首页 | 客服 | 上传赚现
AI助手
德优题库AI助手

AI助手

搜题▪组卷

(1)

服务热线

400-816-0029

    自建题库,共享分红

德优题库QQ交流群

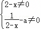
230673. (2025•西安三中•四模) 若函数ab∈R)为奇函数,则ab=(  )
A.    
B.      
C..8       
D..16
共享时间:2025-04-30 难度:1
[考点]
奇函数偶函数的性质,
[答案]
D
[解析]
解:∵是奇函数,
∴定义域关于原点对称,
,即x≠2且,(a≠0),可得,解得
,即,得b=﹣2,
此时为奇函数,

故选:D
[点评]
本题考查了"奇函数偶函数的性质,",属于"常考题",熟悉题型是解题的关键。
转载声明:
本题解析属于发布者收集录入,如涉及版权请向平台申诉! !版权申诉
167610. (2024•师大附中•十模) 已知函数是奇函数,则(  )
A.2a+b=1
B..2ab=﹣1   
C.a+b=1    
D.ab=﹣1
共享时间:2024-07-09 难度:1 相似度:2
170980. (2024•庆安中学(高)•高一上期中) 已知函数fx)=ax3bx+3,且f(﹣7)=mf(7)=n,则(  )
A.m+n=0  
B.mn=0  
C.m+n=6    
D.mn=6
共享时间:2024-11-30 难度:1 相似度:2
166490. (2024•铁一中学•高二上二月) 已知函数fx)=(3x﹣2xax+xa>0)是奇函数,则a=(  )
A.      
B.       
C.      
D.2
共享时间:2024-12-24 难度:2 相似度:1.5
166830. (2024•西安八十五中•一模) 已知fx)为定义在R上的偶函数,当x≥0时,有fx+1)=﹣fx),且当x∈[0,1)时,fx)=log2x+1),给出下列命题,正确的有(  )

A.f(2016)+f(﹣2017)=0

B.fx)在定义域上是周期为2的周期函数

C.直线yxfx)的图像有1个交点   

D.fx)的值域是(﹣1,1)

共享时间:2024-03-12 难度:2 相似度:1.5
169238. (2025•西工大附中•高一上期末) 已知函数fx)是定义域为R的奇函数,当x≤0时,fx)=3x2+2x+2,则f(1)的值为(  )
A.3         
B.﹣3        
C..1       
D..﹣1
共享时间:2025-02-26 难度:2 相似度:1.5
237758. (2017•西安中学•高一上期中) fx)为定义在R上的奇函数,当x≥0时,fx)=2x+2x+bb为常数),则f(﹣2)=(  )
A.﹣7       
B.﹣3        
C.3         
D..7
共享时间:2017-11-10 难度:2 相似度:1.5
166361. (2024•长安区一中•高三上四月) 已知函数yfx+1)为奇函数,且f(1﹣x)=fx+3),当x∈[0,1]时,fx)=2﹣2x,则(  )

A.fx)的图象关于点(1,0)对称  

B.fx)的图象关于直线x=2对称

C.fx)的最小正周期为2   

D.f(1)+f(2)+…+f(30)=﹣1

共享时间:2024-02-12 难度:3 相似度:1.33

dygzsxyn

2025-04-30

高中数学 | | 选择题

  • 下载量
  • 浏览量
  • 收益额
  • 0
  • 2
  • 0
相同试题
试题下载
试题内容
调用试题名称
共享人
唐老师
试题题型
解答题
试题难度
试题题源
2020*西工大*期末
下载次数
168次
下载金币
5德优币(当前结余18德优币)
温馨提示
该试题下载至自主题库后,下载、备课永久免费!
试卷设置
试卷名称
省市校区
阶段科目
年份卷型
选择类型
已选考点
在线训练
视频讲解
温馨提示
视频讲解正在加载中、请等待!
温馨提示
对不起!这是别人共享的试题,需要下载到自主题库后,可将该试题添加到白板
视频解析购买
支付方式
德优币数
本次消耗0德优币
温馨提示

客服电话:400-816-0029,服务邮箱:610066832@qq.com

视频资源

试题找茬
纠错类型
纠错描述
温馨提示
共享试题、试卷经平台审核通过后方可展示,并永久享用用户下载分红权!