首页 | 客服 | 上传赚现
AI助手
德优题库AI助手

AI助手

搜题▪组卷

(1)

服务热线

400-816-0029

    自建题库,共享分红

德优题库QQ交流群

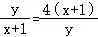
169228. (2025•长安区一中•高一上期末) 若两个正实数xy满足x+y=3,且不等式恒成立,则实数m的取值范围为        
共享时间:2025-02-02 难度:1
[考点]
运用“1”的代换构造基本不等式,
[答案]
{m|m≤9}.
[解析]
解:由两个正实数xy满足x+y=3,
因此
当且仅当,即时取等号,
所以m≤9.
故答案为:{m|m≤9}.
[点评]
本题考查了"运用“1”的代换构造基本不等式,",属于"基础题",熟悉题型是解题的关键。
转载声明:
本题解析属于发布者收集录入,如涉及版权请向平台申诉! !版权申诉
166406. (2024•远东二中•高一上一月) 已知a>0,b>0,且,则2a+b的最小值是      
共享时间:2024-10-29 难度:1 相似度:2
169850. (2023•西安中学•高二下期末) 已知a>0,b>0,2a+b=2,则的最小值为         
共享时间:2023-07-04 难度:1 相似度:2
230566. (2025•西工大附中•八模) 随机变量X服从正态分布ξ~N(10,σ2),P(8≤ξ≤10)=aP(ξ>12)=b,则的最小值为         .
共享时间:2025-06-12 难度:2 相似度:1.5

ze@dyw.com

2025-02-02

高中数学 | 高一上 | 填空题

  • 下载量
  • 浏览量
  • 收益额
  • 0
  • 10
  • 0
相同试题
试题下载
试题内容
调用试题名称
共享人
唐老师
试题题型
解答题
试题难度
试题题源
2020*西工大*期末
下载次数
168次
下载金币
5德优币(当前结余18德优币)
温馨提示
该试题下载至自主题库后,下载、备课永久免费!
试卷设置
试卷名称
省市校区
阶段科目
年份卷型
选择类型
已选考点
在线训练
视频讲解
温馨提示
视频讲解正在加载中、请等待!
温馨提示
对不起!这是别人共享的试题,需要下载到自主题库后,可将该试题添加到白板
视频解析购买
支付方式
德优币数
本次消耗0德优币
温馨提示

客服电话:400-816-0029,服务邮箱:610066832@qq.com

视频资源

试题找茬
纠错类型
纠错描述
温馨提示
共享试题、试卷经平台审核通过后方可展示,并永久享用用户下载分红权!