首页 | 客服 | 上传赚现
AI助手
德优题库AI助手

AI助手

搜题▪组卷

(1)

服务热线

400-816-0029

    自建题库,共享分红

德优题库QQ交流群

232784. (2023•唐南中学•高一上二月) 已知函数fx)=lg(1+x)﹣lg(1﹣x).
(1)求函数fx)的定义域,并证明fx)是定义域上的奇函数;
(2)用定义证明fx)在定义域上是增函数;
(3)求不等式f(2x﹣5)+f(2﹣x)<0的解集.
共享时间:2023-12-18 难度:2
[考点]
对数函数的定义域,求对数函数及对数型复合函数的单调性,
[答案]
(1)定义域为(﹣1,1),证明见解析;(2)证明见解析;
(3){x|2<x<3}.
[解析]
解:(1)由得﹣1<x<1,所以函数fx)的定义域为(﹣1,1).
又因为f(﹣x)=lg(1﹣x)﹣lg(1+x)=﹣fx),
所以fx)是定义域上的奇函数.
(2)证明:设任意﹣1<x1x2<1,
因为﹣1<x1x2<1,所以0<1+x1<1+x2,0<1﹣x2<1﹣x1
于是
,所以
所以fx1)﹣fx2)<0,即fx1)<fx2),故函数fx)是(﹣1,1)上的增函数.
(3)因为fx)在(﹣1,1)上是增函数且为奇函数,
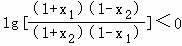
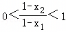
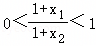
所以不等式f(2x﹣5)+f(2﹣x)<0可转化为f(2x﹣5)<﹣f(2﹣x)=fx﹣2),
,解得2<x<3,
所以不等式的解集为{x|2<x<3}.
[点评]
本题考查了"对数函数的定义域,求对数函数及对数型复合函数的单调性,",属于"易错题",熟悉题型是解题的关键。
转载声明:
本题解析属于发布者收集录入,如涉及版权请向平台申诉! !版权申诉
166917. (2023•师大附中•高一上二月) 已知函数(其中a>2),且f(1)=e+1,
(1)求ab的值;
(2)求fx)的单调区间;
(3)若正实数x1x2满足x1x2x1x2=1,求证:fx1)>fx2).
共享时间:2023-12-16 难度:1 相似度:1.5
232068. (2023•西工大附中•高一上二月) 已知函数
(1)求fx)的定义域;
(2)若函数fx)在(3m﹣2,m+2)上单调递增,求实数m的取值范围.
共享时间:2023-12-17 难度:1 相似度:1.5
169459. (2024•长安区一中•高一上期末) 已知集合A={x|x2﹣6x<﹣5},B={x|1<2x﹣2≤16},集合C为函数fx)=lg[(2ax)(xa﹣1)]的定义域,全集为实数集R.
(1)求AB,∁RA
(2)若ACC,求实数a的取值范围.
共享时间:2024-02-14 难度:3 相似度:0.83

dygzsxyn

2023-12-18

高中数学 | 高一上 | 解答题

  • 下载量
  • 浏览量
  • 收益额
  • 0
  • 3
  • 0
相同试题
试题下载
试题内容
调用试题名称
共享人
唐老师
试题题型
解答题
试题难度
试题题源
2020*西工大*期末
下载次数
168次
下载金币
5德优币(当前结余18德优币)
温馨提示
该试题下载至自主题库后,下载、备课永久免费!
试卷设置
试卷名称
省市校区
阶段科目
年份卷型
选择类型
已选考点
在线训练
视频讲解
温馨提示
视频讲解正在加载中、请等待!
温馨提示
对不起!这是别人共享的试题,需要下载到自主题库后,可将该试题添加到白板
视频解析购买
支付方式
德优币数
本次消耗0德优币
温馨提示

客服电话:400-816-0029,服务邮箱:610066832@qq.com

视频资源

试题找茬
纠错类型
纠错描述
温馨提示
共享试题、试卷经平台审核通过后方可展示,并永久享用用户下载分红权!