首页 | 客服 | 上传赚现
AI助手
德优题库AI助手

AI助手

搜题▪组卷

(1)

服务热线

400-816-0029

    自建题库,共享分红

德优题库QQ交流群

231166. (2016•西工大附中•二模) 在△ABC中,角ABC所对边的长分别为abc,已知bc,sinA+sinC=2sinB,则cosA             
共享时间:2016-03-22 难度:2
[考点]
正弦定理,余弦定理,
[答案]
见试题解答内容
[解析]
解:把sinA+sinC=2sinB,利用正弦定理化简得:a+c=2b
bc代入得:a+c=2c,即ac
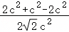
∴cosA
故答案为:
[点评]
本题考查了"正弦定理,余弦定理,",属于"易错题",熟悉题型是解题的关键。
转载声明:
本题解析属于发布者收集录入,如涉及版权请向平台申诉! !版权申诉
231979. (2024•师大附中•高一下二月) 已知a、b、c分别是△ABC内角A、B、C的对边,满足cosAsinBsinC+cosBsinAsinC=2cosCsinAsinB,则C的最大值为       
共享时间:2024-06-19 难度:2 相似度:2
171887. (2023•长安区一中•高一下期中) 在锐角△ABC中,角ABC所对边分别为abc,若,且满足+sin2C,则a+c的取值范围为          
共享时间:2023-05-15 难度:2 相似度:2
166852. (2024•西安八十五中•高二上一月) 已知△ABC中,角ABC所对的边分别为abc.若,则cosC       
共享时间:2024-10-13 难度:2 相似度:2
231921. (2025•高新二中•高二下一月) 已知△ABC的面积为2AB=2,∠B,则             
共享时间:2025-04-16 难度:2 相似度:2
231651. (2015•西工大附中•二模) ABC中,abc分别是角ABC的对边,若a2c2=2b,且sinB=6cosA•sinC,则b的值为     
共享时间:2015-03-25 难度:2 相似度:2
230884. (2017•师大附中•七模) 在△ABC中,abc分别为角ABC的对边,且满足4cos2﹣cos2(B+C)=,若a=2,则△ABC的面积的最大值是            
共享时间:2017-06-04 难度:2 相似度:2
170008. (2023•西工大附中•高三上期末) abc为△ABC的三边,且acb成等差数列,则cosC的最小值是          
共享时间:2023-02-15 难度:2 相似度:2
231188. (2016•西工大附中•二模) 在△ABC中,角ABC所对边的长分别为abc,已知bc,sinA+sinC=2sinB,则cosA                     
共享时间:2016-03-22 难度:2 相似度:2
169941. (2023•长安区一中•高二上期末) 已知△ABC的三个内角ABC的对边分别为abca=6,且(6+b)(sinA﹣sinB)=(cb)sinC,则△ABC面积的取值范围为       
共享时间:2023-02-10 难度:2 相似度:2
231095. (2016•西安一中•一模) 在△ABC中,角ABC的对边分别为abc,若2ccosB=2a+b,△ABC的面积为Sc,则ab的最小值为        
共享时间:2016-03-14 难度:2 相似度:2
172003. (2023•西工大附中•高一下期中) 在△ABC中,已知角ABC所对的边分别为abc,若9b2+6bccosA=11c2,则角B的最大值为                
共享时间:2023-05-10 难度:3 相似度:1.67
170526. (2022•高新三中•高一下期中) 已知△ABC中,sin2A﹣sin2B﹣sin2C=sinBsinC,若BC=3,则△ABC周长的最大值为        
共享时间:2022-05-23 难度:3 相似度:1.67
230861. (2017•师大附中•七模) 已知abc分别为△ABC的三个内角ABC的对边,a=2且(2+b)(sinA﹣sinB)=(cb)sinC,则△ABC面积的最大值为        
共享时间:2017-06-02 难度:3 相似度:1.67
169966. (2023•长安区一中•高二上期末) 已知abc分别为△ABC三个内角ABC的对边,a=1,且(b+1)(sinA﹣sinB)=(cb)sinC,则△ABC面积的最大值为     
共享时间:2023-02-13 难度:3 相似度:1.67
172045. (2023•铁一中学•高一下期中) 在锐角三角形ABC中,内角ABC所对的边abc满足a2b2bc,若cos(CB)+λcosA存在最大值,则实数λ的取值范围是            
共享时间:2023-05-21 难度:3 相似度:1.67

dygzsxyn

2016-03-22

高中数学 | | 填空题

  • 下载量
  • 浏览量
  • 收益额
  • 0
  • 3
  • 0
相同试题
试题下载
试题内容
调用试题名称
共享人
唐老师
试题题型
解答题
试题难度
试题题源
2020*西工大*期末
下载次数
168次
下载金币
5德优币(当前结余18德优币)
温馨提示
该试题下载至自主题库后,下载、备课永久免费!
试卷设置
试卷名称
省市校区
阶段科目
年份卷型
选择类型
已选考点
在线训练
视频讲解
温馨提示
视频讲解正在加载中、请等待!
温馨提示
对不起!这是别人共享的试题,需要下载到自主题库后,可将该试题添加到白板
视频解析购买
支付方式
德优币数
本次消耗0德优币
温馨提示

客服电话:400-816-0029,服务邮箱:610066832@qq.com

视频资源

试题找茬
纠错类型
纠错描述
温馨提示
共享试题、试卷经平台审核通过后方可展示,并永久享用用户下载分红权!