首页 | 客服 | 上传赚现
AI助手
德优题库AI助手

AI助手

搜题▪组卷

(1)

服务热线

400-816-0029

    自建题库,共享分红

德优题库QQ交流群

231948. (2025•西安八十三中•高二下一月) 已知函数在定义域上单调递增,则实数a的取值范围为(  )
A.(﹣∞,﹣2)
B..(﹣∞,﹣2]
C.(﹣2,+∞)                    
D.[﹣2,+∞)
共享时间:2025-04-16 难度:1
[考点]
利用导数求解函数的单调性和单调区间,
[答案]
D
[解析]
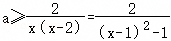
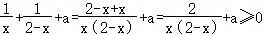
解:由题意可得>0,解得0<x<2,
所以fx)的定义域是(0,2),
依题意可知在区间(0,2)上恒成立,
在区间(0,2)上恒成立,
在区间(0,2)上恒成立,
由于﹣1<x﹣1<1,0≤(x﹣1)2<1,﹣1≤(x﹣1)2﹣1<0,
所以的最大值为﹣2.
所以a≥﹣2.
故选:D
[点评]
本题考查了"利用导数求解函数的单调性和单调区间,",属于"基础题",熟悉题型是解题的关键。
转载声明:
本题解析属于发布者收集录入,如涉及版权请向平台申诉! !版权申诉
考点说明
灰色代表去掉的考点,绿色代表未变动的考点,红色代表新增的考点
231857. (2025•曲江二中•高二下一月) 函数yx2lnx的单调递减区间为(  )
A.(﹣1,1
B.[1,+∞)      
C..(0,+∞) 
D.(0,1]
共享时间:2025-04-15 难度:1 相似度:2
171038. (2025•高新一中•高二下期中) ablnc=sin,则(  )
A.cab 
B.abc    
C.cba 
D.bac
共享时间:2025-04-30 难度:1 相似度:2
273001. (2022•庆安中学(高)•高二下一月) 函数的单调递减区间为(  )
A.         
B.   
C.    
D.
共享时间:2022-04-26 难度:1 相似度:2
232534. (2024•经开一中•高二下一月) 已知函数fx)=xlnx,则fx)的单调递减区间为(  )
A.
B.
C.(0,+∞)  
D.
共享时间:2024-04-16 难度:1 相似度:2
231952. (2025•西安八十三中•高二下一月) 已知函数fx)=ex+xgx)=lnx+x,若fx1)=gx2),则x1x2的最小值为(  )
A.e       
B.     
C.﹣1       
D.
共享时间:2025-04-16 难度:1 相似度:2
171173. (2024•西安八十三中•高三上期中) 已知正实数ab满足,则下列结论正确的是(  )
A.ab                         
B.ab   
C.lnalnb                     
D.
共享时间:2024-11-28 难度:1 相似度:2
171170. (2024•西安八十三中•高三上期中) 已知2024m=2025,2023mx+2024,2025my+2026,则(  )
A..0<xy 
B.xy<0  
C.yx<0 
D.x<0<y
共享时间:2024-11-28 难度:1 相似度:2
171019. (2025•高新一中•高二下期中) ,则(  )
A.cba
B.abc        
C.cab 
D.bca
共享时间:2025-04-23 难度:1 相似度:2
170582. (2021•西安中学•高二上期末) 函数fx)=x2lnx的单调递减区间为(  )
A.(﹣1,1)
B.(﹣∞,1)    
C..(1,+∞) 
D.(0,1)
共享时间:2021-02-14 难度:1 相似度:2
169354. (2024•师大附中•高二上期末) 已知函数fx)=xlnx,则fx)的单调递减区间为(  )
A.
B.  
C.(0,+∞) 
D.
共享时间:2024-02-14 难度:1 相似度:2
169298. (2025•铁一中学•高二上期末) 数学家欧拉研究调和级数得到了以下的结果:当x较大时,x∈N*,常数γ=0.557…).利用以上公式,可以估算的值为(  )
A.ln50      
B.ln5      
C.ln5     
D.ln50
共享时间:2025-02-12 难度:1 相似度:2
167503. (2023•关山中学•高三上一月) 函数ylnx的单调递减区间为(  )
A.(﹣1,1)
B..(1,+∞)
C.(0,1)       
D.(0,+∞)
共享时间:2023-10-20 难度:1 相似度:2
166885. (2024•高新一中•五模) 已知函数fx)=ex+xgx)=lnx+x,若fx1)=gx2),则x1x2的最小值为(  )
A.e       
B.       
C.﹣1       
D.
共享时间:2024-05-13 难度:1 相似度:2
166634. (2024•高新一中•高三上五月) 已知函数fx)=ex+xgx)=lnx+x,若fx1)=gx2),则x1x2的最小值为(  )
A..﹣e     
B.       
C.﹣1       
D.
共享时间:2024-12-26 难度:1 相似度:2
271234. (2025•师大附中•高二下二月) 已知fx)=x2﹣2x﹣3,gx)=f(5﹣x2),那么(  )

A.gx)在区间(﹣∞,﹣2)上单调递减

B.gx)在区间(﹣2,0)上单调递减

C.x=0是gx)的极小值点 

D.x=2是gx)的极大值点

共享时间:2025-06-14 难度:2 相似度:1.5

dygzsxyn

2025-04-16

高中数学 | 高二下 | 选择题

  • 下载量
  • 浏览量
  • 收益额
  • 0
  • 8
  • 0
相同试题
试题下载
试题内容
调用试题名称
共享人
唐老师
试题题型
解答题
试题难度
试题题源
2020*西工大*期末
下载次数
168次
下载金币
5德优币(当前结余18德优币)
温馨提示
该试题下载至自主题库后,下载、备课永久免费!
试卷设置
试卷名称
省市校区
阶段科目
年份卷型
选择类型
已选考点
在线训练
视频讲解
温馨提示
视频讲解正在加载中、请等待!
温馨提示
对不起!这是别人共享的试题,需要下载到自主题库后,可将该试题添加到白板
视频解析购买
支付方式
德优币数
本次消耗0德优币
温馨提示

客服电话:400-816-0029,服务邮箱:610066832@qq.com

视频资源

试题找茬
纠错类型
纠错描述
温馨提示
共享试题、试卷经平台审核通过后方可展示,并永久享用用户下载分红权!