首页 | 客服 | 上传赚现
AI助手
德优题库AI助手

AI助手

搜题▪组卷

(1)

服务热线

400-816-0029

    自建题库,必找德优

德优题库QQ交流群

首页 > 试卷详情
德优网2023陕西省西安市高新区高新一中初中数学考试期末八年级下

2022-2023学年陕西省西安市雁塔区高新一中八年级(下)期末数学试卷

试卷总分:120分    命题人:csyn@dyw.com    考试时长:120分钟

一、选择题(10小题共30分)
1. (本题3分) 下列方程中,是关于x的一元二次方程的是(  )

A.  

B.ax2+bx+c=0(abc为常数)

C..(x+1)(x﹣2)=x2

D..3x2+1=0

2. (本题3分) 德优题库在平行四边形的复习课上,小明绘制了如下知识框架图,箭头处添加条件错误的是(  )
A.①:一组邻边互相垂直 B.②:对角线相等
C.③:对角线互相垂直 D.④:有一个角是直角
3. (本题3分) 德优题库如图,在▱ABCD中,AB=10,AD=6,∠ABC的平分线BE交CD边于点E,则DE的长是(  )
A.7
B.6
C.5
D.4
4. (本题3分) 用形状、大小完全相同的一种或几种平面图形进行拼接,彼此之间不留空隙、不重叠地铺成一片,这就是平面图形的镶嵌,我校新科技馆铺设地面,请问工人师傅可以用以下哪一种形状大小完全相同的正多边形地砖在平整的地面上镶嵌(  )
A.正五边形
B.正六边形
C.正八边形
D.正十边形
5. (本题3分) 用配方法将方程x2-4x+3=0化成(x-a)2=b的形式,则a-b的值是(  )
A.1
B.-1
C.3
D.-3
6. (本题3分) 在四边形ABCD中,∠A+∠B=180°,添加下列条件,不能使四边形ABCD成为平行四边形的是(  )
A.AD=BC
B.AB∥DC
C.AB=CD
D.∠B+∠C=180°
7. (本题3分) 若关于x的方程有增根,则m的值为(  )
A.-2
B.2
C.-3
D.3
8. (本题3分) 当a+b=2时,关于x的一元二次方程ax2-bx-1=0的根的情况为(  )
A.没有实数根 B.有两个相等的实数根
C.有两个不相等的实数根 D.无法确定
9. (本题3分) 德优题库如图,在矩形ABCD中,AB=8,AD=4,E是AB上一个动点,F是AD上一点(点F不与点D重合),连接EF,将△AEF沿EF翻折,使点A的对应点A′落在边CD上,连接EC,若A′E=CE,则△A′DF的面积为(  )
A.1
B.1.5
C.2
D.2.5
10. (本题3分) 如图,在正方形ABCD外取一点E,连接AEBEDE.过点AAE的垂线交DE于点P.若AEAP=1,PB,则点B到直线AE的距离为(  )

A.       
B.      
C.2         
D.
二、填空题(7小题共21分)
11. (本题3分) 分式的最简公分母是          
12. (本题3分) 若一个n边形的每个内角为144°,过一个顶点可以画出        条对角线.
13. (本题3分) 当分式的值为0时,x的值为      
14. (本题3分) 德优题库如图,▱ABCD中,∠B=60°,AB⊥AC,AB=3,对角线AC绕着对称中心O按顺时针方向旋转一定角度后,其所在直线分别交AD、BC于点E、F,若BF=2CF,则图中阴影部分的面积是        
15. (本题3分) 若关于x的一元二次方程ax2+bx-3=0(a≠0)有一个根为x=7,则方程a(x-1)2+bx-3=b必有一根为        
16. (本题3分) 德优题库如图,Rt△ABC中,AB=4,AC=3,∠BAC=90°,D、E分别为AB,AC的中点,P为DE上一点,且满足∠EAP=∠ABP,则PE=       
17. (本题3分) 德优题库如图,某市计划在一片空地上修建一个边长为400m的菱形公园ABCD,顶点D作为主要出入口,E为小路AD的中点,CE、BD是两条主要通道,要在它们的交点F以及点E处建两个休息亭,使得这两个休息亭到出入口D的距离相等,则计划建造的这个菱形公园ABCD的面积为        m2
三、解答题(8小题共69分)
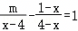
18. (本题8分) 解分式方程:
1
2
19. (本题8分) 解一元二次方程:
1)(x+422x+8
2x23x20
20. (本题6分) 先化简,再求值:,其中a2023
21. (本题8分) 如图,在平行四边形ABCD中,EH分别为ABDC的中点,FGADBC上两点,且满足DFBG,求证:EFHG

22. (本题8分) 为培养学生良好的个性品质,增强创新意识,掌握科学研究的方法,推进其对自然、社会、自我的整体认识与体验,我校甲、乙两个班的同学以班级为单位分别乘坐大巴车去离学校90km的综合实践教育基地参加活动,甲班的甲车出发10分钟后,乙班的乙车才出发,为了比甲车早到5分钟,乙车的平均速度是甲车的平均速度的1.2倍,求乙车的平均速度.
23. (本题9分) 如图,在平行四边形ABCD中,BD平分∠ABC
1)求证:四边形ABCD是菱形;
2)连接ACBD于点O,延长BC到点E,在∠DCE的内部作射线CM,使得∠ECM15°,过点DDFCM于点F.若∠ABC70°,DF,求∠ACD的度数及BD的长.

24. (本题10分) 在国家积极政策的鼓励下,环保意识日渐深入人心,新能源汽车的市场需求逐年上升.
1)某汽车企业2020年到2022年这两年新能源汽车的销售总量增长了96%.求该汽车企业这两年新能源汽车销售总量的平均年增长率;
2)某汽车企业下属的一个专卖店经销一款进价为15万元/辆的新能源汽车,经销一段时间后发现:当该款汽车售价定为25万元/辆时,平均每周售出8辆;售价每降低0.5万元,平均每周多售出1辆.若该店计划下调售价使平均每周的销售利润为96万元,并且尽量让利于顾客,求下调后每辆汽车的售价.
25. (本题12分) 【问题情境】数学活动课上,老师出示了一个问题:如图,在正方形ABCD中,E是射线BC上一动点(点EB不重合),连接AE,作AEEPEP与正方形的外角∠DCG的平分线交于P点.
【思考尝试】(1)如图1,当E是线段BC的中点时,观察并猜想AEEP的数量关系为  AEEP 
【实践探究】(2)小明同学受问题(1)启发,并提出新的问题:如图2,在正方形ABCD中,若E是射线BC上一动点(点EB不重合),那么问题(1)中的结论是否仍然成立?请说明理由;
【拓展迁移】(3)小颖同学深入研究小明同学提出的这个问题,发现并提出新的探究点:如图3,在正方形ABCD中,当E在线段BC上运动时(点EB不重合),连接DPAP.知道正方形的边长时,可以求出△ADP周长的最小值.当AB6时,请你求出△ADP周长的最小值.

转载声明:
本题解析属于发布者收集录入,如涉及版权请向平台申诉! !版权申诉
温馨提示
对不起!这是别人共享的试卷,需要下载到自主题库后,可将该试卷添加到白板
试题下载
试题内容
调用试题名称
共享人
唐老师
试题题型
解答题
试题难度
试题题源
2020*西工大*期末
下载次数
168次
下载金币
5德优币(当前结余18德优币)
温馨提示
该试题下载至自主题库后,下载、备课永久免费!
相似题
试卷设置
试卷名称
省市校区
阶段科目
年份卷型
选择类型
已选考点
在线训练
可见权限
会员看题 会员看题和答案
试卷下载
试卷名称
调用试卷名称
共享人
唐老师
试卷卷型
1111
试卷难度
试卷来源
2020*西工大*期末
下载次数
168次
下载金币
5德优币(当前结余18德优币)
温馨提示
该试卷下载至自主题库后,下载、备课永久免费!
组卷付费
试卷名称
调用试卷名称
试卷来源
唐老师
试卷形式
全选 卷主 序号 卷型 难度 年份 省市区 题源 金币 操作
8 选择题 2018年 陕西 真题 2币 查看
8 选择题 2018年 陕西 真题 2币 查看
8 选择题 2018年 陕西 真题 2币 查看
8 选择题 2018年 陕西 真题 2币 查看
8 选择题 2018年 陕西 真题 2币 查看
8 选择题 2018年 陕西 真题 2币 查看
下载金币
5德优币(当前结余18德优币)
温馨提示
该试卷下载至自主题库后,下载、备课永久免费!
试题找茬
纠错类型
纠错描述
温馨提示
共享试题、试卷经平台审核通过后方可展示,并永久享用用户下载分红权!
平行组卷明细
2022-2023学年陕西省西安市雁塔区高新一中八年级(下)期末数学试卷的细目表
  • 题号
  • 考点
  • 操作
  • 1
  • 一元二次方程的定义,
  • 查看
  • 2
  • 平行四边形的性质,
  • 查看
  • 3
  • 平行四边形的性质,
  • 查看
  • 4
  • 多边形,平面镶嵌(密铺),
  • 查看
  • 5
  • 配方法,
  • 查看
  • 6
  • 平行四边形的判定,
  • 查看
  • 7
  • 分式方程的增根,
  • 查看
  • 8
  • 根的判别式,
  • 查看
  • 9
  • 三角形的面积,矩形的性质,翻折变换(折叠问题),
  • 查看
  • 10
  • 全等三角形的判定与性质,正方形的性质,
  • 查看
  • 11
  • 最简公分母,
  • 查看
  • 12
  • 多边形内角,多边形外角,
  • 查看
  • 13
  • 分式的值为零的条件,
  • 查看
  • 14
  • 平行四边形的性质,旋转的性质,
  • 查看
  • 15
  • 一元二次方程的解,
  • 查看
  • 16
  • 三角形中位线定理,
  • 查看
  • 17
  • 菱形的性质,
  • 查看
  • 18
  • 解分式方程,
  • 查看
  • 19
  • 因式分解法,
  • 查看
  • 20
  • 分式的化简求值,
  • 查看
  • 21
  • 全等三角形的判定与性质,平行四边形的性质,
  • 查看
  • 22
  • 分式方程的应用,
  • 查看
  • 23
  • 平行四边形的性质,菱形的判定与性质,
  • 查看
  • 24
  • 一元二次方程的应用,
  • 查看
  • 25
  • 四边形综合题,
  • 查看
细目重组明细
2022-2023学年陕西省西安市雁塔区高新一中八年级(下)期末数学试卷的细目表
  • 题号
  • 考点
  • 选题
  • 1
  • 一元二次方程的定义,
  • 查看
  • 2
  • 平行四边形的性质,
  • 查看
  • 3
  • 平行四边形的性质,
  • 查看
  • 4
  • 多边形,平面镶嵌(密铺),
  • 查看
  • 5
  • 配方法,
  • 查看
  • 6
  • 平行四边形的判定,
  • 查看
  • 7
  • 分式方程的增根,
  • 查看
  • 8
  • 根的判别式,
  • 查看
  • 9
  • 三角形的面积,矩形的性质,翻折变换(折叠问题),
  • 查看
  • 10
  • 全等三角形的判定与性质,正方形的性质,
  • 查看
  • 11
  • 最简公分母,
  • 查看
  • 12
  • 多边形内角,多边形外角,
  • 查看
  • 13
  • 分式的值为零的条件,
  • 查看
  • 14
  • 平行四边形的性质,旋转的性质,
  • 查看
  • 15
  • 一元二次方程的解,
  • 查看
  • 16
  • 三角形中位线定理,
  • 查看
  • 17
  • 菱形的性质,
  • 查看
  • 18
  • 解分式方程,
  • 查看
  • 19
  • 因式分解法,
  • 查看
  • 20
  • 分式的化简求值,
  • 查看
  • 21
  • 全等三角形的判定与性质,平行四边形的性质,
  • 查看
  • 22
  • 分式方程的应用,
  • 查看
  • 23
  • 平行四边形的性质,菱形的判定与性质,
  • 查看
  • 24
  • 一元二次方程的应用,
  • 查看
  • 25
  • 四边形综合题,
  • 查看
视频讲解
温馨提示
视频讲解正在加载中、请等待!
视频解析购买
支付方式
德优币数
本次消耗0德优币
温馨提示

客服电话:400-816-0029,服务邮箱:610066832@qq.com

视频资源

选择考点
存放类型
已选考点

平行组卷卷生成中,请等待

组卷异常提醒
温馨提示
试题篮存在未完成组卷,请前往组卷页面-组卷管理,点击“完成组卷”后,方可修改或添加试卷!