首页 | 客服 | 上传赚现
AI助手
德优题库AI助手

AI助手

搜题▪组卷

(1)

服务热线

400-816-0029

    自建题库,共享分红

德优题库QQ交流群

237658. (2019•西工大附中•高二上期中) 动点P到直线lx=3的距离是它到点A(4,0)的距离的倍;
(1)求动点P的轨迹C方程;
(2)过点M(2,1)能否作一条直线,与(1)中轨迹交于EF两点,且点M为线段EF的中点?若存在,求出直线EF的方程;若不存在,请说明理由.
共享时间:2019-11-17 难度:1
[考点]
轨迹方程,
[答案]
(1)
(2)不存在,理由见解析.
[解析]
解:(1)

设动点 P 坐标为 (xy),
P 到的距离为|x﹣3|,
PA 的距离为
又∵P 到的距离是 PA 距离的  倍,


化简得 x2﹣3y2﹣12=0,
即动点 P 的轨迹 C 方程为  (双曲线)
(2)

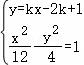
假设能过 M 作一条直线与双曲线交于点 EF,且 MEF 中点,
y﹣1=kx﹣2),(由题知必与双曲线由两个交点,所以k存在),
Ex1y1),Fx2y2
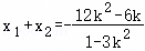
⇒(1﹣3k2x2+(12k2﹣6kx+12k﹣12k2﹣15=0①
由韦达定理知,
EF 中点横坐标为
,∴
又①式Δ=(12k2﹣6k2﹣4(1﹣3k2)(12k﹣12k2﹣15)>0,
即 8k2+4k﹣5<0,
 代入得
∴ 不存在直线EF满足题意.
[点评]
本题考查了"轨迹方程,",属于"常考题",熟悉题型是解题的关键。
转载声明:
本题解析属于发布者收集录入,如涉及版权请向平台申诉! !版权申诉
考点说明
灰色代表去掉的考点,绿色代表未变动的考点,红色代表新增的考点
272970. (2022•西工大附中•高二下二月) 在平面直角坐标系中,动点Pxy)(y>0)到定点M(0,1)的距离比到x轴的距离大1.
(1)求动点P的轨迹C的方程;
(2)过点M的直线l交曲线CAB两点,若|AB|=8,求直线l的方程.
共享时间:2022-06-29 难度:1 相似度:2
168782. (2021•西安中学•八模) 在平面直角坐标系xOy中,O为坐标原点,,已知△PMN周长为定值
(1)求动点P的轨迹方程;
(2)过作互相垂直的两条直线l1l2l1与动点P的轨迹交于ABl2与动点P的轨迹交于点CDABCD的中点分别为EF
①证明:直线EF恒过定点,并求出定点坐标.
②求四边形ACBD面积的最小值.
共享时间:2021-06-19 难度:1 相似度:2
170952. (2024•西工大附中•高二上期中) 已知点AB的坐标分别是(0,﹣1),(0,1),直线AMBM相交于点M,且它们的斜率之积为
(1)求动点M的轨迹方程;
(2)若过点的直线l交动点M的轨迹于CD两点,且N为线段CD的中点,求直线l的方程.
共享时间:2024-11-30 难度:1 相似度:2
170597. (2021•西安中学•高二上期末) 在平面直角坐标系xOy中,动点P与两定点A(﹣2,0),B(2,0)连线的斜率之积为﹣,记点P的轨迹为曲线C
(Ⅰ)求曲线C的方程;
(Ⅱ)若过点(﹣,0)的直线l与曲线C交于MN两点,曲线C上是否存在点E使得四边形OMEN为平行四边形?若存在,求直线l的方程,若不存在,说明理由.
共享时间:2021-02-14 难度:1 相似度:2
166736. (2024•交大附中•高二上一月) 已知定点A(﹣1,2),B(3,2),动点M到定点AB距离之比为
(1)求动点M的轨迹E的方程;
(2)过点OE的切线,切点为PQ,求PQ所在直线方程.
共享时间:2024-10-26 难度:1 相似度:2
166739. (2024•交大附中•高二上一月) 设动点M到定点F(3,0)的距离与它到定直线的距离之比为
(1)求点M的轨迹E的方程;
(2)过F的直线与曲线E交右支于PQ两点(Px轴上方),曲线Ex轴左、右交点分别为AB,设直线AP的斜率为k1,直线BQ的斜率为k2,试判断是否为定值,若是定值,求出此值,若不是,请说明理由.
共享时间:2024-10-26 难度:1 相似度:2
172333. (2021•西安中学•高二上期中) 在平面直角坐标系xOy中,O为坐标原点,,已知P为平面内的一个动点,三角形△PF1F2周长为定值
(1)求动点P的轨迹方程;
(2)若P的轨迹上有一点Mx0y0)满足MF1MF2,求y0的值.
共享时间:2021-11-26 难度:1 相似度:2
167149. (2023•西安中学•高二上二月) 已知平面上的动点P到定点F(1,0)的距离比到直线lx=﹣2的距离小1.
(1)求动点P的轨迹E的方程;
(2)过点(2,0)的直线交EAB两点,在x轴上是否存在定点M,使得AB变化时,直线AMBM的斜率之和是0,若存在,求出定点M的坐标,若不存在,写出理由.
共享时间:2023-12-17 难度:1 相似度:2
167428. (2023•雁塔二中•高二上一月) 在平面直角坐标系中,已知M1(﹣3,0),M2(3,0),动点Mxy)满足M的轨迹为C
(1)求C的方程:
(2)设直线lC相交于AB两点,且AB的中点N(6,﹣2),求SOABO为坐标原点).
共享时间:2023-10-26 难度:1 相似度:2
171066. (2024•高新一中•高二上期中) 在平面直角坐标系xOy中,已知PQ两点的坐标分别为,直线PNQN相交于点N,且它们的斜率之积是
(1)求动点N的轨迹方程;
(2)若点N的轨迹与直线ykx+1相交于两个不同的点AB,线段AB的中点为M.若直线OM的斜率为﹣1,求线段AB的长.
共享时间:2024-11-27 难度:1 相似度:2
230573. (2025•西工大附中•八模) 通过研究,已知对任意非零平面向量,把绕其起点A沿逆时针方向旋转θ角得到向量,叫做把点B绕点A逆时针方向旋转θ角得到点P
(1)已知平面内点,点,把点B绕点A逆时针旋转得到点P,求点P的坐标;
(2)已知曲线C是函数的图象,它是某双曲线绕原点O逆时针旋转后得到的,求C的离心率;
(3)已知曲线Ex2+y2xy=1是由某椭圆绕原点O逆时针旋转后所得到的斜椭圆,过点作与两坐标轴都不平行的直线l1交曲线E于点MN,过原点O作直线l2与直线l1垂直,直线l2交曲线E于点GH,判断是否为定值,若是,请求出定值,若不是,请说明理由.
共享时间:2025-06-12 难度:1 相似度:2
169126. (2020•西工大附中•三模) 已知点F(0,﹣1),直线ly=﹣2,动点P到直线l的距离为d,且,记P的轨迹为曲线C
(1)求C的方程;
(2)过点F的直线mC交于AB两点,判断是否为定值?如果是,求出该定值;如果不是,说明理由.
共享时间:2020-04-03 难度:1 相似度:2
171439. (2024•长安区一中•高二下期中) 已知动圆M经过定点,且与圆F2内切.
(1)求动圆圆心M的轨迹C的方程;
(2)设轨迹Cx轴从左到右的交点为点AB,点P为轨迹C上异于AB的动点,设PB交直线x=4于点T,连结AT交轨迹C于点Q.直线APAQ的斜率分别为kAPkAQ
i)求证:kAPkAQ为定值;
ii)证明直线PQ经过x轴上的定点,并求出该定点的坐标.
共享时间:2024-05-30 难度:2 相似度:1.5
172182. (2022•西安三中•高二上期中) 动点Mxy)与定点F(4,0)的距离和它到定直线lx的距离的比是常数
(1)求动点M的轨迹方程;
(2)直线lykx+bM的轨迹交于AB两点,AB的中点坐标为(6,2),求直线l的方程.
共享时间:2022-11-22 难度:2 相似度:1.5
230475. (2025•西安中学•二模) 已知平面上动点Qxy)到F(0,1)的距离比Qxy)到直线ly=﹣2的距离小1,记动点Qxy)的轨迹为曲线C
(1)求曲线C的方程;
(2)设点P的坐标为(0,﹣1),过点P作曲线C的切线,切点为AA在第一象限),若过点P的直线m与曲线C交于MN两点,证明:∠AFM=∠AFN
共享时间:2025-03-19 难度:2 相似度:1.5

dygzsxyn

2019-11-17

高中数学 | 高二上 | 解答题

  • 下载量
  • 浏览量
  • 收益额
  • 0
  • 8
  • 0
相同试题
试题下载
试题内容
调用试题名称
共享人
唐老师
试题题型
解答题
试题难度
试题题源
2020*西工大*期末
下载次数
168次
下载金币
5德优币(当前结余18德优币)
温馨提示
该试题下载至自主题库后,下载、备课永久免费!
试卷设置
试卷名称
省市校区
阶段科目
年份卷型
选择类型
已选考点
在线训练
视频讲解
温馨提示
视频讲解正在加载中、请等待!
温馨提示
对不起!这是别人共享的试题,需要下载到自主题库后,可将该试题添加到白板
视频解析购买
支付方式
德优币数
本次消耗0德优币
温馨提示

客服电话:400-816-0029,服务邮箱:610066832@qq.com

视频资源

试题找茬
纠错类型
纠错描述
温馨提示
共享试题、试卷经平台审核通过后方可展示,并永久享用用户下载分红权!