服务热线
搜题▪组卷
|
A.当λ=0时,函数f(x)有3个零点
|
B.当λ=2时,若函数g(x)有三个零点x1,x2,x3,则x1+x2+x3∈(6,6+ln2)
|
|
C..若函数f(x)恰有2个零点,则λ∈[2,4)
|
D.若存在实数m使得函数g(x)有3个零点,则λ∈(﹣∞,3]
|
,
,

A.函数f(x)的值域为[0,+∞)
C.f(12)=8
B..函数f(x)在x∈[10,16]上单调递减
D..当x∈[4,8]时,函数f(x)的最大值为4
A.函数
在定义域内是减函数
B.若g(x)是奇函数,则一定有g(0)=0
C.若定义在R上的函数f(x)的值域为[﹣1,2],则f(2x﹣1)的值域为[﹣1,2]
D.若函数
在(﹣∞,+∞)上是增函数,则a的取值范围是(﹣∞,﹣2]
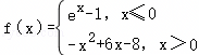
A.f[f(
)]=3
C.若f(x)=﹣1,则x=2或x=﹣3
B..f(x)<2的解集为(﹣∞,0)∪(1,+∞)
D..∀x∈R,a>f(x),则a≥3
dygzsxyn
2023-12-21
高中数学 | 高一上 | 多选题