首页 | 客服 | 上传赚现
AI助手
德优题库AI助手

AI助手

搜题▪组卷

(1)

服务热线

400-816-0029

    自建题库,共享分红

德优题库QQ交流群

230611. (2025•临潼区•二模) 已知椭圆C的左、右焦点分别为F1F2,离心率为,经过点F1且倾斜角为的直线l与椭圆交于AB两点(其中点Ax轴上方),△ABF2的周长为8.
(1)求椭圆C的标准方程;
(2)如图,将平面xOy沿x轴折叠,使y轴正半轴和x轴所确定的半平面(平面AF1F2)与y轴负半轴和x轴所确定的半平面(平面BF1F2)互相垂直.
i)若,求异面直线AF1BF2所成角的余弦值;
ii)是否存在,使得△ABF2折叠后的周长与折叠前的周长之比为?若存在,求tanθ的值;若不存在,请说明理由.

共享时间:2025-03-24 难度:3
[考点]
异面直线及其所成的角,椭圆的标准方程,直线与椭圆的综合,
[答案]
(1)
(2)(i
ii
[解析]
解:(1)因为△ABF2的周长为8,离心率为
所以4a=8,即a=2,c=1,b
所以椭圆C的标准方程为:
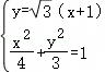
(2)由(1)知,点F1(﹣1,0),倾斜角为
故直线l设为:
i)联立直线l与椭圆的方程:,可得5x2+8x=0,
可得x=0或x=﹣
可得,(因为点Ax轴上方)以及
再以O为坐标原点,折叠后原y轴负半轴,原x轴,原y轴正半轴所在直线为xyz轴建立空间直角坐标系,

F1(0,﹣1,0),F2(0,1,0),
=0++0=,||==2,||=
所以cos<>=
记异面直线AF1BF2所成角为φ,则
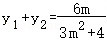
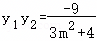
②由,|AF2|+|BF2|+|AB|=8,故
设折叠前Ax1y1),Bx2y2),
直线l与椭圆C联立方程,得(3m2+4)y2﹣6my﹣9=0,

在折叠后的图形中建立如图所示的空间直角坐标系(原x轴仍然为x轴,原y轴正半轴为y轴,原y轴负半轴为z轴),

AB在新图形中对应点记为A′,B′,
A′(x1y1,0),B′(x2,0,﹣y2),

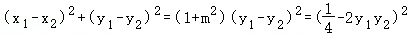
,①

所以,②
ii)由①②可得:



解得
因为,所以
[点评]
本题考查了"异面直线及其所成的角,椭圆的标准方程,直线与椭圆的综合,",属于"典型题",熟悉题型是解题的关键。
转载声明:
本题解析属于发布者收集录入,如涉及版权请向平台申诉! !版权申诉
167967. (2023•师大附中•十一模) 已知椭圆的左、右顶点分别为点AB,且|AB|=4,椭圆C离心率为
(Ⅰ)求椭圆C的方程;
(Ⅱ)过椭圆C的右焦点,且斜率不为0的直线l交椭圆CMN两点,直线AMBN的交于点Q,求证:点Q在直线x=4上.
共享时间:2023-07-18 难度:2 相似度:1.67
167693. (2024•西安中学•五模) 已知椭圆的左右焦点分别为F1F2,过F1的动直线lC交于PQ两点,当lx轴时,|PQ|=1且直线PF2与直线QF2的斜率之积为
(1)求椭圆C方程;
(2)若△PQF2的内切圆半径为,求直线l的方程.
共享时间:2024-05-09 难度:2 相似度:1.67
168230. (2021•西安中学•四模) .如图所示,在平面直角坐标系xOy中,已知椭圆Eab>0)的离心率为A为椭圆E上位于第一象限上的点,B为椭圆E的上顶点,直线ABx轴相交于点C,|AB|=|AO|,△BOC的面积为
(1)求椭圆E的标准方程;
(2)设直线l过椭圆E的右焦点,且与椭圆E相交于MN两点(MN在直线OA的同侧),若∠CAM=∠OAN,求直线l的方程.

共享时间:2021-04-28 难度:2 相似度:1.67
168988. (2020•西安中学•一模) 如图,已知圆Ex2+(y﹣1)2=4经过椭圆ab>0)的左、右焦点F1F2,与椭圆C在第一象限的交点为A,且F1EA三点共线.
(1)求椭圆C的方程;
(2)设与直线OAO为原点)平行的直线交椭圆CMN两点,当△AMN的面积取最大值时,求直线l的方程.

共享时间:2020-03-02 难度:2 相似度:1.67
167989. (2023•师大附中•十一模) 已知椭圆的左、右顶点分别为点AB,且|AB|=4,椭圆C离心率为
(Ⅰ)求椭圆C的方程;
(Ⅱ)过椭圆C的右焦点,且斜率不为0的直线l交椭圆CMN两点,直线AMBN的交于点Q,求证:点Q在直线x=4上.
共享时间:2023-07-16 难度:2 相似度:1.67
168965. (2021•交大附中•四模) 已知椭圆C+=1(ab>0)的离心率为,点A(1,)在椭圆C上,直线l1过椭圆C的右焦点与上顶点,动直线l2ykx与椭圆C交于MN两点,交l1P点.
(1)求椭圆C的方程;
(2)已知O为坐标原点,若点P满足|OP|=|MN|,求此时|MN|的长度.
共享时间:2021-04-20 难度:2 相似度:1.67
166959. (2023•师大附中•高二上一月) 已知椭圆的离心率为,焦距为2.
(1)求Ω的标准方程.
(2)过Ω的右焦点F作相互垂直的两条直线l1l2(均不垂直于x轴),l1交Ω于AB两点,l2交Ω于CD两点.设线段ABCD的中点分别为MN,证明:直线MN过定点.
共享时间:2023-10-18 难度:2 相似度:1.67
167191. (2023•周至四中•一模) 已知椭圆C+=1(ab>0)的左顶点为A,右焦点为F(2,0),过点A作倾斜角为的直线与椭圆C相交于AB两点,且ABOBO为坐标原点.
(Ⅰ)求椭圆C的方程;
(Ⅱ)过点F作与直线AB平行的直线ll与椭圆C相交于PQ两点,直线OPOQ的斜率分别为kOPkOQ,求kOPkOQ
共享时间:2023-03-04 难度:2 相似度:1.67
168390. (2023•交大附中•十三模) 已知椭圆的上、下焦点分别为F1F2,离心率为,过点F1作直线l(与y轴不重合)交椭圆CMN两点,△MNF2的周长为12.
(1)求椭圆C的标准方程;
(2)若点A是椭圆C的上顶点,设直线lAMAN的斜率分别为kk1k2,当k≠0时,求证:为定值.
共享时间:2023-07-21 难度:3 相似度:1.34
168035. (2023•西安中学•七模) 在平面直角坐标系xOy中,已知椭圆C1与椭圆C2x2+=1,且椭圆C2过椭圆C1的焦点.过点的直线l与椭圆C1交于AB两点,与椭圆C2交于CD两点.
(1)求椭圆C1的标准方程;
(2)若存在直线l,使得ABCD,求t的取值范围.
共享时间:2023-06-04 难度:3 相似度:1.34
167878. (2024•西工大附中•模拟) 已知椭圆的上顶点为是椭圆E上的一点,以PQ为直径的圆经过椭圆E的右焦点F
(Ⅰ)求椭圆E的方程;
(Ⅱ)过椭圆E的右焦点F且与坐标轴不垂直的直线l与椭圆E交于AB两点,在直线x=2上是否存在一点D,使得△ABD为等边三角形?若存在,求出等边三角形ABD的面积;若不存在,请说明理由.
共享时间:2024-03-05 难度:3 相似度:1.34
167809. (2024•西安一中•二模) 已知椭圆C)的左、右焦点分别为F1F2,离心率为P为椭圆C上的一个动点.△PF1F2面积的最大值为2.
(1)求椭圆C的标准方程.
(2)设斜率存在的直线PF2C的另一个交点为Q,是否存在点Tt,0),使得|TP|=|TQ|.若存在,求出t的取值范围;若不存在,请说明理由.
共享时间:2024-03-29 难度:3 相似度:1.34
167763. (2024•西安一中•三模) 已知椭圆经过点(0,2),
(1)求椭圆C的方程;
(2)若直线lyx﹣2交椭圆CAB两点,O是坐标原点,求△AOB的面积S
共享时间:2024-04-15 难度:3 相似度:1.34
167625. (2024•师大附中•十模) 已知椭圆:的离心率为,其左右焦点分别为F1F2,下顶点为A,右顶点为B,△ABF1的面积为
(1)求椭圆C的方程;
(2)设不过原点O的直线交CMN两点,且直线OMMNON的斜率依次成等比数列,求△MON面积的取值范围.
共享时间:2024-07-09 难度:3 相似度:1.34
166957. (2023•师大附中•高二上一月) 已知椭圆C=1(ab>0)的一个焦点为F(2,0),且离心率为
(1)求椭圆C的方程;
(2)不过原点O的直线lyx+m与椭圆C交于AB两点,求△ABO面积的最大值及此时直线l的方程.
共享时间:2023-10-18 难度:3 相似度:1.34

dygzsxyn

2025-03-24

高中数学 | | 解答题

  • 下载量
  • 浏览量
  • 收益额
  • 0
  • 3
  • 0
相同试题
试题下载
试题内容
调用试题名称
共享人
唐老师
试题题型
解答题
试题难度
试题题源
2020*西工大*期末
下载次数
168次
下载金币
5德优币(当前结余18德优币)
温馨提示
该试题下载至自主题库后,下载、备课永久免费!
试卷设置
试卷名称
省市校区
阶段科目
年份卷型
选择类型
已选考点
在线训练
视频讲解
温馨提示
视频讲解正在加载中、请等待!
温馨提示
对不起!这是别人共享的试题,需要下载到自主题库后,可将该试题添加到白板
视频解析购买
支付方式
德优币数
本次消耗0德优币
温馨提示

客服电话:400-816-0029,服务邮箱:610066832@qq.com

视频资源

试题找茬
纠错类型
纠错描述
温馨提示
共享试题、试卷经平台审核通过后方可展示,并永久享用用户下载分红权!