首页 | 客服 | 上传赚现
AI助手
德优题库AI助手

AI助手

搜题▪组卷

(1)

服务热线

400-816-0029

    自建题库,共享分红

德优题库QQ交流群

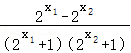
238055. (2015•交大附中•高一上期中) 已知函数
(1)用定义证明:不论a为何实数fx)总是为增函数;
(2)确定a的值,使fx)为奇函数;
(3)当fx)为奇函数时,求fx)的值域.
共享时间:2015-11-12 难度:1
[考点]
奇偶性与单调性的综合,
[答案]
见试题解答内容
[解析]
(1)证明:任取x1x2
fx1)﹣fx2)=()﹣()=
x1x2
<0,()()>0.
fx1)﹣fx2)<0,即fx1)<fx2).
所以不论a为何实数fx)总为增函数;
(2)∵fx)为奇函数,∴f(﹣x)=﹣fx),
=﹣a+
解得:a
fx)=
(3)由(2)知 fx)=
∵2x+1>1,∴0<<1;
∴﹣1<﹣<0;
∴﹣fx)<
所以fx)的值域为(﹣
[点评]
本题考查了"奇偶性与单调性的综合,",属于"常考题",熟悉题型是解题的关键。
转载声明:
本题解析属于发布者收集录入,如涉及版权请向平台申诉! !版权申诉
167542. (2023•关山中学•高三上一月) 已知函数是奇函数,且
(Ⅰ)求实数mn的值;
(Ⅱ)判断函数fx)在(﹣∞,﹣1]上的单调性,并加以证明.
共享时间:2023-10-22 难度:1 相似度:2
172072. (2022•铁一中学•高一上期中) 已知定义域为R的函数是奇函数.
(1)求ab的值;
(2)若对任意的t∈R,不等式ft2﹣2t)+f(2t2k)<0恒成立,求k的取值范围.
共享时间:2022-11-18 难度:1 相似度:2
237640. (2019•西工大附中•高一上期中) .设函数fkx)=2x+(k﹣1)2xx∈R,k∈Z).
(1)证明:Fx)=f02x)+f22x)为偶函数;
(2)若2m+f1m)=5,log2f1(2n)+2log2n﹣1)=5,求m+n的值.
共享时间:2019-11-29 难度:1 相似度:2
237470. (2020•高新一中•高一上期中) 已知fx)是定义在R上的奇函数.当x<0时,fx)单调递增,且f(﹣1)=0.设gx)=﹣22x+(2xm﹣2m+5,集合S={m|对任意x∈[0,1],gx)<0},T={m|对任意x∈[0,1],fgx))<0},求ST
共享时间:2020-11-29 难度:1 相似度:2
237466. (2020•高新一中•高一上期中) 已知定义域为R的函数是奇函数.
(1)求ab的值;
(2)若对任意的t∈R,不等式ft2﹣2t)+f(2t2k)<0恒成立,求k的取值范围.
共享时间:2020-11-29 难度:1 相似度:2
237405. (2020•铁一中学•高一上期中) 已知定义域为R的函数是奇函数.
(1)求ab的值;
(2)若对任意的t∈R,不等式ft2﹣2t)+f(2t2k)<0恒成立,求k的取值范围.
共享时间:2020-11-30 难度:1 相似度:2
236284. (2017•西安一中•高一上期末) 已知函数fx)=x2+
(1)判断fx)的奇偶性,并说明理由;
(2)判断fx)在[2,+∞)上的单调性,并证明你的结论.
共享时间:2017-02-17 难度:1 相似度:2
232071. (2023•西工大附中•高一上二月) 已知函数fx)与gx)具有如下性质:
fx)为奇函数,gx)为偶函数;
fx)+gx)=ex(常数e是自然对数的底数,e=2.71828…).
利用上述性质,解决以下问题:
(1)求函数fx)与gx)的解析式;
(2)证明:对任意实数x,[fx)]2﹣[gx)]2为定值;
(3)已知m∈R,记函数y=2mg(2x)﹣4fx),x∈[0,ln2]的最小值为φ(m),求φ(m).
共享时间:2023-12-17 难度:1 相似度:2
171569. (2023•滨河中学•高一上期中) 已知函数fx)是定义在[﹣3,3]上的奇函数,当0<x≤3时,
(1)求函数fx)的解析式;
(2)若fa+1)+f(2a﹣1)>0,求实数a的取值范围.
共享时间:2023-11-16 难度:1 相似度:2
171086. (2024•碑林区•高一上期中) 已知函数是定义在(﹣3,3)上的奇函数,且
(1)求实数ab的值;
(2)判断函数fx)在(﹣3,3)上的单调性,并证明你的结论;
(3)若ft2﹣1)+f(1﹣4t)<0,求t的取值范围.
共享时间:2024-11-15 难度:1 相似度:2
167584. (2023•新城一中•高一上二月) 已知定义域为(﹣1,1)的函数
(1)判断函数fx)的单调性,并证明;
(2)解不等式f(2x﹣1)﹣f(﹣x)<0.
共享时间:2023-12-13 难度:2 相似度:1.5
171914. (2022•长安区一中•高一上期中) 已知fx)是定义在R上的奇函数,且当x≥0时,fx)=x2ex
(1)求fx)的解析式;
(2)若∃x∈[﹣2,2]使得f(2x﹣1)+fx2m)>0成立,求m的取值范围.
共享时间:2022-11-19 难度:3 相似度:1.33
233474. (2023•铁一中学•高二下三月) 函数fx)=是定义在(﹣3,3)上的奇函数,且f(1)=
(1)确定fx)的解析式;
(2)判断fx)在(﹣3,3)上的单调性,并证明你的结论;
(3)解关于t的不等式ft﹣1)+ft)<0.
共享时间:2023-07-19 难度:3 相似度:1.33
169992. (2023•西工大附中•高一上期末) 已知函数是奇函数,且f(1)=2.
(1)求ab的值;
(2)证明函数fx)在(﹣∞,﹣1)上是增函数.
共享时间:2023-02-20 难度:3 相似度:1.33
171179. (2024•西安八十三中•高三上期中) 已知定义域为R的函数是奇函数.
(1)求ab的值;
(2)判断fx)的单调性;
(3)若存在t∈[0,4],使fk+t2)+f(4k﹣2t2)<0成立,求实数k的取值范围.
共享时间:2024-11-28 难度:3 相似度:1.33

dygzsxyn

2015-11-12

高中数学 | 高一上 | 解答题

  • 下载量
  • 浏览量
  • 收益额
  • 0
  • 3
  • 0
相同试题
试题下载
试题内容
调用试题名称
共享人
唐老师
试题题型
解答题
试题难度
试题题源
2020*西工大*期末
下载次数
168次
下载金币
5德优币(当前结余18德优币)
温馨提示
该试题下载至自主题库后,下载、备课永久免费!
试卷设置
试卷名称
省市校区
阶段科目
年份卷型
选择类型
已选考点
在线训练
视频讲解
温馨提示
视频讲解正在加载中、请等待!
温馨提示
对不起!这是别人共享的试题,需要下载到自主题库后,可将该试题添加到白板
视频解析购买
支付方式
德优币数
本次消耗0德优币
温馨提示

客服电话:400-816-0029,服务邮箱:610066832@qq.com

视频资源

试题找茬
纠错类型
纠错描述
温馨提示
共享试题、试卷经平台审核通过后方可展示,并永久享用用户下载分红权!