首页 | 客服 | 上传赚现
AI助手
德优题库AI助手

AI助手

搜题▪组卷

(1)

服务热线

400-816-0029

    自建题库,共享分红

德优题库QQ交流群

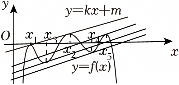
166706. (2024•西安三中•高一上二月) 如图所示,直线ykx+m与曲线yfx)相切于(x1fx1)),(x2fx2))两点,其中x1x2.若当x∈(0,x1)时,f′(x)>k,则函数fx)﹣kx在(0,+∞)上的极大值点个数为(  )

A.0         
B.1         
C.2         
D.3
共享时间:2024-12-11 难度:1
[考点]
函数在某点取得极值的条件,
[答案]
D
[解析]
解:分别作出fx)斜率为k的另外三条切线:ykx+mii=1,2,3),
切点分别为x5x3x4,如图所示:
由图可知,当x∈(0,x1)∪(x3x2)∪(x4x5)时,f′(x)>k
x∈(x1x3)∪(x2x4)∪(x5,+∞)时,f′(x)<k
gx)=fx)﹣kx,则g′(x)=f′(x)﹣k
∴当x∈(0,x1)∪(x3x2)∪(x4x5)时,g′(x)>0;
x∈∈(x1x3)∪(x2x4)∪(x5,+∞)时,g′(x)<0.
gx)在(0,x1),(x3x2),(x4x5)上单调递增,
在(x1x3),(x2x4),(x5,+∞)上单调递减,
gx)=fx)﹣kxxx1xx2xx5三个极大值点.
故选:D

[点评]
本题考查了"函数在某点取得极值的条件,",属于"常考题",熟悉题型是解题的关键。
转载声明:
本题解析属于发布者收集录入,如涉及版权请向平台申诉! !版权申诉
231842. (2025•铁一中学•高二下一月) 已知函数fx)是R上的可导函数,fx)的导函数f′(x)的图象如图,则下列结论不正确的是(  )

A.ac分别是极大值点和极小值点

B.bc分别是极大值点和极小值点

C.fx)在区间(ac)上是增函数

D.fx)在区间(bc)上是减函数

共享时间:2025-04-23 难度:1 相似度:2
231858. (2025•曲江二中•高二下一月) 函数yfx)的导数图象如图所示,则下列正确的判断是(  )
①函数yfx)在(3,+∞)上是单调递增的;
x=1是函数fx)的极大值点;
x=4是函数fx)的极小值点;
④函数fx)在(﹣3,﹣1)上是单调递减的.

A.①②      
B.②③       
C.③④
D.②④
共享时间:2025-04-15 难度:1 相似度:2
236611. (2017•西北大附中•高二下期末) fx)是一个多项式函数,在[ab]上下列说法正确的是(  )

A.fx)的极值点一定是最值点  

B.fx)的最值点一定是极值点  

C.fx)在[ab]上可能没有极值点  

D.fx)在[ab]上可能没有最值点

共享时间:2017-07-18 难度:1 相似度:2
299. (2014•陕西省•真题) 如图,修建一条公路需要一段环湖弯曲路段与两条直道平滑连接(相切),已知环湖弯曲路段为某三次函数图象的一部分,则该函数的解析式为(  )
                                                                                                                          
A.y=x3x2x
B.y=x3+x23x  
C.y=x3x
D.y=x3+x22x
共享时间:2014-07-07 难度:4 相似度:1.5
236507. (2016•西安一中•高二上期末) 已知函数fx)=﹣x3+ax2﹣4在x=2处取得极值,若mn∈[﹣1,1],则fm)+f′(n)的最小值为(  )
A..﹣13    
B.﹣15       
C..10      
D..15
共享时间:2016-03-01 难度:2 相似度:1.5

cj@dyw.com

2024-12-11

高中数学 | 高一上 | 选择题

  • 下载量
  • 浏览量
  • 收益额
  • 0
  • 15
  • 0
相同试题
试题下载
试题内容
调用试题名称
共享人
唐老师
试题题型
解答题
试题难度
试题题源
2020*西工大*期末
下载次数
168次
下载金币
5德优币(当前结余18德优币)
温馨提示
该试题下载至自主题库后,下载、备课永久免费!
试卷设置
试卷名称
省市校区
阶段科目
年份卷型
选择类型
已选考点
在线训练
视频讲解
温馨提示
视频讲解正在加载中、请等待!
温馨提示
对不起!这是别人共享的试题,需要下载到自主题库后,可将该试题添加到白板
视频解析购买
支付方式
德优币数
本次消耗0德优币
温馨提示

客服电话:400-816-0029,服务邮箱:610066832@qq.com

视频资源

试题找茬
纠错类型
纠错描述
温馨提示
共享试题、试卷经平台审核通过后方可展示,并永久享用用户下载分红权!