色较深,应选用凹面反光镜和大光圈

B.若转换高倍物镜观察,需先升高镜筒,以免镜头碰坏装片

C.将位于视野内左上方的图象移向中央,应向左上方移动装片

D.转换高倍物镜之后,只能使用细准焦螺旋进行调节

10. (本题1.5分) 蓝藻和水绵在细胞结构上最明显的区别是(  )
A.有无细胞膜
B.有无细胞质
C.有无核膜
D.有无细胞壁
11. (本题1.5分) 下列生物中属于原核生物的一组是(  )
①蓝藻     ②酵母菌     ③草履虫      ④小球藻  ⑤水绵     ⑥青霉菌     ⑦葡萄球菌    ⑧发菜.
A.①⑦⑧
B.①②⑥⑧
C.①③④⑦
D.①②⑥⑦⑧
12. (本题1.5分) 建立细胞学说的科学家是施莱登和(  )
A.施旺
B.沃森
C.达尔文
D.克里克
13. (本题1.5分) 恩格斯把细胞学说、能量转化和守恒定律、达尔文的进化论列为19世纪自然科学的三大发现。其中细胞学说创立的意义在于(  )
①证明了生物之间存在着亲缘关系
②揭示了动物细胞和植物细胞的区别
③将千变万化的生物界通过细胞统一起来
④证明了生物界和非生物界之间存在着差异性。
A.①②③④
B.①②③
C.①③
D.③④
14. (本题1.5分) 细胞的统一性体现在(  )
①细胞都有相似的基本结构,如细胞膜和细胞质等
②真核细胞细胞核内染色体中含有DNA,原核细胞拟核中含有DNA
③真核细胞多种多样,原核细胞多种多样,而真核细胞和原核细胞又不一样。
A.
B.
C.①②
D.①②③
15. (本题1.5分) 在细胞学说创立的过程中,有很多科学家做出了贡献,下面的说法不符合史实的是(  )

A.列文虎克用自制的显微镜观察到不同形态的细菌、红细胞和精子等

B.虎克第一次用显微镜观察到了活的细胞并为之命名

C.施莱登和施旺共同证明了植物和动物都是由细胞构成的

D.魏尔肖的著名论断是对细胞学说的重要修正

16. (本题1.5分) 下表列举了部分元素在自然界和人体内的质量分数(%),下面的说法不正确的是(  )
  C H O Fe Ca
地壳 0.19 0.22 47 4.5 3.5
人体 9.4 63 25.5 0.01 0.31

A.上表体现了生物界与非生物界的差异性

B.上表体现了生物界与非生物界的统一性

C.上表中列举的化学元素都是生命所必需的大量元素

D.上表中列举的C、H、O、Fe、Ca是人体所必需的化学元素

17. (本题1.5分) 在细胞内含量极少,但对维持生命活动必不可少的元素有(  )
A.Fe Mn Zn Mg B.Zn Cu Mg Ca
C.Zn Cu B Mn D.Mg Mn Cu Mo
18. (本题1.5分) 一般情况下,活细胞中含量最多的有机物是(  )
A.蛋白质
B.
C.淀粉
D.糖原
19. (本题1.5分) 下列能与斐林试剂反应生成砖红色沉淀的是(  )
①葡萄糖
②果糖
③蔗糖
④麦芽糖
⑤淀粉
⑥纤维素
A.①②⑤
B.②③④
C.①⑤⑥
D.①②④
20. (本题1.5分) 生物组织中还原糖、脂肪、蛋白质的鉴定实验中,对实验材料的选择中,错误的是(  )

A.甘蔗茎的薄壁组织、甜菜的块根等,都含有较多的糖,且近于白色,因此可以用于进行还原糖的鉴定

B.花生种子含脂肪多,且肥厚,是用于脂肪鉴定的理想材料

C.大豆种子蛋白质含量高,是进行蛋白质鉴定的理想植物材料

D.鸡蛋清含蛋白质多,是进行蛋白质鉴定的动物材料

21. (本题1.5分) 下列关于实验操作步骤的叙述中,正确的是(  )

A.用于鉴定还原糖的斐林试剂甲液和乙液混合后要节约使用,以备下次再用

B.脂肪的鉴定需要用显微镜才能看到细胞内被染色的脂肪滴

C.用于鉴定蛋白质的双缩脲试剂A液与B液与斐林试剂甲液和乙液浓度完全相同

D.在鉴定脂肪的实验中,苏丹Ⅳ将脂肪染成橘黄色,苏丹Ⅲ将脂肪染成红色

22. (本题1.5分) 形成蛋白质分子结构的层次从小到大依次是(  )
①氨基酸 ②C、H、O、N等元素 ③氨基脱水缩合 ④一条或几条多肽链连接在一起 ⑤多肽 ⑥蛋白质.
A.②→①→③→⑤→④→⑥ B.①→③→②→④→⑥→⑤
C.②→①→⑥→③→④→⑤ D.②→①→③→④→⑥→⑤
23. (本题1.5分) 下列不属于组成蛋白质的氨基酸是(  )
A.德优题库
B.德优题库
C.德优题库
D.德优题库
24. (本题1.5分) 已知苯丙氨酸的分子式是C9H11NO2,那么该氨基酸的R基是(  )
A.-C7H7O
B.-C7H7
C.-C7H7N
D.-C7H5NO
25. (本题1.5分) 两个氨基酸分子脱水缩合形成二肽时生成一分子水,该水分子中的氢来自于(  )
A.羧基
B.羧基和氨基
C.氨基
D.R基
26. (本题1.5分) 某蛋白质分子含有a条肽链,共有b个氨基酸残基。如果氨基酸的平均相对分子质量是c,则该蛋白质的相对分子质量以及水解时需要的水的相对分子质量分别是(  )
A.b(c-18)+18a和18(b-a) B.b(c+18)+18a和18(a+b)
C.b(c-18)-18a和18(a-b) D.b(c+18)-18a和18(b-a)
27. (本题1.5分) 血液中的血红蛋白和肌肉中的肌动蛋白,结构和功能有很大差异,其原因不可能是(  )

A.组成肽键的化学元素不同

B.组成蛋白质的氨基酸种类和数量不同

C.氨基酸排列顺序不同

D.多肽的空间结构不同

28. (本题1.5分) 人体细胞中多种多样的蛋白质执行着各种特定的功能,抗体具有的主要功能是(  )
A.构成细胞成分 B.进行物质运输
C.催化生化反应 D.发挥免疫作用
29. (本题1.5分) 某一条多肽链中共有肽键151个,则此分子中-NH2和-COOH的数目至少有(  )
A.152;152
B.151;151
C.1;1
D.2;2
30. (本题1.5分) 已知20种氨基酸的平均相对分子质量是128,现有一蛋白质由两条肽链组成,共有肽键98个,则此蛋白质的相对分子质量是(  )
A.12800
B.12764
C.11036
D.11054
31. (本题1.5分) 通常情况下,分子式为C63H103O45N17S2的链状多肽化合物中最多含有肽键(  )
A.16个
B.62个
C.17个
D.63个
32. (本题1.5分) 人体免疫球蛋白中,IgG由4条肽链构成,共有764个氨基酸,则该蛋白分子中至少含有游离的氨基和羧基数分别是(  )
A.746 和 764
B.4 和 4
C.762 和 762
D.760 和 760
33. (本题1.5分) 如果将DNA彻底水解,产物为(  )

A.脱氧核苷酸

B.核糖、磷酸和A、T、C、G四种碱基

C.核糖、磷酸和A、U、C、G

D.脱氧核糖、磷酸和A、T、C、G四种碱基

34. (本题1.5分) 不同生物含有的核酸种类不同.原核生物和真核生物同时含有DNA和RNA,病毒体内含有DNA或RNA,下列各种生物中关于碱基、核苷酸、五碳糖种类的描述正确的是(  )
  A、T4噬菌体 B、烟草叶肉细胞 C、烟草花叶病毒 D、豌豆根尖细胞
碱基 5种 5种 4种 8种
核苷酸 5种 8种 8种 8种
五碳糖 1种 2种 2种 2种

A.T4噬菌体

B.烟草叶肉细胞

C.烟草花叶病毒

D.豌豆根尖细胞

35. (本题1.5分) 美国科学家安德鲁•法尔和克雷格•梅洛因发现RNA干扰机制而获得诺贝尔生理学或医 学奖。下列关于RNA的描述错误的是(  )

A.RNA只分布在细胞质中,DNA只分布在细胞核内

B.尿嘧啶是RNA特有的碱基,胸腺嘧啶是DNA特有的碱基

C.RNA和DNA的基本组成单位是核苷酸

D.生物的遗传物质是DNA或者是RNA

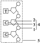
36. (本题1.5分) 德优题库如图是生物体核酸的基本组成单位--核苷酸的模式图,下列说法正确的是(  )
(1)DNA与RNA在核苷酸上的不同点只在②处
(2)③在生物体中共有8种
(3)若③为腺嘌呤,则④肯定为腺嘌呤脱氧核苷酸
(4)若②为核糖,则④为RNA的基本组成单位
(5)若③为尿嘧啶,则DNA中肯定不含④这种化合物
(6)非典病毒的④有8种,②有2种
A.(1)(6)
B.(2)(5)
C.(3)(4)
D.(4)(5)
37. (本题1.5分) 如图为某核苷酸长链的示意图,下列相关叙述中,错误的是(  )
德优题库

A.图中所示为脱氧核苷酸长链

B.2为脱氧核糖

C.4为胞嘧啶脱氧核苷酸

D.5只能在细胞核中找到

38. (本题1.5分) 下面的实验过程不正确的是(  )

A.观察DNA与RNA的分布:制片→水解→冲洗→染色→观察

B.脂肪鉴定:切取花生子叶薄片→染色→去浮色→制片→观察

C.蛋白质鉴定:将试剂A液和B液混合→滴加到豆浆样液中→观察

D.还原糖鉴定:将A液和B液混合→滴加到苹果样液中→水浴加热观察

39. (本题1.5分) 下列有关实验叙述中正确的是(  )

A.胡萝卜是做还原糖鉴定的理想材料

B.斐林试剂和双缩脲试剂的成分相同,用法却不同

C.脂肪鉴定过程中需要用到酒精进行消毒

D.观察DNA与RNA分布的实验中,最终看到的都是活细胞

40. (本题1.5分) 下列关于“观察DNA和RNA在细胞中的分布”实验的说法,正确的是(  )

A.甲基绿和吡罗红对DNA和RNA的亲和力不同,实验中应分别加入甲基绿和吡罗红

B.该实验用口腔上皮细胞而不用叶肉细胞,是因为叶肉细胞不含RNA

C.盐酸能够改变细胞膜的通透性,加速染色剂进入细胞

D.盐酸有利于染色体中DNA与蛋白质分开,不利于DNA与染色剂结合

二、填空题(4小题共40分)
41. (本题8分) 各图分别表示几种生物的基本结构单位。请根据图回答下面的问题。
德优题库
(1)最有可能属于病毒的是       ,它在结构上不同于其他三种图示的显著特点是       ;病毒的生活及繁殖必须在       内才能进行。
(2)图中属于真核细胞的是       ,与原核细胞的统一性表现在都具有       ,原核生物细胞质中只有       这一种细胞器。
(3)图中过量繁殖会引起“水华“的是       ,该细胞中含有       ,因此利用光能合成有机物。
42. (本题8分) 根据“生物组织中可溶性还原糖、脂肪、蛋白质的鉴定”实验,回答下列问题:
(1)实验原理是依据生物组织中的有机物与某些化学试剂所产生的       反应,鉴定生物组织中某种有机物的存在.
(2)鉴定成熟梨果肉内存在还原性糖所用的试剂是       ,该试剂与细胞内可溶性糖中的还原性糖如葡萄糖发生作用,形成       
(3)鉴定花生子叶中存在脂肪,所用的试剂是       ;若用物理方法鉴定脂肪的存在,烘烤花生种子后,把子叶放在白纸上用手指挤压,纸上后出现透明的油迹,说明子叶含有       
(4)鉴定黄豆组织中存在蛋白质时,先向试管内注入2mL黄豆组织样液;然后向试管内加入2mL双缩脲试剂A,摇匀;再向试管内加入3~4滴双缩脲试剂B,摇匀.为什么只加3~4滴双缩脲试剂B而不能过量?
       
(5)鉴定蛋清组织中存在蛋白质时,为何充分稀释?       
(6)做鉴定可溶性还原糖和蛋白质的实验时,在鉴定之前,可以留出一部分样液,以与鉴定后的样液的颜色变化作       之用,这样会增强说服力.
43. (本题12分) 根据下列化合物的结构分析回答:
德优题库
(1)该化合物中,①表示       ,③表示       ,⑥表示       .该化合物有       种氨基酸,造成这种不同的基团编号是       
(2)该化合物是由       个氨基酸失去       分子水而形成的.这样的反应叫做       
(3)水分子中的氧来自于       ,氢来自于       
(4)现有100个平均相对分子质量为128的氨基酸,共含有116个羧基和106个氨基,这些氨基酸缩合成6条多肽链时共含有       个-NH2,其相对分子质量为       
44. (本题12分) 德优题库如图的分子结构为某种核苷酸,已知分子结构式的右上角部分为腺嘌呤碱基.
请仔细观察分析后回答下列问题:
(1)该核苷酸的生物学名称为       .其组成元素包括:       
(2)该核苷酸是构成       的基本原料.
由该核苷酸构成的核酸含有       种碱基;其特有的碱基是       
(3)在“验证DNA和RNA的分布实验”中,将口腔上皮细胞浸到质量分数为0.9%的NaCl溶液中的目的是       .该实验材料也可以用植物细胞来做,但如果用植物细胞则要选择        的细胞,是为了       
转载声明:
本题解析属于发布者收集录入,如涉及版权请向平台申诉! !版权申诉

dygzswyn

2015-10-20

高中生物 | 段考 | 难度:1.11

  • 下载量
  • 浏览量
  • 收益额
  • 66
  • 10
  • 0
下载试卷 收藏
平行组卷 细目重组
试卷分析 加入白板
加卷篮 更多功能
温馨提示
对不起!这是别人共享的试卷,需要下载到自主题库后,可将该试卷添加到白板
试题下载
试题内容
调用试题名称
共享人
唐老师
试题题型
解答题
试题难度
试题题源
2020*西工大*期末
下载次数
168次
下载金币
5德优币(当前结余18德优币)
温馨提示
该试题下载至自主题库后,下载、备课永久免费!
相似题
德优题库校正考点说明
操作步骤
领取试卷→修改考点→完成任务→领取赚现
试卷设置
试卷名称
省市校区
阶段科目
年份卷型
选择类型
已选考点
在线训练
可见权限
会员看题 会员看题和答案
试卷下载
试卷名称
调用试卷名称
共享人
唐老师
试卷卷型
1111
试卷难度
试卷来源
2020*西工大*期末
下载次数
168次
下载金币
5德优币(当前结余18德优币)
温馨提示
该试卷下载至自主题库后,下载、备课永久免费!
组卷付费
试卷名称
调用试卷名称
试卷来源
唐老师
试卷形式
全选 卷主 序号 卷型 难度 年份 省市区 题源 金币 操作
8 选择题 2018年 陕西 真题 2币 查看
8 选择题 2018年 陕西 真题 2币 查看
8 选择题 2018年 陕西 真题 2币 查看
8 选择题 2018年 陕西 真题 2币 查看
8 选择题 2018年 陕西 真题 2币 查看
8 选择题 2018年 陕西 真题 2币 查看
下载金币
5德优币(当前结余18德优币)
温馨提示
该试卷下载至自主题库后,下载、备课永久免费!
试题找茬
纠错类型
纠错描述
温馨提示
共享试题、试卷经平台审核通过后方可展示,并永久享用用户下载分红权!
平行组卷明细
2015-2016学年陕西省西安一中高一(上)第一次月考生物试卷(10月份)的细目表
  • 题号
  • 考点
  • 操作
  • 1
  • 细胞的发现、细胞学说的建立、内容和发展,
  • 查看
  • 2
  • 细胞的发现、细胞学说的建立、内容和发展,
  • 查看
  • 3
  • 细胞的发现、细胞学说的建立、内容和发展,
  • 查看
  • 4
  • 细胞的发现、细胞学说的建立、内容和发展,
  • 查看
  • 5
  • 细胞的发现、细胞学说的建立、内容和发展,
  • 查看
  • 6
  • 显微镜及其使用,
  • 查看
  • 7
  • 细胞观察实验,
  • 查看
  • 8
  • 细胞观察实验,
  • 查看
  • 9
  • 细胞观察实验,
  • 查看
  • 10
  • 原核细胞和真核细胞的形态和结构的异同,
  • 查看
  • 11
  • 原核细胞和真核细胞的形态和结构的异同,
  • 查看
  • 12
  • 细胞的发现、细胞学说的建立、内容和发展,
  • 查看
  • 13
  • 细胞的发现、细胞学说的建立、内容和发展,
  • 查看
  • 14
  • 原核细胞和真核细胞的形态和结构的异同,
  • 查看
  • 15
  • 细胞的发现、细胞学说的建立、内容和发展,
  • 查看
  • 16
  • 组成细胞的元素种类,
  • 查看
  • 17
  • 组成细胞的元素种类,
  • 查看
  • 18
  • 蛋白质的结构和功能的综合,
  • 查看
  • 19
  • 糖类的检测,
  • 查看
  • 20
  • 糖类的检测,脂肪的检测,蛋白质的检测,
  • 查看
  • 21
  • 糖类的检测,脂肪的检测,蛋白质的检测,
  • 查看
  • 22
  • 氨基酸的种类和结构特点,蛋白质分子的化学结构和空间结构,
  • 查看
  • 23
  • 氨基酸的种类和结构特点,
  • 查看
  • 24
  • 氨基酸的种类和结构特点,
  • 查看
  • 25
  • 蛋白质的合成——氨基酸脱水缩合,
  • 查看
  • 26
  • 蛋白质(多肽)的相关计算,
  • 查看
  • 27
  • 蛋白质分子的化学结构和空间结构,
  • 查看
  • 28
  • 蛋白质在生命活动中的主要功能,
  • 查看
  • 29
  • 蛋白质的合成——氨基酸脱水缩合,
  • 查看
  • 30
  • 蛋白质(多肽)的相关计算,
  • 查看
  • 31
  • 蛋白质的合成——氨基酸脱水缩合,
  • 查看
  • 32
  • 蛋白质的合成——氨基酸脱水缩合,
  • 查看
  • 33
  • DNA的结构层次及特点,
  • 查看
  • 34
  • 核酸的基本组成单位,
  • 查看
  • 35
  • 氨基酸的种类和结构特点,
  • 查看
  • 36
  • 蛋白质的合成——氨基酸脱水缩合,
  • 查看
  • 37
  • 蛋白质(多肽)的相关计算,
  • 查看
  • 38
  • 蛋白质分子的化学结构和空间结构,
  • 查看
  • 39
  • 蛋白质在生命活动中的主要功能,
  • 查看
  • 40
  • 蛋白质的合成——氨基酸脱水缩合,
  • 查看
  • 41
  • 蛋白质(多肽)的相关计算,
  • 查看
  • 42
  • 蛋白质的合成——氨基酸脱水缩合,
  • 查看
  • 43
  • 蛋白质的合成——氨基酸脱水缩合,
  • 查看
  • 44
  • DNA的结构层次及特点,
  • 查看
细目重组明细
2015-2016学年陕西省西安一中高一(上)第一次月考生物试卷(10月份)的细目表
  • 题号
  • 考点
  • 选题
  • 1
  • 细胞的发现、细胞学说的建立、内容和发展,
  • 查看
  • 2
  • 细胞的发现、细胞学说的建立、内容和发展,
  • 查看
  • 3
  • 细胞的发现、细胞学说的建立、内容和发展,
  • 查看
  • 4
  • 细胞的发现、细胞学说的建立、内容和发展,
  • 查看
  • 5
  • 细胞的发现、细胞学说的建立、内容和发展,
  • 查看
  • 6
  • 显微镜及其使用,
  • 查看
  • 7
  • 细胞观察实验,
  • 查看
  • 8
  • 细胞观察实验,
  • 查看
  • 9
  • 细胞观察实验,
  • 查看
  • 10
  • 原核细胞和真核细胞的形态和结构的异同,
  • 查看
  • 11
  • 原核细胞和真核细胞的形态和结构的异同,
  • 查看
  • 12
  • 细胞的发现、细胞学说的建立、内容和发展,
  • 查看
  • 13
  • 细胞的发现、细胞学说的建立、内容和发展,
  • 查看
  • 14
  • 原核细胞和真核细胞的形态和结构的异同,
  • 查看
  • 15
  • 细胞的发现、细胞学说的建立、内容和发展,
  • 查看
  • 16
  • 组成细胞的元素种类,
  • 查看
  • 17
  • 组成细胞的元素种类,
  • 查看
  • 18
  • 蛋白质的结构和功能的综合,
  • 查看
  • 19
  • 糖类的检测,
  • 查看
  • 20
  • 糖类的检测,脂肪的检测,蛋白质的检测,
  • 查看
  • 21
  • 糖类的检测,脂肪的检测,蛋白质的检测,
  • 查看
  • 22
  • 氨基酸的种类和结构特点,蛋白质分子的化学结构和空间结构,
  • 查看
  • 23
  • 氨基酸的种类和结构特点,
  • 查看
  • 24
  • 氨基酸的种类和结构特点,
  • 查看
  • 25
  • 蛋白质的合成——氨基酸脱水缩合,
  • 查看
  • 26
  • 蛋白质(多肽)的相关计算,
  • 查看
  • 27
  • 蛋白质分子的化学结构和空间结构,
  • 查看
  • 28
  • 蛋白质在生命活动中的主要功能,
  • 查看
  • 29
  • 蛋白质的合成——氨基酸脱水缩合,
  • 查看
  • 30
  • 蛋白质(多肽)的相关计算,
  • 查看
  • 31
  • 蛋白质的合成——氨基酸脱水缩合,
  • 查看
  • 32
  • 蛋白质的合成——氨基酸脱水缩合,
  • 查看
  • 33
  • DNA的结构层次及特点,
  • 查看
  • 34
  • 核酸的基本组成单位,
  • 查看
  • 35
  • 氨基酸的种类和结构特点,
  • 查看
  • 36
  • 蛋白质的合成——氨基酸脱水缩合,
  • 查看
  • 37
  • 蛋白质(多肽)的相关计算,
  • 查看
  • 38
  • 蛋白质分子的化学结构和空间结构,
  • 查看
  • 39
  • 蛋白质在生命活动中的主要功能,
  • 查看
  • 40
  • 蛋白质的合成——氨基酸脱水缩合,
  • 查看
  • 41
  • 蛋白质(多肽)的相关计算,
  • 查看
  • 42
  • 蛋白质的合成——氨基酸脱水缩合,
  • 查看
  • 43
  • 蛋白质的合成——氨基酸脱水缩合,
  • 查看
  • 44
  • DNA的结构层次及特点,
  • 查看
视频讲解
温馨提示
视频讲解正在加载中、请等待!
视频解析购买
支付方式
德优币数
本次消耗0德优币
温馨提示

客服电话:400-816-0029,服务邮箱:610066832@qq.com

视频资源

选择考点
存放类型
已选考点

平行组卷卷生成中,请等待

组卷异常提醒
温馨提示
试题篮存在未完成组卷,请前往组卷页面-组卷管理,点击“完成组卷”后,方可修改或添加试卷!
试题改考点
原考点
选择新考点
试题