首页 | 客服 | 上传赚现
AI助手
德优题库AI助手

AI助手

搜题▪组卷

(1)

服务热线

400-816-0029

    自建题库,共享分红

德优题库QQ交流群

232407. (2023•滨河中学•高二上二月) 如图,在一个单位正方形中,首先将它等分成4个边长为的小正方形,保留一组不相邻的2个小正方形,记这2个小正方形的面积之和为S1;然后将剩余的2个小正方形分别继续四等分,各自保留一组不相邻的2个小正方形,记这4个小正方形的面积之和为S2.以此类推,操作n次,若,则n的最小值是(  )

A.9
B..10                
C..11
D..12
共享时间:2023-12-19 难度:2
[考点]
数列的求和,归纳推理,
[答案]
C
[解析]
解:由题意可知操作1次时有21=2个边长为的小正方形,即
操作2次时有22=4个边长为的小正方形,即
操作3次时有23=8个边长为的小正方形,即
以此类推可知操作n次时有2n个边长为的小正方形,即
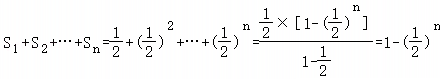
由等比数列前n项和公式有
从而问题转换成了求不等式的最小正整数解,
将不等式变形为,注意到,且函数在R上单调递减,
所以n的最小值是11.
故选:C
[点评]
本题考查了"数列的求和,归纳推理,",属于"易错题",熟悉题型是解题的关键。
转载声明:
本题解析属于发布者收集录入,如涉及版权请向平台申诉! !版权申诉
231762. (2025•师大附中•高二下二月) 数学中有各式各样富含诗意的曲线,螺旋线就是其中比较特别的一类.螺旋线这个名词源于希腊文,它的原意是“旋卷”或“缠卷”.小明对螺旋线有着浓厚的兴趣,连接嵌套的各个正方形的顶点就得到了近似于螺旋线的美丽图案,其具体作法是:在边长为1的正方形ABCD中,作它的内接正方形EFGH,且使得;再作正方形EFGH的内接正方形MNPQ,且使得;与之类似,依次进行,就形成了阴影部分的图案,如图所示.设第n个正方形的边长为an(其中第1个正方形ABCD的边长为a1AB,第2个正方形EFGH的边长为a2EF,…),第n个直角三角形(阴影部分)的面积为Sn(其中第1个直角三角形AEH的面积为S1,第2个直角三角形EQM的面积为S2,…),则(  )

A.数列{an}是公比为的等比数列 

B.  

C.数列{Sn}是公比为的等比数列 

D.数列{Sn}的前n项和

共享时间:2025-06-30 难度:3 相似度:1.67
166438. (2024•西工大附中•高三上二月) 已知正项等比数列{an}的前n项和为Sn,且满足,设,将数列{bn}中的整数项组成新的数列{cn},则c2024=(  )
A.2022      
B.2023      
C.4048      
D.4046
共享时间:2024-12-24 难度:1 相似度:1.5
168810. (2021•西工大附中•十二模) 等比数列{an}的各项均为正数,且a1a5=4,则log2a1+log2a2+log2a3+log2a4+log2a5=(  )
A.4         
B..5        
C..10      
D.20
共享时间:2021-07-26 难度:1 相似度:1.5
230855. (2017•师大附中•七模) 已知数列{an}、{bn}满足bn=log2ann∈N*,其中{bn}是等差数列,且a9a2008,则b1+b2+b3+…+b2016=(  )
A.﹣2016    
B.2016      
C.log22016  
D.1008
共享时间:2017-06-02 难度:1 相似度:1.5
230878. (2017•师大附中•七模) (5分)已知数列{an}、{bn}满足bn=log2ann∈N*,其中{bn}是等差数列,且a9a2008,则b1+b2+b3+…+b2016=(  )
A.﹣2016    
B..2016     
C..log22016
D..1008
共享时间:2017-06-04 难度:1 相似度:1.5
169660. (2024•西电附中•高二上期末) 已知数列{an}的前n项和为Sn,若,则S5=(  )
A..1       
B.       
C.      
D.
共享时间:2024-02-14 难度:1 相似度:1.5
169535. (2024•铁一中学•高二上期末) 数列{an}满足,则它的前20项和S20等于(  )
A.﹣10      
B.﹣20       
C.10        
D..20
共享时间:2024-02-22 难度:1 相似度:1.5
170134. (2023•铁一中学•高二下期末) 已知数列{an}的通项公式为,那么当数列的前n项和取得最大值时,n的值为(  )
A..30      
B.31        
C.32        
D..33
共享时间:2023-07-12 难度:1 相似度:1.5
171489. (2023•铁一中学•高二上期中) 宋代制酒业很发达,为了存储方便,酒缸是要一层一层堆起来的,形成堆垛,用简便的方法算出堆垛中酒缸的总数,古代称之为堆垛术.有这么一道关于“堆垛”求和的问题:将半径相等的圆球堆成一个三角垛,底层是每边为n个圆球的三角形,向上逐层每边减少一个圆球,顶层为一个圆球,记自上而下第n层的圆球总数为an,容易发现:a1=1,a2=3,a3=6,则a10a5=(  )

A..45      
B.40        
C.35        
D.30
共享时间:2023-11-20 难度:1 相似度:1.5
168911. (2021•高陵一中•二模) 将正整数排成如图所示的数阵,其中第i行有2i﹣1个数.如果2021是表中第m行的第n个数,则(  )

A.m+n=1009 
B.m+n=1010  
C.m+n<1009  
D.m+n>1010
共享时间:2021-03-23 难度:1 相似度:1.5
168612. (2021•西安中学•二模) 将正整数排成如图所示的数阵,其中第i行有2i﹣1个数.如果2021是表中第m行的第n个数,则(  )

A.m+n=1009 
B.m+n=1010
C.m+n<1009
D.m+n>1010
共享时间:2021-03-17 难度:1 相似度:1.5
168788. (2021•西工大附中•十三模) 魏晋时期,我国古代数学学家刘徽在《九章算术注》中提出了割圆术:“割之弥细,所失弥少,割之又割,以至于不可割,则与圆合体,而无所失矣“.割圆术可以视为将一个圆内接正n边形等分成n个等腰三角形(如图所示),当n变得很大时,等腰三角形的面积之和近似等于圆的面积,运用割圆术的思想,可得到sin3°的近似值为(  )

A.       
B.        
C.       
D.
共享时间:2021-07-22 难度:1 相似度:1.5
171769. (2022•师大附中•高三上期中) 侏罗纪蜘蛛网是一种非常有规律的蜘蛛网,如图是由无数个正方形环绕而成的,且每一个正方形的四个顶点都恰好在它的外边最近一个正方形四条边的三等分点上,设外围第1个正方形的边长是m,侏罗纪蜘蛛网的长度(蜘蛛网中正方形的周长之和)为Sn,则(  )

A.Sn无限大                     

C.Sn<3(3+m

B.Sn=3(3+m             

D.Sn可以取100m

共享时间:2022-11-13 难度:1 相似度:1.5
168537. (2021•西安中学•六模) 已知数列{an}的前n项和Sn=2n﹣1,则数列{log2an}的前10项和等于(  )
A.1023      
B.55        
C..45      
D..35
共享时间:2021-05-15 难度:1 相似度:1.5
166614. (2024•高新一中•二模) 已知数列{an}满足a1=3,an+1an=2,,若数列{bn}的前n项和为Tn,不等式Tn恒成立,则λ的取值范围为(  )
A. 
B. 
C. 
D.
共享时间:2024-03-18 难度:1 相似度:1.5

dygzsxyn

2023-12-19

高中数学 | 高二上 | 选择题

  • 下载量
  • 浏览量
  • 收益额
  • 0
  • 3
  • 0
相同试题
试题下载
试题内容
调用试题名称
共享人
唐老师
试题题型
解答题
试题难度
试题题源
2020*西工大*期末
下载次数
168次
下载金币
5德优币(当前结余18德优币)
温馨提示
该试题下载至自主题库后,下载、备课永久免费!
试卷设置
试卷名称
省市校区
阶段科目
年份卷型
选择类型
已选考点
在线训练
视频讲解
温馨提示
视频讲解正在加载中、请等待!
温馨提示
对不起!这是别人共享的试题,需要下载到自主题库后,可将该试题添加到白板
视频解析购买
支付方式
德优币数
本次消耗0德优币
温馨提示

客服电话:400-816-0029,服务邮箱:610066832@qq.com

视频资源

试题找茬
纠错类型
纠错描述
温馨提示
共享试题、试卷经平台审核通过后方可展示,并永久享用用户下载分红权!