首页 | 客服 | 上传赚现
AI助手
德优题库AI助手

AI助手

搜题▪组卷

(1)

服务热线

400-816-0029

    自建题库,共享分红

德优题库QQ交流群

236836. (2015•西安一中•高一上期末) 如图,已知A(4,0)、B(0,4),从点P(2,0)射出的光线经直线AB反向后再射到直线OB上,最后经直线OB反射后又回到P点,则光线所经过的路程是(  )

A..2   
B..6        
C.3      
D..2
共享时间:2015-02-22 难度:1
[考点]
与直线关于点、直线对称的直线方程,
[答案]
A
[解析]
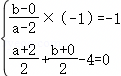
解:点P关于y轴的对称点P′坐标是(﹣2,0),设点P关于直线ABx+y﹣4=0的对称点P″(ab
,解得
∴光线所经过的路程|PP″|=2
故选:A
[点评]
本题考查了"与直线关于点、直线对称的直线方程,",属于"常考题",熟悉题型是解题的关键。
转载声明:
本题解析属于发布者收集录入,如涉及版权请向平台申诉! !版权申诉
考点说明
灰色代表去掉的考点,绿色代表未变动的考点,红色代表新增的考点
168142. (2023•西工大附中•六模) 已知:A(﹣2,0),B(2,0),C(0,2),E(﹣1,0),F(1,0),一束光线从F点出发射到BC上的D点经BC反射后,再经AC反射,落到线段AE上(不含端点).则FD斜率的取值范围是(  )

A.(﹣∞,﹣2)
B.(0,+∞)  
C.(1,+∞)
D.(4,+∞)
共享时间:2023-05-19 难度:1 相似度:2
171446. (2023•长安区一中•高二上期中) 设直线l1:3x﹣2y﹣6=0,直线l2xy﹣4=0,则l1关于l2对称的直线方程为(  )
A..3x+2y﹣14=0               
B..2x﹣3y﹣14=0  
C..3x+2y﹣6=0                
D.2x﹣3y﹣6=0
共享时间:2023-11-29 难度:1 相似度:2
232342. (2023•铁一中学•高二上一月) 在等腰直角三角形ABC中,ABAC=4,点P是边AB边上异于AB的一点,光线从点P出发,经BCCA反射后又回到点P(如图),若光线QR经过△ABC的重心,则AP等于(  )

A.2         
B..1        
C.        
D.
共享时间:2023-10-22 难度:1 相似度:2
236485. (2016•西安中学•高一上期末) 入射光线沿直线x﹣2y+3=0射向直线lyx,被l反射后的光线所在直线的方程是(  )
A.2x+y﹣3=0
B..2xy﹣3=0                
C.2x+y+3=0           
D..2xy+3=0
共享时间:2016-02-16 难度:1 相似度:2
270757. (2025•高新一中•高二上一月) 直线2xy+3=0关于定点M(﹣1,2)对称的直线方程是(  )
A.2x-y+1=0
B.2x-y+5=0
C.2x-y-1=0
D.2x-y-5=0
共享时间:2025-10-19 难度:1 相似度:2
171094. (2024•西安三中•高二上期中) P在直线lxy﹣1=0上运动,A(2,3),B(2,0),则|PA|﹣|PB|的最大值是(  )
A.     
B.       
C..3       
D..4
共享时间:2024-11-16 难度:2 相似度:1.5
171384. (2023•西安中学•高二上期中) 一条光线从点A(﹣2,3)射出,经x轴反射后,与圆C:(x﹣3)2+(y﹣2)2=1相切,则反射后光线所在直线的方程可能是(  )
A..3x﹣4y﹣1=0
B..3x﹣4y﹣6=0
C.4x﹣3y﹣1=0                    
D.4x﹣3y﹣6=0
共享时间:2023-11-16 难度:2 相似度:1.5
167139. (2023•西安中学•高二上二月) 已知圆Cx2+y2﹣4y+3=0,一条光线从点P(2,1)射出经x轴反射,下列结论正确的是(  )

A.C关于x轴的对称圆的方程为x2+y2+4y+3=0

B.若反射光线平分圆C的周长,则入射光线所在直线方程为3x﹣2y﹣4=0

C.若反射光线与圆C相切于A,与x轴相交于点B,则|PB|+|BA|=2   

D.Q是圆C上的任意一点,则PQ|的最大值为

共享时间:2023-12-17 难度:3 相似度:1.33

dygzsxyn

2015-02-22

高中数学 | 高一上 | 选择题

  • 下载量
  • 浏览量
  • 收益额
  • 0
  • 10
  • 0
相同试题
试题下载
试题内容
调用试题名称
共享人
唐老师
试题题型
解答题
试题难度
试题题源
2020*西工大*期末
下载次数
168次
下载金币
5德优币(当前结余18德优币)
温馨提示
该试题下载至自主题库后,下载、备课永久免费!
试卷设置
试卷名称
省市校区
阶段科目
年份卷型
选择类型
已选考点
在线训练
视频讲解
温馨提示
视频讲解正在加载中、请等待!
温馨提示
对不起!这是别人共享的试题,需要下载到自主题库后,可将该试题添加到白板
视频解析购买
支付方式
德优币数
本次消耗0德优币
温馨提示

客服电话:400-816-0029,服务邮箱:610066832@qq.com

视频资源

试题找茬
纠错类型
纠错描述
温馨提示
共享试题、试卷经平台审核通过后方可展示,并永久享用用户下载分红权!