首页 | 客服 | 上传赚现
AI助手
德优题库AI助手

AI助手

搜题▪组卷

(1)

服务热线

400-816-0029

    自建题库,共享分红

德优题库QQ交流群

237574. (2019•西安中学•高一上期中) 已知函数fx)=ax2+bx+ca>0,b∈R,c∈R).
(1)若函数fx)的最小值是f(﹣1)=0,且c=1,,求F(2)+F(﹣2)的值;
(2)若a=1,c=0,且﹣1≤fx)≤1在区间(0,1]上恒成立,试求b的取值范围.
共享时间:2019-11-21 难度:1
[考点]
函数恒成立问题,
[答案]
见试题解答内容
[解析]
解:(1)由已知c=1,f(﹣1)=ab+c=0,对称轴﹣=﹣1,
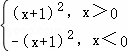
∴解得a=1,b=2,∴fx)=x2+2x+1=(x+1)2
Fx)=,∴F(2)+F(﹣2)=(2+1)2+[﹣(﹣2+1)2]=8.
(2)若a=1,c=0,则fx)=x2+bx
∴﹣1≤x2+bx≤1在区间(0,1]上恒成立,
∴﹣xbx在区间(0,1]上恒成立,
而由对勾函数知﹣x在(0,1]单调递增,有最大值﹣2,
x在(0,1]单调递减,有最小值0,
∴﹣2≤b≤0.
b的取值范围是[﹣2,0].
[点评]
本题考查了"函数恒成立问题,",属于"常考题",熟悉题型是解题的关键。
转载声明:
本题解析属于发布者收集录入,如涉及版权请向平台申诉! !版权申诉
168968. (2021•交大附中•四模) 已知函数fx)=|x﹣1|+|ax﹣2|.
(1)当a=1时,求fx)的最小值;
(2)当x∈[3,4]时,fx)≤x恒成立,求a的取值范围.
共享时间:2021-04-20 难度:1 相似度:2
169462. (2024•长安区一中•高一上期末) 已知函数为奇函数.
(1)求实数a的值,并用定义证明函数fx)的单调性;
(2)若对任意的t∈R,不等式ft2+3)+ft2tk)>0恒成立,求实数k的取值范围.
共享时间:2024-02-14 难度:1 相似度:2
171374. (2023•西安中学•高三上期中) 已知函数fx)=|xa|+|x+b|,ab∈R且a+b>0.
(1)若函数fx)的最小值为1,试证明点(ab)在定直线上;
(2)若b=1,x∈[0,1]时,不等式fx)≤x+5恒成立,求实数a的取值范围.
共享时间:2023-11-22 难度:1 相似度:2
169613. (2024•滨河中学•高一下期末) 已知函数yfx)的定义域为R,实数ab满足ab,若yfx)在区间(ab]上不存在最小值,则称yfx)在(ab]上具有性质P
(1)若fx)=x2﹣2x,判断函数yfx)在下列区间上是否具有性质P;①(0,2];②(1,3];
(2)若fx+1)=mfx)+1对任意实数x都成立,当0<x≤1时,fx)=x,若yfx)在区间(0,2]上具有性质P,求实数m的取值范围;
(3)对于满足ab的任意实数abyfx)在区间(ab]上都有性质P,且对于任意k∈Z,当x∈(kk+1)时,均满足.设n∈N+,试判断数列{an}的单调性,并说明理由.
共享时间:2024-07-23 难度:1 相似度:2
172117. (2022•高新一中•高一上期中) 设函数a>0,且a≠1)是定义域为R的奇函数,且yfx)的图象过点
(Ⅰ)求ta的值;
(Ⅱ)若∀x∈R,fkxx2)+fx﹣1)<0,求实数k的取值范围;
(Ⅲ)是否存在实数m,使函数gx)=22x+2﹣2xmfx)在区间[1,log23]上的最大值为1.若存在,求出m的值;若不存在,请说明理由.
共享时间:2022-11-15 难度:1 相似度:2
169720. (2023•师大附中•高一下期末) 已知函数fx)=axa>0,且a≠1).
(1)证明:f(2x1)+f(2x2)≥2fx1+x2);
(2)若fx1)=2,fx2)=3,fx1x2)=8,求a的值;
(3)∀x∈R,恒成立,求a的取值范围.
共享时间:2023-07-17 难度:1 相似度:2
169234. (2025•长安区一中•高一上期末) 若存在实数对(ab),使等式fx)•f(2ax)=b对定义域中每一个实数x都成立,则称函数fx)为(ab)型函数.
(1)若函数fx)=2x是(a,1)型函数,求a的值;
(2)若函数是(ab)型函数,求ab的值;
(3)已知函数hx)定义在[﹣2,4]上,hx)恒大于0,且为(1,4)型函数,当x∈(1,4]时,.若hx)≥1在[﹣2,4]恒成立,求实数m的取值范围.
共享时间:2025-02-02 难度:1 相似度:2
170510. (2022•高新一中•高一上期末) 若函数yfx)对定义域内的每一个值x1,在其定义域内都存在唯一的x2,使得fx1fx2)=1成立,则称该函数为“依赖函数”.
(1)判断函数gx)=sinx是否为“依赖函数”,并说明理由;
(2)若函数fx)=2x﹣1在定义域[mn](m>0)上为“依赖函数”,求mn的取值范围;
(3)已知函数hx)=(xa2在定义域上为“依赖函数”,若存在实数,使得对任意的t∈R,不等式hx)≥﹣t2+(stx+4都成立,求实数s的最大值.
共享时间:2022-02-10 难度:1 相似度:2
170215. (2023•高新一中•高一上期末) fx)=m>0,n>0)是奇函数.
(1)求mn的值;
(2)如果对任意x∈R,不等式f(2a+cos2x)+f(4sinx﹣7)>0恒成立,求实数a的取值范围.
共享时间:2023-02-12 难度:2 相似度:1.5
166236. (2024•师大附中•高一上二月) 已知函数fx)对任意的xy∈R,都有fx+y)﹣1=fx)+fy),且当x>0时,fx)+1>0.
(1)判断函数fx)的单调性并证明;
(2)若f(1)=1,不等式x|xm|+2x﹣4≤f(3)对任意的x∈[0,4]恒成立,求实数m的取值范围.
共享时间:2024-12-16 难度:2 相似度:1.5
170373. (2022•长安区一中•高二下期末) 已知fx)=2|x﹣1|+|x﹣2|﹣a,若fx)≥0在R上恒成立.
(1)求实数a的取值范围;
(2)设实数a的最大值为m,若正数bc满足,求bc+c+2b的最小值.
共享时间:2022-07-05 难度:2 相似度:1.5
170396. (2022•长安区一中•高二下期末) 已知fx)=2|x﹣1|+|x﹣2|﹣a,若fx)≥0在R上恒成立.
(1)求实数a的取值范围;
(2)设实数a的最大值为m,若正数bc满足,求bc+c+2b的最小值.
共享时间:2022-07-21 难度:2 相似度:1.5
170444. (2022•长安区一中•高二上期末) 函数fx)=lnx+1)﹣axgx)=1﹣ex
(Ⅰ)讨论函数fx)的单调性;
(Ⅱ)若fx)≥gx)在x∈[0,+∞)上恒成立,求实数a的取值范围.
共享时间:2022-02-23 难度:2 相似度:1.5
170237. (2023•西安三中•高二下期末) 已知函数fx)=3x+(k﹣2)•3xx∈R)为奇函数.
(1)求实数k的值;
(2)若对∀x∈[﹣2,﹣1],不等式fx)+m•3x≤6恒成立,求实数m的取值范围;
(3)若函数gx)=λfx)﹣(3x+3x2﹣5在[1,+∞)上有零点,求实数λ的取值范围.
共享时间:2023-07-07 难度:2 相似度:1.5
170622. (2021•长安区一中•高一上期末) a>1,m∈R,,当x∈[a,2a]时,fx)的值域为[a2a3].
(1)求a的值;
(2)若存在实数t,使(x+t2+2(x+t)≤(a+1)x对任意的x∈[1,s]恒成立,求实数s的取值范围.
共享时间:2021-02-11 难度:2 相似度:1.5

dygzsxyn

2019-11-21

高中数学 | 高一上 | 解答题

  • 下载量
  • 浏览量
  • 收益额
  • 0
  • 3
  • 0
相同试题
试题下载
试题内容
调用试题名称
共享人
唐老师
试题题型
解答题
试题难度
试题题源
2020*西工大*期末
下载次数
168次
下载金币
5德优币(当前结余18德优币)
温馨提示
该试题下载至自主题库后,下载、备课永久免费!
试卷设置
试卷名称
省市校区
阶段科目
年份卷型
选择类型
已选考点
在线训练
视频讲解
温馨提示
视频讲解正在加载中、请等待!
温馨提示
对不起!这是别人共享的试题,需要下载到自主题库后,可将该试题添加到白板
视频解析购买
支付方式
德优币数
本次消耗0德优币
温馨提示

客服电话:400-816-0029,服务邮箱:610066832@qq.com

视频资源

试题找茬
纠错类型
纠错描述
温馨提示
共享试题、试卷经平台审核通过后方可展示,并永久享用用户下载分红权!