首页 | 客服 | 上传赚现
AI助手
德优题库AI助手

AI助手

搜题▪组卷

(1)

服务热线

400-816-0029

    自建题库,共享分红

德优题库QQ交流群

230934. (2017•西工大附中•八模) 已知椭圆C1ab>0)的短轴长为2,以M为中点的弦AB经过左焦点F1(﹣1,0),其中点M不与坐标原点O重合,射线OM与以O圆心的圆交于点P
(Ⅰ)求椭圆C1的方程;
(Ⅱ)若四边形OAPB是矩形,求圆O的半径;
(Ⅲ)若圆O的半径为2,求四边形OAPB面积的最小值.
共享时间:2017-06-15 难度:2
[考点]
椭圆的标准方程,直线与椭圆的综合,
[答案]
(Ⅰ)
(Ⅱ)
(Ⅲ)
[解析]
解:(Ⅰ)由题意可知,c=1,2b=2,
b=1,a2b2+c2=2,
所以椭圆C1的方程为
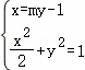
(Ⅱ)由题意可知,直线AB不与y轴垂直,且经过点F1(﹣1,0),
所以可设直线AB的方程为xmy﹣1.
得(m2+2)y2﹣2my﹣1=0.
易知判别式Δ>0,设Ax1y1),Bx2y2),

所以
所以AB的中点M
因为四边形OAPB是矩形,所以OAOB,且|OP|=2|OM|,
,即x1x2+y1y2=0,②
又因为x1my1﹣1,x2my2﹣1,③
由①②③解得,所以点
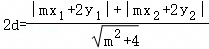
所以圆O的半径
(Ⅲ)当圆O的半径为2时,由(Ⅱ)可知AB的中点M
所以直线OP的斜率为,所以直线OP的方程为mx+2y=0.
设点A到直线OP的距离为d,因为点M是弦AB的中点,
所以点B到直线OP的距离也为d

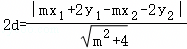
因为点AB位于直线OP的异侧,所以(mx1+2y1)(mx2+2y2)<0.
所以
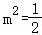
又因为
所以
所以四边形OAPB面积
可知当m=0时,
即四边形OAPB面积的最小值为
[点评]
本题考查了"椭圆的标准方程,直线与椭圆的综合,",属于"易错题",熟悉题型是解题的关键。
转载声明:
本题解析属于发布者收集录入,如涉及版权请向平台申诉! !版权申诉
167967. (2023•师大附中•十一模) 已知椭圆的左、右顶点分别为点AB,且|AB|=4,椭圆C离心率为
(Ⅰ)求椭圆C的方程;
(Ⅱ)过椭圆C的右焦点,且斜率不为0的直线l交椭圆CMN两点,直线AMBN的交于点Q,求证:点Q在直线x=4上.
共享时间:2023-07-18 难度:2 相似度:2
167989. (2023•师大附中•十一模) 已知椭圆的左、右顶点分别为点AB,且|AB|=4,椭圆C离心率为
(Ⅰ)求椭圆C的方程;
(Ⅱ)过椭圆C的右焦点,且斜率不为0的直线l交椭圆CMN两点,直线AMBN的交于点Q,求证:点Q在直线x=4上.
共享时间:2023-07-16 难度:2 相似度:2
168965. (2021•交大附中•四模) 已知椭圆C+=1(ab>0)的离心率为,点A(1,)在椭圆C上,直线l1过椭圆C的右焦点与上顶点,动直线l2ykx与椭圆C交于MN两点,交l1P点.
(1)求椭圆C的方程;
(2)已知O为坐标原点,若点P满足|OP|=|MN|,求此时|MN|的长度.
共享时间:2021-04-20 难度:2 相似度:2
168988. (2020•西安中学•一模) 如图,已知圆Ex2+(y﹣1)2=4经过椭圆ab>0)的左、右焦点F1F2,与椭圆C在第一象限的交点为A,且F1EA三点共线.
(1)求椭圆C的方程;
(2)设与直线OAO为原点)平行的直线交椭圆CMN两点,当△AMN的面积取最大值时,求直线l的方程.

共享时间:2020-03-02 难度:2 相似度:2
167693. (2024•西安中学•五模) 已知椭圆的左右焦点分别为F1F2,过F1的动直线lC交于PQ两点,当lx轴时,|PQ|=1且直线PF2与直线QF2的斜率之积为
(1)求椭圆C方程;
(2)若△PQF2的内切圆半径为,求直线l的方程.
共享时间:2024-05-09 难度:2 相似度:2
168230. (2021•西安中学•四模) .如图所示,在平面直角坐标系xOy中,已知椭圆Eab>0)的离心率为A为椭圆E上位于第一象限上的点,B为椭圆E的上顶点,直线ABx轴相交于点C,|AB|=|AO|,△BOC的面积为
(1)求椭圆E的标准方程;
(2)设直线l过椭圆E的右焦点,且与椭圆E相交于MN两点(MN在直线OA的同侧),若∠CAM=∠OAN,求直线l的方程.

共享时间:2021-04-28 难度:2 相似度:2
166959. (2023•师大附中•高二上一月) 已知椭圆的离心率为,焦距为2.
(1)求Ω的标准方程.
(2)过Ω的右焦点F作相互垂直的两条直线l1l2(均不垂直于x轴),l1交Ω于AB两点,l2交Ω于CD两点.设线段ABCD的中点分别为MN,证明:直线MN过定点.
共享时间:2023-10-18 难度:2 相似度:2
167191. (2023•周至四中•一模) 已知椭圆C+=1(ab>0)的左顶点为A,右焦点为F(2,0),过点A作倾斜角为的直线与椭圆C相交于AB两点,且ABOBO为坐标原点.
(Ⅰ)求椭圆C的方程;
(Ⅱ)过点F作与直线AB平行的直线ll与椭圆C相交于PQ两点,直线OPOQ的斜率分别为kOPkOQ,求kOPkOQ
共享时间:2023-03-04 难度:2 相似度:2
167878. (2024•西工大附中•模拟) 已知椭圆的上顶点为是椭圆E上的一点,以PQ为直径的圆经过椭圆E的右焦点F
(Ⅰ)求椭圆E的方程;
(Ⅱ)过椭圆E的右焦点F且与坐标轴不垂直的直线l与椭圆E交于AB两点,在直线x=2上是否存在一点D,使得△ABD为等边三角形?若存在,求出等边三角形ABD的面积;若不存在,请说明理由.
共享时间:2024-03-05 难度:3 相似度:1.67
168035. (2023•西安中学•七模) 在平面直角坐标系xOy中,已知椭圆C1与椭圆C2x2+=1,且椭圆C2过椭圆C1的焦点.过点的直线l与椭圆C1交于AB两点,与椭圆C2交于CD两点.
(1)求椭圆C1的标准方程;
(2)若存在直线l,使得ABCD,求t的取值范围.
共享时间:2023-06-04 难度:3 相似度:1.67
167763. (2024•西安一中•三模) 已知椭圆经过点(0,2),
(1)求椭圆C的方程;
(2)若直线lyx﹣2交椭圆CAB两点,O是坐标原点,求△AOB的面积S
共享时间:2024-04-15 难度:3 相似度:1.67
167625. (2024•师大附中•十模) 已知椭圆:的离心率为,其左右焦点分别为F1F2,下顶点为A,右顶点为B,△ABF1的面积为
(1)求椭圆C的方程;
(2)设不过原点O的直线交CMN两点,且直线OMMNON的斜率依次成等比数列,求△MON面积的取值范围.
共享时间:2024-07-09 难度:3 相似度:1.67
167809. (2024•西安一中•二模) 已知椭圆C)的左、右焦点分别为F1F2,离心率为P为椭圆C上的一个动点.△PF1F2面积的最大值为2.
(1)求椭圆C的标准方程.
(2)设斜率存在的直线PF2C的另一个交点为Q,是否存在点Tt,0),使得|TP|=|TQ|.若存在,求出t的取值范围;若不存在,请说明理由.
共享时间:2024-03-29 难度:3 相似度:1.67
166957. (2023•师大附中•高二上一月) 已知椭圆C=1(ab>0)的一个焦点为F(2,0),且离心率为
(1)求椭圆C的方程;
(2)不过原点O的直线lyx+m与椭圆C交于AB两点,求△ABO面积的最大值及此时直线l的方程.
共享时间:2023-10-18 难度:3 相似度:1.67
168390. (2023•交大附中•十三模) 已知椭圆的上、下焦点分别为F1F2,离心率为,过点F1作直线l(与y轴不重合)交椭圆CMN两点,△MNF2的周长为12.
(1)求椭圆C的标准方程;
(2)若点A是椭圆C的上顶点,设直线lAMAN的斜率分别为kk1k2,当k≠0时,求证:为定值.
共享时间:2023-07-21 难度:3 相似度:1.67

dygzsxyn

2017-06-15

高中数学 | | 解答题

  • 下载量
  • 浏览量
  • 收益额
  • 0
  • 4
  • 0
相同试题
试题下载
试题内容
调用试题名称
共享人
唐老师
试题题型
解答题
试题难度
试题题源
2020*西工大*期末
下载次数
168次
下载金币
5德优币(当前结余18德优币)
温馨提示
该试题下载至自主题库后,下载、备课永久免费!
试卷设置
试卷名称
省市校区
阶段科目
年份卷型
选择类型
已选考点
在线训练
视频讲解
温馨提示
视频讲解正在加载中、请等待!
温馨提示
对不起!这是别人共享的试题,需要下载到自主题库后,可将该试题添加到白板
视频解析购买
支付方式
德优币数
本次消耗0德优币
温馨提示

客服电话:400-816-0029,服务邮箱:610066832@qq.com

视频资源

试题找茬
纠错类型
纠错描述
温馨提示
共享试题、试卷经平台审核通过后方可展示,并永久享用用户下载分红权!