首页 | 客服 | 上传赚现
AI助手
德优题库AI助手

AI助手

搜题▪组卷

(1)

服务热线

400-816-0029

    自建题库,共享分红

德优题库QQ交流群

232550. (2024•经开一中•高二下一月) 已知函数fx)=﹣x2+axlnx﹣1.
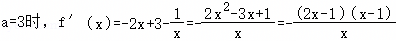
(Ⅰ)当a=3时,求函数fx)的单调区间和极值;
(Ⅱ)若函数fx)在(2,4)上单调递减,求实数a的取值范围.
共享时间:2024-04-16 难度:1
[考点]
利用导数求解函数的单调性和单调区间,
[答案]
(Ⅰ)函数fx)的单减区间是,(1,+∞),单增区间是fx)的极小值是+ln2,极大值是1.
(Ⅱ)实数a的取值范围
[解析]
解:(Ⅰ)

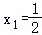
f'(x)=0,得x2=1,
xf'(x),fx)的变化如下:
x 1 (1,+∞)
f'x 0 + 0
fx 极小值 极大值
函数fx)的单减区间是,(1,+∞),单增区间是
所以当时,函数fx)取得极小值
x=1时,函数fx)取得极大值f(1)=﹣(1)2+3﹣ln1﹣1=1.
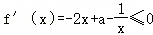
(Ⅱ)因为函数fx)在(2,4)上单调递减,
,在x∈(2,4)上恒成立,




∴实数a的取值范围
[点评]
本题考查了"利用导数求解函数的单调性和单调区间,",属于"常考题",熟悉题型是解题的关键。
转载声明:
本题解析属于发布者收集录入,如涉及版权请向平台申诉! !版权申诉
237614. (2020•西安中学•高二下期中) 设函数fx)=(x2+3x+1)ex
(1)求函数fx)的单调区间.
(2)求函数fx)的极值.
共享时间:2020-05-11 难度:1 相似度:2
231867. (2025•曲江二中•高二下一月) 已知函数fx)=3x3﹣9x+5.
(1)求函数fx)的单调区间;
(2)求函数fx)在[﹣3,3]上的最大值和最小值.
共享时间:2025-04-15 难度:1 相似度:2
231244. (2016•西工大附中•九模) 已知函数fx)的导函数f′(x)=x2+2ax+bab≠0),且f(0)=0.设曲线yfx)在原点处的切线l1的斜率为k1,过原点的另一条切线l2的斜率为k2
(1)若k1k2=4:5,求函数fx)的单调区间;
(2)若k2tk1时,函数fx)无极值,且存在实数t使fb)<f(1﹣2t)成立,求实数a的取值范围.
共享时间:2016-06-18 难度:1 相似度:2
230935. (2017•西工大附中•八模) 已知函数fx)=etx﹣1)﹣tlnx(常数t>0).
(Ⅰ)求函数fx)的单调区间;
(Ⅱ)若曲线yfx)与直线ytx相切,证明:t<2.
共享时间:2017-06-15 难度:1 相似度:2
172313. (2022•师大附中•高二下期中) 已知函数fx)=x2﹣2x+alnxa∈R).
(1)当a=﹣4时,求函数fx)的单调区间;
(2)若函数fx)有两个极值点x1x2x1x2),不等式fx1)≥mx2恒成立,求实数m的取值范围.
共享时间:2022-05-16 难度:1 相似度:2
232111. (2024•西工大附中•高二下一月) 已知函数
(1)求函数fx)的单调区间;
(2)若存在成立,求整数a的最小值.
共享时间:2024-04-28 难度:1 相似度:2
170299. (2022•西安中学•高二上期末) 设函数
(Ⅰ)求函数fx)的单调区间;
(Ⅱ)求函数fx)的极值.
共享时间:2022-02-23 难度:1 相似度:2
236196. (2018•西安中学•高二下期末) 已知函数fx)=x3+ax2+bx+cx=﹣x=1时都取得极值.
(1)求ab的值;
(2)求函数fx)的单调区间.
共享时间:2018-07-08 难度:1 相似度:2
236218. (2017•西安中学•高二上期末) 已知函数fx)=x3+ax2+bx+cx=﹣x=1时都取得极值.
(1)求ab的值;
(2)求函数fx)的单调区间.
共享时间:2017-02-08 难度:1 相似度:2
169103. (2020•西工大附中•三模) 已知函数fx)=(x﹣2)exax+alnxa∈R).
(1)当a=﹣1时,求函数fx)的单调区间;
(2)讨论fx)的零点个数.
共享时间:2020-04-14 难度:1 相似度:2
169059. (2020•西工大附中•一模) 已知函数fx)=lnxmx2gx)=mx2+xm∈R),令Fx)=fx)+gx).
(1)当m时,求函数fx)的单调递增区间;
(2)若关于x的不等式Fx)≤mx﹣1恒成立,求整数m的最小值.
共享时间:2020-03-01 难度:1 相似度:2
168989. (2020•西安中学•一模) a>0,函数fx)=x2﹣2ax﹣2alnx
(1)当a=1时,求函数fx)的单调区间;
(2)若函数yfx)在区间(0,+∞)上有唯一零点,试求a的值.
共享时间:2020-03-02 难度:1 相似度:2
168943. (2021•高陵一中•二模) 已知函数fx)=exax+sinx﹣1.
(Ⅰ)当a=2时,求函数fx)的单调区间;
(Ⅱ)当1≤a<2时,证明:函数fx)有2个零点.
共享时间:2021-03-30 难度:1 相似度:2
168805. (2021•西工大附中•十三模) 已知函数fx)=lnxx2+x
(1)求函数fx)的单调区间;
(2)证明当a≥2时,关于x的不等式恒成立;
(3)若正实数x1x2满足,证明
共享时间:2021-07-22 难度:1 相似度:2
168644. (2021•西安中学•二模) 已知函数fx)=exax+sinx﹣1.
(Ⅰ)当a=2时,求函数fx)的单调区间;
(Ⅱ)当1≤a<2时,证明:函数fx)有2个零点.
共享时间:2021-03-26 难度:1 相似度:2

dygzsxyn

2024-04-16

高中数学 | 高二下 | 解答题

  • 下载量
  • 浏览量
  • 收益额
  • 0
  • 3
  • 0
相同试题
试题下载
试题内容
调用试题名称
共享人
唐老师
试题题型
解答题
试题难度
试题题源
2020*西工大*期末
下载次数
168次
下载金币
5德优币(当前结余18德优币)
温馨提示
该试题下载至自主题库后,下载、备课永久免费!
试卷设置
试卷名称
省市校区
阶段科目
年份卷型
选择类型
已选考点
在线训练
视频讲解
温馨提示
视频讲解正在加载中、请等待!
温馨提示
对不起!这是别人共享的试题,需要下载到自主题库后,可将该试题添加到白板
视频解析购买
支付方式
德优币数
本次消耗0德优币
温馨提示

客服电话:400-816-0029,服务邮箱:610066832@qq.com

视频资源

试题找茬
纠错类型
纠错描述
温馨提示
共享试题、试卷经平台审核通过后方可展示,并永久享用用户下载分红权!