首页 | 客服 | 上传赚现
AI助手
德优题库AI助手

AI助手

搜题▪组卷

(1)

服务热线

400-816-0029

    自建题库,共享分红

德优题库QQ交流群

232677. (2024•西安市•高一下一月) 在△ABC中,内角ABC的对边分别为abc,且
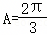
(1)求A
(2)线段BC上一点D满足ADBD=1,CD=3,求AB的长度.
共享时间:2024-04-23 难度:2
[考点]
正弦定理,解三角形,
[答案]
(1);(2)
[解析]
解:(1)由acosCcb
结合正弦定理可得sinAcosCsinC=sinB
因为A+B+C=π,
所以sinB=sin(A+C)=sinAcosC+cosAsinC
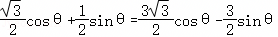
所以,即
因为sinC≠0,
所以
因为A∈(0,π),
所以
(2)由题设,令
,∠ADC=2θ,
在△ADC,即
所以

所以,即

所以
因为在△ABD中,,可得
所以可得AB=2cosθ=

[点评]
本题考查了"正弦定理,解三角形,",属于"必考题",熟悉题型是解题的关键。
转载声明:
本题解析属于发布者收集录入,如涉及版权请向平台申诉! !版权申诉
167783. (2024•西安一中•三模) 设△ABC的内角ABC所对的边分别是abc,且向量满足
(1)求A
(2)若,求BC边上的高h
共享时间:2024-04-07 难度:3 相似度:1.67
166979. (2024•西安中学•高一下一月) 在△ABC中,内角ABC所对的边分别为abc.已知bsinBasinA=(bc)sinC
(1)求A
(2)若a=4,求△ABC周长的取值范围.
共享时间:2024-04-30 难度:3 相似度:1.67
168124. (2024•西安一中•二模) 在△ABC中,AB=3AC=5BC=7
(1)求A的大小;
(2)求△ABC 外接圆的半径与内切圆的半径.
共享时间:2024-03-17 难度:3 相似度:1.67
168055. (2023•长安区一中•二模) ABC的内角ABC的对边分别为abc已知(2ac)sinA+(2ca)sinC=2bsinB
(1)求B
(2)若△ABC为锐角三角形,且b=1,求△ABC周长的取值范围.
共享时间:2023-03-28 难度:3 相似度:1.67
167760. (2024•西安一中•三模) 在△ABC中,abc分别为内角ABC所对的边,若a2=(cb2+4.
(1)求△ABC的面积;
(2)求a的最小值.
共享时间:2024-04-15 难度:3 相似度:1.67
167737. (2024•西安一中•四模) 在△ABC中,角ABC的对边分别为abc,且
(1)求角B的大小;
(2)若△ABC的面积为6,a=4,求b的长.
共享时间:2024-04-26 难度:3 相似度:1.67
167691. (2024•西安中学•五模) 在△ABC中,角ABC的对边是abc,已知b(1+cosA)=c(1﹣cos2B).
(1)证明:bc
(2)若BC边上的高AD为2,AC边上的中线BE,求△ABC的面积.
共享时间:2024-05-09 难度:3 相似度:1.67
167645. (2024•西安中学•一模) 在△ABC中,角ABC所对的边分别为abcc=6.
(1)求角C
(2)若,求△ABC的周长.
共享时间:2024-03-07 难度:3 相似度:1.67
167473. (2023•关山中学•高一上一月) 在①(sinA﹣sinC)sin(A+B)=sin2A﹣sin2B,②,③这三个条件中任选一个,补充在下面问题中,并解答问题.
已知abc是△ABC的三个内角ABC的对边,且 _____.
(1)求B
(2)若b=2,求△ABC的周长的取值范围.
共享时间:2023-10-11 难度:3 相似度:1.67
167348. (2023•长安区一中•高三上二月) 已知△ABC为锐角三角形,且cosA+sinB(sinA+cosB).
(1)若C,求A
(2)已知点D在边AC上,且ADBD=2,求CD的取值范围.
共享时间:2023-12-15 难度:3 相似度:1.67
167188. (2023•周至四中•一模) 在△ABC中,角ABC的对边长分别为abc,且
(1)求B
(2)若△ABC的面积为b=4,求△ABC的周长.
共享时间:2023-03-04 难度:3 相似度:1.67
167325. (2023•长安区一中•高三上二月) 已知△ABC为锐角三角形,且cosA+sinB(sinA+cosB).
(1)若C,求A
(2)已知点D在边AC上,且ADBD=2,求CD的取值范围.
共享时间:2023-12-21 难度:3 相似度:1.67
166660. (2024•高新一中•三模) 记△ABC的内角ABC的对边分别为abc,已知a2+b2c2+b2sin2A
(1)求tanAtanB
(2)若,△ABC的面积为3,求a
共享时间:2024-04-04 难度:3 相似度:1.67
166854. (2024•西安八十五中•高二上一月) 已知abc分别为△ABC三个内角ABC的对边,且
(1)求角B的大小;
(2)若b=3,,求△ABC的面积.
共享时间:2024-10-13 难度:3 相似度:1.67
166856. (2024•西安八十五中•高二上一月) 在△ABC中,角ABC所对的边分别为abc,且
(1)求角B的大小;
(2)若b=7,a+c=8,ac,求sin(2A+C)的值;
(3)设D是边AC上一点,BD为角平分线且AD=2DC,求cosA的值.
共享时间:2024-10-13 难度:1 相似度:1.5

dygzsxyn

2024-04-23

高中数学 | 高一下 | 解答题

  • 下载量
  • 浏览量
  • 收益额
  • 0
  • 2
  • 0
相同试题
试题下载
试题内容
调用试题名称
共享人
唐老师
试题题型
解答题
试题难度
试题题源
2020*西工大*期末
下载次数
168次
下载金币
5德优币(当前结余18德优币)
温馨提示
该试题下载至自主题库后,下载、备课永久免费!
试卷设置
试卷名称
省市校区
阶段科目
年份卷型
选择类型
已选考点
在线训练
视频讲解
温馨提示
视频讲解正在加载中、请等待!
温馨提示
对不起!这是别人共享的试题,需要下载到自主题库后,可将该试题添加到白板
视频解析购买
支付方式
德优币数
本次消耗0德优币
温馨提示

客服电话:400-816-0029,服务邮箱:610066832@qq.com

视频资源

试题找茬
纠错类型
纠错描述
温馨提示
共享试题、试卷经平台审核通过后方可展示,并永久享用用户下载分红权!