德优网2023陕西省西安市雁塔区曲江一中初中数学考试期末八年级下
2022-2023学年陕西省西安市雁塔区曲江一中八年级(下)期末数学试卷
试卷总分:100分
命题人:csyn@dyw.com
考试时长:120分钟
一、选择题(10小题共30分)
2.
(本题3分)
牛顿曾说过:“反证法是数学家最精良的武器之一.”那么我们用反证法证明:“在同一平面内,若a⊥b,c⊥b,则a∥c”时,首先应假设( )
A.a∥b
B.c∥b
C.a与b相交
D.a与c相交
3.
(本题3分)
若x>y,则下列不等式正确的是( )
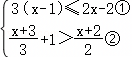
A.x﹣5<y﹣5
B.6x<6y
C..﹣8x>﹣8y
D..
>
4.
(本题3分)
下列因式分解正确的是( )
A.a3-a=a(a2-1)
|
B.a2-ab+a=a(a-b)
|
C.16a2+24a+9=(8a+3)2
|
D.a2+4a-12=(a+6)(a-2)
|
5.
(本题3分)
如图,小刚荡秋千,秋千旋转了70°,小刚的位置从A点运动到了A'点,则∠OAA'的度数为( )
6.
(本题3分)
如图,已知点A、D、C、F在同一条直线上,∠B=∠E=90°,AB=DE,若添加一个条件后,能用“HL”的方法判定Rt△ABC≌Rt△DEF,添加的条件可以是( )
A.BC=EF
B.∠BCA=∠F
C.AB∥DE
D.AD=CF
7.
(本题3分)
如图,平行四边形ABCD的顶点A,B,C的坐标分别是(0,1),(-2,-2),(2,-2),则顶点D的坐标是( )
A.(-4,-1)
B.(4,-2)
C.(4,1)
D.(2,1)
8.
(本题3分)
一次函数y1=mx+n和y2=kx+b的图象如图所示,下列结论:
①k<0;
②n>0;
③方程(k-m)x=n-b的解是x=-1;
④不等式mx+n>kx+b的解集x<-1.
其中正确的个数是( )
9.
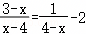
(本题3分)
若关于x的分式方程
的解为正数,则m的取值范围是( )
A.m>-5
B.m>-5且m≠-1
C.m>-3
D.m>-3且m≠-1
10.
(本题3分)
如图,在四边形ABCD中,AB=AD=12,BC=DC,∠A=60°,点E在AD上,连接BD,CE相交于点F,CE∥AB.若CE=9,则CF的长为( )
二、填空题(8小题共24分)
11.
(本题3分)
一个多边形的每个内角都等于150°,则这个多边形是 边形.
12.
(本题3分)
在平面直角坐标系内,若点P(p,-2)和点Q(6,q)关于原点O对称,则p+q的值为 .
13.
(本题3分)
若分式
的值为零,则a的值为 .
14.
(本题3分)
如图,在△ABC中,点D,E,F分别是BC,AC,AB的中点.若AB=6,BC=8,则四边形BDEF的周长是 .
15.
(本题3分)
分解因式:2x3+12x2y+18xy2= .
16.
(本题3分)
关于x的不等式组
恰好有3个整数解,则a的取值范围是 .
17.
(本题3分)
如图,∠AOB=60°,OC平分∠AOB,如果射线OA上的点E满足△OCE是等腰三角形,那么∠OEC的度数为 .
18.
(本题3分)
如图,在平面直角坐标系中,A(0,4),B(8,0),C(8,2),M,N是线段OB上的两个动点,且MN=2,则△AOM与△NCB周长和的最小值是 .
转载声明:
本题解析属于发布者收集录入,如涉及版权请向平台申诉!
!版权申诉