首页 | 客服 | 上传赚现
AI助手
德优题库AI助手

AI助手

搜题▪组卷

(1)

服务热线

400-816-0029

    自建题库,共享分红

德优题库QQ交流群

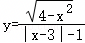
233270. (2023•西工大附中•高一下二月) 求函数的定义域为            
共享时间:2023-06-23 难度:1
[考点]
函数的定义域及其求法,
[答案]

[解析]
解:根据题意可得1﹣2sinx≥0,解得
所以
,即,解得
取交集部分可得,fx)的定义域为
故答案为:
[点评]
本题考查了"函数的定义域及其求法,",属于"常考题",熟悉题型是解题的关键。
转载声明:
本题解析属于发布者收集录入,如涉及版权请向平台申诉! !版权申诉
169826. (2023•西安中学•高一上期末) 函数fx)=lnx+的定义域是         
共享时间:2023-02-28 难度:1 相似度:2
169893. (2023•长安区一中•高一上期末) 已知函数f(2x)的定义域为,则函数fx2)的定义域为          
共享时间:2023-02-03 难度:1 相似度:2
170229. (2023•西安三中•高二下期末) 已知函数fx)的定义域为[﹣1,1],则的定义域为         
共享时间:2023-07-07 难度:1 相似度:2
171689. (2023•西安八十五中•高一上期中) 函数fx)=的定义域为         
共享时间:2023-11-22 难度:1 相似度:2
171754. (2022•师大附中•高一上期中) 函数fx)=的定义域为                      
共享时间:2022-11-26 难度:1 相似度:2
171820. (2022•西安中学•高一上期中) 函数的定义域是                
共享时间:2022-11-28 难度:1 相似度:2
172243. (2022•唐南中学•高一上期中) 已知函数yf(2x+1)的定义域为[﹣1,2],则函数fx)的定义域为         
共享时间:2022-11-10 难度:1 相似度:2
232842. (2023•滨河中学•高一上一月) 函数的定义域是       
共享时间:2023-10-18 难度:1 相似度:2
233202. (2023•长安区一中•高一下二月) 求函数的定义域为               
共享时间:2023-06-23 难度:1 相似度:2
236708. (2016•西北大附中•高二下期末) 函数y的定义域为     
共享时间:2016-07-10 难度:1 相似度:2
237786. (2017•西安一中•高一上期中) 已知函数fx)的定义域是(,8],则f(2x)的定义域是    
共享时间:2017-11-28 难度:1 相似度:2
238028. (2015•高新一中•高一上期中) 函数的定义域是          
共享时间:2015-11-24 难度:1 相似度:2
169984. (2023•西工大附中•高一上期末) 已知,则的值为   
共享时间:2023-02-20 难度:2 相似度:1.5
237844. (2017•高新一中•高一上期中) 设函数y的定义域为A,函数yln(1﹣x)的定义域为B,则A∩∁RB     
共享时间:2017-11-20 难度:2 相似度:1.5
171413. (2023•长安区一中•高一上期中) 对于函数fx),如果存在区间[mn],同时满足下列条件:①fx)在[mn]上是单调的;②当fx)的定义域是[mn]时,fx)的值域是[2m,2n],则称[mn]是该函数的“倍值区间”.若函数存在“倍值区间”,则a的取值范围是       
共享时间:2023-11-15 难度:3 相似度:1.33

dygzsxyn

2023-06-23

高中数学 | 高一下 | 填空题

  • 下载量
  • 浏览量
  • 收益额
  • 0
  • 3
  • 0
相同试题
试题下载
试题内容
调用试题名称
共享人
唐老师
试题题型
解答题
试题难度
试题题源
2020*西工大*期末
下载次数
168次
下载金币
5德优币(当前结余18德优币)
温馨提示
该试题下载至自主题库后,下载、备课永久免费!
试卷设置
试卷名称
省市校区
阶段科目
年份卷型
选择类型
已选考点
在线训练
视频讲解
温馨提示
视频讲解正在加载中、请等待!
温馨提示
对不起!这是别人共享的试题,需要下载到自主题库后,可将该试题添加到白板
视频解析购买
支付方式
德优币数
本次消耗0德优币
温馨提示

客服电话:400-816-0029,服务邮箱:610066832@qq.com

视频资源

试题找茬
纠错类型
纠错描述
温馨提示
共享试题、试卷经平台审核通过后方可展示,并永久享用用户下载分红权!