首页 | 客服 | 上传赚现
AI助手
德优题库AI助手

AI助手

搜题▪组卷

(1)

服务热线

400-816-0029

    自建题库,共享分红

德优题库QQ交流群

237292. (2020•西安一中•高二上期中) 已知△ABC的三边长BCACAB成等差数列,且BC的坐标分别为A(﹣3,0)、C(3,0).
(1)求顶点B的轨迹E的方程;
(2)求曲线E的内接矩形的面积的最大值.
共享时间:2020-11-15 难度:5
[考点]
椭圆,
[答案]
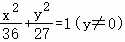
(1)
(2)
[解析]
解:(1)由已知得|BA|+|BC|=2|AC|=12>|AC|=6,
所以点B的轨迹E是以AC为焦点的椭圆.
c=3,a=6,所以b2=27,
故所求方程为
(2)设椭圆的内接矩形为ABCD,且
则此矩形面积为S
当sin2θ=1时,最大面积为
[点评]
本题考查了"",属于"压轴题",熟悉题型是解题的关键。
转载声明:
本题解析属于发布者收集录入,如涉及版权请向平台申诉! !版权申诉
169102. (2020•西工大附中•三模) 已知椭圆C1的长轴为AB,动点P是椭圆上不同于AB的任一点,点Q满足APAQBPBQ
(1)求点Q的轨迹C2的方程;
(2)过点R(0,6)的动直线lC2MN两点,y轴上是否存在定点S,使得∠RSM+∠RSN=π总成立?若存在,求出定点S;若不存在,请说明理由.
共享时间:2020-04-14 难度:5 相似度:2
171867. (2022•西安中学•高二上期中) 已知椭圆C的焦距为,圆O经过点
(1)求椭圆C与圆O的方程;
(2)若直线lykx+m与椭圆C交于点AB,其中m2=2(k2+1),问:是否为定值?若为定值,求出该定值;若不为定值,试说明理由.
共享时间:2022-11-21 难度:5 相似度:2
231852. (2025•铁一中学•高二下一月) 已知椭圆E的标准方程为:=1(ab>0),在这个椭圆上取2nn≥3,n∈N)个点,这些点的坐标分别为,连接PkQkk=0,1,…,n﹣1.
(1)若直线P0Q0的斜率为﹣,求椭圆E的离心率;
(2)证明△OPkQk的面积为定值,并求多边形P0P1Pn﹣1P0的面积(用n表示);
(3)若,线段PkQk的中点为M,证明:∠AMQk=∠BMPk
共享时间:2025-04-23 难度:5 相似度:2
232572. (2023•黄河中学•高二上二月) 已知椭圆的长轴长是短轴长的2倍,且M经过点(0,1).
(1)求M的方程;
(2)若直线M交于AB两点,求|AB|.
共享时间:2023-12-28 难度:5 相似度:2
233253. (2023•长安区一中•高二下二月) 如图,在平面直角坐标系xOy中,椭圆E的焦距为4,过点F且垂直于x轴的直线与椭圆相交所得的弦长为AB分别为椭圆E的左、右顶点.
(1)求椭圆E的标准方程;
(2)已知图中四边形ABCD是矩形,且BC=4,点MN分别在边BCCD上,AMBN相交于第一象限内的点P.若点P在椭圆E上,证明:为定值,并求出该定值.
共享时间:2023-06-26 难度:5 相似度:2
232334. (2023•铁一中学•高三上二月) 已知椭圆C+=1(ab>0),倾斜角为30°的直线过椭圆的左焦点F1和上顶点B,且S=1+(其中A为右顶点).
(1)求椭圆C的标准方程;
(2)若过点M(0,m)的直线l与椭圆C交于不同的两点PQ,且=2,求实数m的取值范围.
共享时间:2023-12-17 难度:5 相似度:1.5

dygzsxyn

2020-11-15

高中数学 | 高二上 | 解答题

  • 下载量
  • 浏览量
  • 收益额
  • 0
  • 3
  • 0
相同试题
试题下载
试题内容
调用试题名称
共享人
唐老师
试题题型
解答题
试题难度
试题题源
2020*西工大*期末
下载次数
168次
下载金币
5德优币(当前结余18德优币)
温馨提示
该试题下载至自主题库后,下载、备课永久免费!
试卷设置
试卷名称
省市校区
阶段科目
年份卷型
选择类型
已选考点
在线训练
视频讲解
温馨提示
视频讲解正在加载中、请等待!
温馨提示
对不起!这是别人共享的试题,需要下载到自主题库后,可将该试题添加到白板
视频解析购买
支付方式
德优币数
本次消耗0德优币
温馨提示

客服电话:400-816-0029,服务邮箱:610066832@qq.com

视频资源

试题找茬
纠错类型
纠错描述
温馨提示
共享试题、试卷经平台审核通过后方可展示,并永久享用用户下载分红权!