首页 | 客服 | 上传赚现
AI助手
德优题库AI助手

AI助手

搜题▪组卷

(1)

服务热线

400-816-0029

    自建题库,共享分红

德优题库QQ交流群

230477. (2025•西安中学•二模) 如图1,△ABC是等边三角形,△DAC为等腰直角三角形,,将△DAC沿AC翻折到△PAC的位置,且点P不在平面ABC内(如图2),点F在线段PB上(不含端点).
(1)证明:ACPB
(2)若直线PCAB所成角的余弦值为
i)当直线PB与平面ACF所成角为60°时,求PF
ii)设平面ACF与平面PBC的夹角为α,求cosα的取值范围.

共享时间:2025-03-19 难度:2
[考点]
直线与平面垂直,空间向量法求解二面角及两平面的夹角,
[答案]
(1)证明见解析;(2)(iPF=1;(ii
[解析]
解:(1)证明:取AC中点为E,连接PEBE
因为PAPCABBC
所以PEACBEAC
又因为PEBEEPEBE⊂平面PBE
所以AC⊥平面PBE
又因为PB⊂平面PBE
所以ACPB
(2)(i)因为△ADC为等腰三角形,
所以AC=2,
因为△ABC为等边三角形,所以ABBCAC=2,

所以

所以

所以
又因为
所以
所以EAEPEB两两互相垂直,
E为原点,以为基底,建立空间直角坐标系,



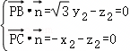
,所以
所以
设平面ACF的法向量为
,则
y1t﹣1,z1=3﹣t,得
所以
解得或0(不符合题意,舍去),
所以,即PF=1.
ii)设平面PBC的法向量为

,则
y2=1,得
所以

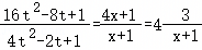
x=4t2﹣2t,则
所以
因为时,
所以
所以
[点评]
本题考查了"直线与平面垂直,空间向量法求解二面角及两平面的夹角,",属于"易错题",熟悉题型是解题的关键。
转载声明:
本题解析属于发布者收集录入,如涉及版权请向平台申诉! !版权申诉
166506. (2024•铁一中学•高二上二月) 如图,在四棱柱ABCDA1B1C1D1中,底面ABCD为矩形,A1B1的中点,且EBEDC1EBE
(1)证明:①C1E⊥平面BDE
EAEC
(2)若AB1=3,求平面CDE与平面BCE的夹角的余弦值.

共享时间:2024-12-24 难度:2 相似度:2
169330. (2025•西安八十五中•高二上期末) 如图,在三棱柱ABCA1B1C1中,四边形AA1C1C是边长为4的正方形,平面ABC⊥平面AA1C1CAB=3,BC=5.
(1)求证:BB1⊥平面ABC
(2)求平面A1C1B与平面B1C1B夹角的余弦值.

共享时间:2025-02-15 难度:2 相似度:2
169312. (2025•铁一中学•高二上期末) 如图,在四棱锥ABCDE中,ABACCD=2BE=4,BECDCDCBABAC,平面ABC⊥平面BCDEOBC中点.
(1)证明:AO⊥平面BCDE
(2)求平面ABC与平面ADE夹角的余弦值;
(3)线段AC上是否存在一点Q,使OQ∥平面ADE?如果不存在,请说明理由;如果存在,求的值.

共享时间:2025-02-12 难度:3 相似度:1.67
166447. (2024•西工大附中•高三上二月) 已知边长为4的菱形ABCD(如图1),BD相交于点OE为线段AO上一点,将三角形ABD沿BD折叠成三棱锥ABCD(如图2).
(1)证明:BDCE
(2)若三棱锥ABCD的体积为8,二面角BCEO的余弦值为,求OE的长.

共享时间:2024-12-24 难度:1 相似度:1.5
261. (2014•陕西省•真题) 四面体ABCD及其三视图如图所示,平行于棱ADBC的平面分别交四面体的棱ABBDDCCA于点EFGH
)求四面体ABCD的体积;
)证明:四边形EFGH是矩形.
                                                                                                               
 
共享时间:2014-07-07 难度:3 相似度:1
168779. (2021•西安中学•八模) 如图,四棱柱ABCDA1B1C1D1的底面ABCD是正方形,O为底面中心,A1O⊥平面ABCDABAA1
(1)证明:A1C⊥平面BB1D1D
(2)求平面OCB1与平面BB1D1D的夹角θ的大小.

共享时间:2021-06-19 难度:2 相似度:1
168411. (2021•西安中学•十模) 如图,在三棱锥PABC中,平面PAB⊥平面ABCAB=6,BC=2AC=2DE分别为线段ABBC上的点,且AD=2DBCE=2EBPDAC
(1)求证:PD⊥平面ABC
(2)若PA与平面ABC所成的角为,求平面PAC与平面PDE所成的锐二面角.

共享时间:2021-07-03 难度:2 相似度:1
168436. (2021•西安中学•七模) 如图,在三棱锥PABC中,PAPBACBCPCAB=2,点DE分别为ABPC的中点.
(1)证明:PD⊥平面ABC
(2)设点F在线段BC上,且,若三棱锥PAEF的体积为,求实数λ的值.

共享时间:2021-06-06 难度:2 相似度:1
168456. (2021•西安中学•七模) 如图,在四棱锥PABCD中,PA⊥底面ABCDADABABDCADDCAP=2,AB=1,点E为棱PC的中点.
(Ⅰ)证明:BEDC
(Ⅱ)求直线BE与平面PBD所成角的正弦值.

共享时间:2021-06-02 难度:2 相似度:1
168573. (2021•西安中学•九模) .如图,在三棱柱ABCA1B1C1中,点C在平面A1B1C1内的射影点为A1B1的中点O,且ACBCABAA1=1:1::2.
(1)求证:AB⊥平面OCC1
(2)若CO,求点C到平面ABO的距离.

共享时间:2021-06-30 难度:2 相似度:1
168619. (2021•西安中学•二模) 如图,矩形ABCD所在平面与半圆弧所在平面垂直,M是半圆弧上异于CD的点.
(Ⅰ)证明:直线DM⊥平面BMC
(Ⅱ)在线段AM上是否存在点P,使得MC∥平面PBD?说明理由.

共享时间:2021-03-17 难度:2 相似度:1
168641. (2021•西安中学•二模) 如图,在三棱柱ABCA1B1C1中,底面ABC是边长为4的等边三角形,∠A1AB=∠A1ACDBC的中点.
(1)证明:BC⊥平面A1AD
(2)若△A1AD是等边三角形,求二面角DAA1C的正弦值.

共享时间:2021-03-26 难度:2 相似度:1
168711. (2021•西安中学•仿真) 如图1,在直角梯形ABCD中,ABCDABAD,且ABAD,现以AD为一边向形外作正方形ADEF,然后沿边AD将正方形ADEF翻折,使平面ADEF与平面ABCD垂直,MED的中点,如图2.

(1)求证:AM∥平面BEC
(2)求证:BC⊥平面BDE
(3)求直线DC与平面BEC所成角的正弦值.
共享时间:2021-06-05 难度:2 相似度:1
168734. (2021•西安中学•仿真) 如图1,在直角梯形ABCD中,ABCDABAD,且ABAD,现以AD为一边向形外作正方形ADEF,然后沿边AD将正方形ADEF翻折,使平面ADEF与平面ABCD垂直,MED的中点,如图2.

(1)求证:AM∥平面BEC
(2)求证:BC⊥平面BDE
(3)求直线DC与平面BEC所成角的正弦值.
共享时间:2021-06-10 难度:2 相似度:1
169008. (2020•西安中学•一模) 如图,在三棱锥PABC中,PAPBAB=2,BC=3,∠ABC=90°,平面PAB⊥平面ABCDE分别为ABAC中点.
(1)求证:ABPE
(2)求二面角APBE的大小.

共享时间:2020-03-12 难度:2 相似度:1

dygzsxyn

2025-03-19

高中数学 | | 解答题

  • 下载量
  • 浏览量
  • 收益额
  • 0
  • 3
  • 0
相同试题
试题下载
试题内容
调用试题名称
共享人
唐老师
试题题型
解答题
试题难度
试题题源
2020*西工大*期末
下载次数
168次
下载金币
5德优币(当前结余18德优币)
温馨提示
该试题下载至自主题库后,下载、备课永久免费!
试卷设置
试卷名称
省市校区
阶段科目
年份卷型
选择类型
已选考点
在线训练
视频讲解
温馨提示
视频讲解正在加载中、请等待!
温馨提示
对不起!这是别人共享的试题,需要下载到自主题库后,可将该试题添加到白板
视频解析购买
支付方式
德优币数
本次消耗0德优币
温馨提示

客服电话:400-816-0029,服务邮箱:610066832@qq.com

视频资源

试题找茬
纠错类型
纠错描述
温馨提示
共享试题、试卷经平台审核通过后方可展示,并永久享用用户下载分红权!