首页 | 客服 | 上传赚现
AI助手
德优题库AI助手

AI助手

搜题▪组卷

(1)

服务热线

400-816-0029

    自建题库,共享分红

德优题库QQ交流群

168035. (2023•西安中学•七模) 在平面直角坐标系xOy中,已知椭圆C1与椭圆C2x2+=1,且椭圆C2过椭圆C1的焦点.过点的直线l与椭圆C1交于AB两点,与椭圆C2交于CD两点.
(1)求椭圆C1的标准方程;
(2)若存在直线l,使得ABCD,求t的取值范围.
共享时间:2023-06-04 难度:3
[考点]
椭圆的标准方程,椭圆的几何特征,直线与椭圆的综合,
[答案]
(1)
(2)
[解析]
解:(1)因为椭圆C2过点(±1,0),所以a2﹣2=1,
所以a2=3,即椭圆C1的标准方程为
(2)易知直线l的斜率存在,设lykx+tAx1y1),Bx2y2),Cx3y3),Dx4y4),
联立直线l与椭圆C1,消去y,整理得(3k2+2)x2+6ktx+3t2﹣6=0,
,Δ=(6kt2﹣4(3k2+2)(3t2﹣6)>0,即3k2﹣2t2+2>0,
联立直线l与椭圆C2,消去y,整理得(k2+2)x2+2ktx+t2﹣2=0,
,Δ=(2kt2﹣4(k2+2)(t2﹣2)>0,即k2t2+2>0,
所以

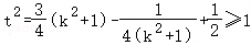
因为,所以
,平方整理得
因为k2+1≥1,所以,即t的取值范围为

[点评]
本题考查了"椭圆的标准方程,椭圆的几何特征,直线与椭圆的综合,",属于"难典题",熟悉题型是解题的关键。
转载声明:
本题解析属于发布者收集录入,如涉及版权请向平台申诉! !版权申诉
167625. (2024•师大附中•十模) 已知椭圆:的离心率为,其左右焦点分别为F1F2,下顶点为A,右顶点为B,△ABF1的面积为
(1)求椭圆C的方程;
(2)设不过原点O的直线交CMN两点,且直线OMMNON的斜率依次成等比数列,求△MON面积的取值范围.
共享时间:2024-07-09 难度:3 相似度:2
167763. (2024•西安一中•三模) 已知椭圆经过点(0,2),
(1)求椭圆C的方程;
(2)若直线lyx﹣2交椭圆CAB两点,O是坐标原点,求△AOB的面积S
共享时间:2024-04-15 难度:3 相似度:2
167809. (2024•西安一中•二模) 已知椭圆C)的左、右焦点分别为F1F2,离心率为P为椭圆C上的一个动点.△PF1F2面积的最大值为2.
(1)求椭圆C的标准方程.
(2)设斜率存在的直线PF2C的另一个交点为Q,是否存在点Tt,0),使得|TP|=|TQ|.若存在,求出t的取值范围;若不存在,请说明理由.
共享时间:2024-03-29 难度:3 相似度:2
167878. (2024•西工大附中•模拟) 已知椭圆的上顶点为是椭圆E上的一点,以PQ为直径的圆经过椭圆E的右焦点F
(Ⅰ)求椭圆E的方程;
(Ⅱ)过椭圆E的右焦点F且与坐标轴不垂直的直线l与椭圆E交于AB两点,在直线x=2上是否存在一点D,使得△ABD为等边三角形?若存在,求出等边三角形ABD的面积;若不存在,请说明理由.
共享时间:2024-03-05 难度:3 相似度:2
167282. (2023•长安区一中•高三上五月) 椭圆E+=1(ab>0)的离心率是,点M,1)是椭圆E上一点,过点P(0,1)的动直线l与椭圆相交于AB两点.
(1)求椭圆E的方程;
(2)求△AOB面积的最大值;
(3)在平面直角坐标系xOy中,是否存在与点P不同的定点Q,使恒成立?存在,求出点Q的坐标;若不存在,请说明理由.
共享时间:2023-12-29 难度:3 相似度:2
166957. (2023•师大附中•高二上一月) 已知椭圆C=1(ab>0)的一个焦点为F(2,0),且离心率为
(1)求椭圆C的方程;
(2)不过原点O的直线lyx+m与椭圆C交于AB两点,求△ABO面积的最大值及此时直线l的方程.
共享时间:2023-10-18 难度:3 相似度:2
168390. (2023•交大附中•十三模) 已知椭圆的上、下焦点分别为F1F2,离心率为,过点F1作直线l(与y轴不重合)交椭圆CMN两点,△MNF2的周长为12.
(1)求椭圆C的标准方程;
(2)若点A是椭圆C的上顶点,设直线lAMAN的斜率分别为kk1k2,当k≠0时,求证:为定值.
共享时间:2023-07-21 难度:3 相似度:2
168230. (2021•西安中学•四模) .如图所示,在平面直角坐标系xOy中,已知椭圆Eab>0)的离心率为A为椭圆E上位于第一象限上的点,B为椭圆E的上顶点,直线ABx轴相交于点C,|AB|=|AO|,△BOC的面积为
(1)求椭圆E的标准方程;
(2)设直线l过椭圆E的右焦点,且与椭圆E相交于MN两点(MN在直线OA的同侧),若∠CAM=∠OAN,求直线l的方程.

共享时间:2021-04-28 难度:2 相似度:1.67
168127. (2024•西安一中•二模) 已知椭圆的左、右顶点分别是AB,点C上,且△PAB的面积
(1)求C的标准方程;
(2)过点B作直线lC交于另一点,求直线l的斜率.
共享时间:2024-03-17 难度:2 相似度:1.67
168643. (2021•西安中学•二模) 已知椭圆E=1(ab>0)的离心率为,其长轴长为2
(1)求椭圆E的方程;
(2)直线l1yk1xEAC两点,直线l2yk2xEBD两点,若k1k2=﹣,求四边形ABCD的面积.
共享时间:2021-03-26 难度:2 相似度:1.67
168012. (2023•师大附中•十模) 已知椭圆C=1(a>0)经过点(﹣1,),过点T)的直线交该椭圆于PQ两点.
(1)求△OPQ面积的最大值,并求此时直线PQ的方程;
(2)若直线PQx轴不垂直,在x轴上是否存在点Ss,0)使得∠PST=∠QST恒成立?若存在,求出s的值;若不存在,说明理由.
共享时间:2023-07-02 难度:2 相似度:1.67
167989. (2023•师大附中•十一模) 已知椭圆的左、右顶点分别为点AB,且|AB|=4,椭圆C离心率为
(Ⅰ)求椭圆C的方程;
(Ⅱ)过椭圆C的右焦点,且斜率不为0的直线l交椭圆CMN两点,直线AMBN的交于点Q,求证:点Q在直线x=4上.
共享时间:2023-07-16 难度:2 相似度:1.67
168757. (2021•西安中学•八模) 已知椭圆C=1(ab>0)的离心率为,点EF分别为其下顶点和右焦点,坐标原点为O,且△EOF的面积为
(1)求椭圆C的方程;
(2)设直线l与椭圆相交于AB两点,若点F恰为△EAB的重心,求直线l的方程.

共享时间:2021-06-14 难度:2 相似度:1.67
167901. (2024•西安八十九中•三模) 已知椭圆C+=1(ab>0)的离心率为,以短轴端点和焦点为顶点的四边形的周长为4
(1)求椭圆C的方程;
(2)过点M(0,m)(m>0)的直线l与椭圆C相交于两点AB,设点M关于坐标原点O的对称点为N,若点N恒在以AB为直径的圆内部,求实数m的取值范围.
共享时间:2024-04-02 难度:2 相似度:1.67
168827. (2021•西工大附中•十二模) 已知椭圆的左焦点与上顶点关于直线y=﹣x对称,又点E上.
(1)求椭圆E的标准方程;
(2)若动直线l与椭圆E有且只有一个公共点,过点M(1,0)作直线l的垂线,垂足为Q,试证点Q总在定圆上.
共享时间:2021-07-26 难度:2 相似度:1.67

lfo@dyw.com

2023-06-04

高中数学 | | 解答题

  • 下载量
  • 浏览量
  • 收益额
  • 0
  • 8
  • 0
相同试题
试题下载
试题内容
调用试题名称
共享人
唐老师
试题题型
解答题
试题难度
试题题源
2020*西工大*期末
下载次数
168次
下载金币
5德优币(当前结余18德优币)
温馨提示
该试题下载至自主题库后,下载、备课永久免费!
试卷设置
试卷名称
省市校区
阶段科目
年份卷型
选择类型
已选考点
在线训练
视频讲解
温馨提示
视频讲解正在加载中、请等待!
温馨提示
对不起!这是别人共享的试题,需要下载到自主题库后,可将该试题添加到白板
视频解析购买
支付方式
德优币数
本次消耗0德优币
温馨提示

客服电话:400-816-0029,服务邮箱:610066832@qq.com

视频资源

试题找茬
纠错类型
纠错描述
温馨提示
共享试题、试卷经平台审核通过后方可展示,并永久享用用户下载分红权!