首页 | 客服 | 上传赚现
AI助手
德优题库AI助手

AI助手

搜题▪组卷

(1)

服务热线

400-816-0029

    自建题库,共享分红

德优题库QQ交流群

155046. (2024•西工大附中•高一上期中) 德优题库蛋白质功能多样,不同蛋白质起作用的部位不同。饭后人体内的血糖会升高,胰岛素能够降低血糖。胰岛素通过与细胞膜上的受体蛋白结合发挥作用,而有的蛋白质需要进入细胞内起作用。
(1)胰岛素(如图甲所示)含有2条肽链,A链含有21个氨基酸,B链含有30个氨基酸,该胰岛素中含有        个肽键,推测胰岛素分子中S元素最可能在氨基酸的        上。
(2)胰岛素能降低血糖体现了蛋白质具有        的功能。
(3)科学家为了研究某些蛋白质进入细胞核的机理,选取了一种病毒蛋白A(该蛋白由708个氨基酸构成,能够进入到宿主细胞的细胞核内)进行了如下实验:将蛋白A上某些氨基酸删除后,检测蛋白A在细胞内的位置。实验结果如上图乙,请回答以下问题:
①细胞核的功能是        
②采用        法能够定位蛋白A在细胞内的位置。根据上述实验结果;推测蛋白A中负责细胞核定位的序列为        
③为验证上述推测;请在上述实验结果的基础上,进一步补充完成下列实验设计。
第一步:选择一种        (填“细胞质蛋白X”或“细胞核蛋白X”)。
第二步:向选取的蛋白质添加蛋白A的推测氨基酸序列。
第三步:检测蛋白X在细胞内的定位。若实验结果为        ,则推测成立。
共享时间:2024-11-12 难度:2
[考点]
蛋白质在生命活动中的主要功能,蛋白质的合成——氨基酸脱水缩合,
[答案]
149     R
2)调节机体的生命活动(信息传递)
3)是遗传物质贮存和复制的场所,是细胞遗传和代谢的控制中心    同位素标记/荧光标记    127133位氨基酸序列     细胞质蛋白X     蛋白X定位到细胞核内
[解析]
解:(1)胰岛素含有2条肽链,A链含有21个氨基酸,B链含有30个氨基酸,肽键数=氨基酸数﹣肽链数=21+30249个。胰岛素分子中S元素最可能在胰岛素单体氨基酸的R基上。
2)胰岛素能降低血糖体现了蛋白质具有调节机体生命活动的功能。
3细胞核的功能是遗传物质贮存和复制的场所,是细胞遗传和代谢的控制中心。
想要定位蛋白A在细胞内的位置,可以采用同位素标记法或荧光标记法。据图可知,删除第1126位氨基酸序列或删除第136708位氨基酸序列,蛋白A定位在细胞核内,删除第127133位氨基酸序列,蛋白A定位在细胞核外,可推测蛋白A中负责细胞核定位的序列为127133
为了验证该推测,需要进行实验,选择一种细胞质蛋白X,向选取的细胞质蛋白添加蛋白A的推测氨基酸序列,检测蛋白X在细胞内的定位,如果蛋白X定位到细胞核,则推测成立。
故答案为:
149      R
2)调节机体的生命活动(信息传递)
3)是遗传物质贮存和复制的场所,是细胞遗传和代谢的控制中心     同位素标记/荧光标记     127133位氨基酸序列      细胞质蛋白X      蛋白X定位到细胞核内
[点评]
本题考查了"蛋白质在生命活动中的主要功能,蛋白质的合成——氨基酸脱水缩合,",属于"必考题",熟悉题型是解题的关键。
转载声明:
本题解析属于发布者收集录入,如涉及版权请向平台申诉! !版权申诉
考点说明
灰色代表去掉的考点,绿色代表未变动的考点,红色代表新增的考点
153466. (2023•长安区•高一上期末) 血红蛋白是一种由血红素和珠蛋白组成的结合蛋白,具有运输氧气和二氧化碳的功能。血红素能使血液呈红色,其中的Fe2+是血红蛋白运输氧的关键物质;珠蛋白由两种肽链组成,一种是由141个氨基酸组成的α链,另一种是非α链,包括β、δ、γ三种,各有146个氨基酸。下图甲表示β链一端的部分氨基酸序列,图乙表示血红素、血红蛋白和红细胞的关系示意图。请分析回答下列问题:
德优题库
(1)图甲所示多肽含有        个肽键,       种氨基酸,①的名称是        
(2)珠蛋白的α链是由141个氨基酸经        方式脱掉        个水分子形成的,β、δ、γ三种非α链在结构组成上的区别是        
(3)若图乙中血红蛋白某一处的谷氨酸被缬氨酸取代,就可能聚合成纤维状的异常血红蛋白,则由其参与组成的红细胞运输氧的能力将        ,原因是        
共享时间:2023-02-02 难度:1 相似度:1.5
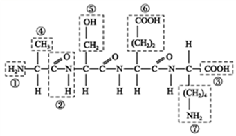
238952. (2018•长安区一中•高一上一月) 如图是某物质的结构式,请据图回答下面的问题。
德优题库
(1)在结构式中,方框①表示的基团共有       个。方框③所表示的是       
(2)方框②表示的是       ,该物质是由       个氨基酸通过       反应形成,所以叫       
(3)结构式中的       (写序号)是各氨基酸的R基。
共享时间:2018-10-17 难度:1 相似度:1.5
174890. (2021•周至四中•高一上期中) 请根据下列化合物的结构式分析回答:
德优题库
(1)图中⑨名称是       ,①名称是       .图中代表肽键的序号为       
(2)该化合物是由       个氨基酸分子失去       水分子而形成的,这种反应叫做       
(3)图中有       个肽键,该化合物叫       肽,有       个氨基和       个羧基.
共享时间:2021-11-26 难度:1 相似度:1.5
157839. (2021•鄠邑二中•高一上一月) 如图是某化合物的结构简图,据图加回答:
德优题库
(1)该化合物有        个氨基,       个羧基。
(2)该化合物是由        个氨基酸失去        个分子水而形成的,这个反应叫做        ,该化合物叫        肽。
(3)图中标号①是        ,标号⑥是        ,标号④是        ,标号③⑤代表氨基酸的        
共享时间:2021-10-18 难度:1 相似度:1.5
157558. (2021•关山中学•高一上三月) 某致病细菌分泌的外毒素,无色,细针状结晶,对小鼠和人体有很强的毒性,可引起流涎、呕吐、便血、痉挛等,以致死亡.该外毒素为环状肽,结构式如图所示:
德优题库
请据图分析回答:
(1)该化合物中含有游离的       个氨基,       个羧基.
(2)该化合物是由       个氨基酸组成的,区别这些氨基酸的种类是依靠其结构中的       
(3)组成该化合物的氨基酸有       种,其中有       个氨基酸的R基相同,这个R基是       
(4)该化合物称为       肽化合物,含有       个肽键,请写出肽键的结构简式       
(5)填写虚线框内结构的名称:A.       ,B.       .(从氨基酸结构通式的角度讲)
共享时间:2021-01-22 难度:1 相似度:1.5
239409. (2016•西安一中•高一上一月) 根据如图回答问题
德优题库
(1)图中A表示       ,D表示       (均用汉字表示).
(2)该化合物为       肽,是由       个氨基酸分子通过       的方式形成的.
(3)图中表示R基的字母是       ,表示肽键的字母是       
(4)图中有       个肽键,有       个氨基和       个羧基.该化合物由       种氨基酸组成.
共享时间:2016-10-11 难度:1 相似度:1.5
155543. (2023•铁一中学•高一上期中) 某致病细菌分泌的外毒素,无色、细针状结晶,对小鼠和人体有很强的毒性可引起流涎、呕吐、便血、痉挛等,以致死亡。该外毒素为环状肽,结构式如图所示。
德优题库
请据图分析并回答问题:
(1)该化合物中含有        个游离的氨基,含有        个肽键。
(2)该化合物是由        个氨基酸组成的,区别这些氨基酸的种类是依靠其结构中的        
(3)蛋白质的结构和功能千差万别的原因是        
共享时间:2023-11-12 难度:1 相似度:1.5
155878. (2022•长安区一中•高一上期中) 如图分别表示生物体内某些物质的结构模式图,据图回答下列问题:
德优题库
(1)若图1所示化合物为RNA,其基本组成单位是        ,可用图中字母        表示,各基本单位之间是通过        (填“①”“②”或“③”)连接起来的。
(2)若图1所示化合物为脱氧核糖核苷酸链,则其在真核细胞中的分布场所为       
(3)图2所示化合物是由        种氨基酸经        过程形成的,该化合物中有        个羧基。
共享时间:2022-11-19 难度:2 相似度:1
238953. (2018•长安区一中•高一上一月) 用氨基酸自动分析仪测定几种多肽化合物和蛋白质的氨基酸数目(如下表)。
化合物 多肽化合物 蛋白质
催产素 牛加压素 血管舒张素 平滑肌舒张素 猪促
黑色
素细
胞激
人促
黑色
素细
胞激
牛胰蛋白酶 人胰岛素 免疫球蛋白 人血红蛋白
氨基酸
数目
9 9 9 10 13 22 223 51 660 574
(1)表中①②③的氨基酸数目虽相同,但其生理作用彼此不同,这是因为它们的       不同。
(2)表中③与④、⑤与⑥的功能相似,但各自具有专一性,它们之间的差异主要取决于       
(3)⑧的生理功能说明蛋白质具有       作用;⑨的生理功能说明蛋白质具有       作用;
(4)组成上述10种化合物的所有氨基酸所共有的结构是       
(5)这些实例说明蛋白质的分子结构具有       ,这种特点决定了       
共享时间:2018-10-17 难度:2 相似度:1
156776. (2022•长安区一中•高一上一月) 图分别为生物体内的生物大分子的部分结构模式图,请据图回答问题:
德优题库
(1)图A中的三种物质都是由许多        连接而成的,其中属于植物细胞中的储能物质的是        。这三种物质中,在功能上与另外两种截然不同的是        ,它的主要功能是        
(2)图B所示多肽由        个氨基酸形成,由        种氨基酸形成,该化合物中有        个羧基。多肽是由多个氨基酸经        过程形成的,此过程中形成的化学键是        
共享时间:2022-10-11 难度:2 相似度:1
156621. (2023•关山中学•高三上一月) 线粒体的功能由其中的约1000种蛋白质来执行.如图是真核细胞中线粒体蛋白X从细胞质基质转运到线粒体基质的图解,导肽(一般含10-80个氨基酸残基)是该蛋白质一端的肽段,在引导蛋白质进入线粒体基质的过程中起到了重要的定位作用.
注:①Hsp:热休克蛋白,按照分子的大小分为Hsp70,Hsp60等.
德优题库
(1)组成线粒体前体蛋白X的肽链中,N端特指的是含有游离的-NH2一端,则肽链的另外一端应该含有的化学基团是       
(2)线粒体前体蛋白X是由细胞结构中       内的基因控制合成,据图可知热休克蛋白的作用是       
(3)高等哺乳动物进行受精作用时,受精卵中的线粒体几乎全部来自       ,不考虑基因突变、细胞器衰老等因素,在受精作用前后,同一线粒体中的蛋白质组成可能存在差异,其原因是       
共享时间:2023-10-19 难度:2 相似度:1
248576. (2024•陕西省•甲卷) 某种病原体的蛋白质A可被吞噬细胞摄入和处理,诱导特异性免疫。回答下列问题。
(1)病原体感染诱导产生浆细胞的特异性免疫方式属于        
(2)溶酶体中的蛋白酶可将蛋白质A的一条肽链水解成多个片段,蛋白酶切断的化学键是        
(3)不采用荧光素标记蛋白质A,设计实验验证蛋白质A的片段可出现在吞噬细胞的溶酶体中,简要写出实验思路和预期结果。        
共享时间:2024-06-29 难度:2 相似度:1
156322. (2023•师大附中•高一上一月) 肉毒梭菌(厌氧性梭状芽孢杆菌)是致死性最高的病原体之一,广泛存在于自然界中。肉毒梭菌的致病性在于其产生的肉毒类毒素,它是由两条肽链盘曲折叠而成的一种生物大分子。如图是肉毒类毒素的局部结构简式:德优题库
(1)肉毒类毒素的化学本质是        。其基本单位是        ,结构通式是        
(2)由上图可知,该片段由        种基本单位组成,该片段形成        个肽键,形成肽键的过程中,脱去的氢来自于        ,该化学反应叫        
(3)1mg肉毒类毒素可毒死20亿只小鼠。但煮沸1min或75℃下加热5min~10min,就能使其完全丧失活性。高温可使肉毒类毒素失活的主要原理是        
共享时间:2023-10-24 难度:2 相似度:1
156204. (2024•西安市蓝田县城关中学•高一上一月) 瘦素的化学本质是蛋白质,它能控制人的食欲。注射瘦素后,人的食欲会下降,从而对抑制人体发胖起到至关重要的作用。胰岛素的化学本质也是蛋白质,它能促进组织细胞吸收利用并存储血液中的葡萄糖,也能促进糖类转化为脂质等非糖物质,以达到降低血糖的目的。请回答下列问题:
(1)上述瘦素与胰岛素都体现了蛋白质的        功能,两者行使的功能有差异,其原因是(从氨基酸和多肽角度考虑)       
(2)肥胖是体内脂肪过多引起的,一分子脂肪是由        发生反应而形成的,人体中的脂肪主要含有        (填“饱和”或“不饱和”)脂肪酸。
(3)某校生物兴趣小组想利用以下材料,设计实验探究瘦素能否控制动物的食欲以及能否起到减肥的作用,请帮他们完成下列实验设计。
材料用具:大鼠若干只、普通饲料、一定剂量的瘦素溶液、生理盐水,其他所需条件均满足。
实验步骤:
第一步:选取生长状况相同的大鼠若干只随机平均分两组,编为甲组(实验组)和乙组(对照组)。
第二步:甲组每天注射        ,乙组每天注射        
第三步:在正常饲养的基础上,在相同且适宜的条件下饲养一段时间。
第四步:一段时间后,观察大鼠的食欲状况,称量并统计各组大鼠的体重。
共享时间:2024-10-20 难度:2 相似度:1
152792. (2025•西安市•高一上期末) 环状肽是一类具有环状结构的多肽化合物,其特点是在分子内部有一个或多个由氨基酸形成的环状结构。某环状肽的结构如图所示,回答下列问题:
德优题库
(1)图中肽链合成的场所是        ,氨基酸通过        的结合方式形成A处结构。
(2)图中肽链含有的元素是        ,该肽链由        种氨基酸组成,含有        个游离的氨基。
(3)由于氨基酸之间能够形成        (填化学键名称)等,因此肽链能盘曲、折叠形成具有一定功能的蛋白质分子。在高温条件下,蛋白质分子的功能会改变甚至丧失,原因是        
共享时间:2025-03-01 难度:2 相似度:1

xjn@dyw.com

2024-11-12

高中生物 | 高一上 | 解答题

  • 下载量
  • 浏览量
  • 收益额
  • 0
  • 12
  • 0
相同试题
试题下载
试题内容
调用试题名称
共享人
唐老师
试题题型
解答题
试题难度
试题题源
2020*西工大*期末
下载次数
168次
下载金币
5德优币(当前结余18德优币)
温馨提示
该试题下载至自主题库后,下载、备课永久免费!
试卷设置
试卷名称
省市校区
阶段科目
年份卷型
选择类型
已选考点
在线训练
视频讲解
温馨提示
视频讲解正在加载中、请等待!
温馨提示
对不起!这是别人共享的试题,需要下载到自主题库后,可将该试题添加到白板
视频解析购买
支付方式
德优币数
本次消耗0德优币
温馨提示

客服电话:400-816-0029,服务邮箱:610066832@qq.com

视频资源

试题找茬
纠错类型
纠错描述
温馨提示
共享试题、试卷经平台审核通过后方可展示,并永久享用用户下载分红权!