首页 | 客服 | 上传赚现
AI助手
德优题库AI助手

AI助手

搜题▪组卷

(1)

服务热线

400-816-0029

    自建题库,共享分红

德优题库QQ交流群

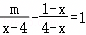
244436. (2023•高新一中•八下期末) 若关于x的方程有增根,则m的值为(  )
A.-2
B.2
C.-3
D.3
共享时间:2023-07-30 难度:1
[考点]
分式方程的增根,
[答案]
见试题解答内容
[解析]
解:∵方程有增根,
∴当x﹣4=0时符合题意,
x=4是方程的增根,
m+1﹣xx﹣4,
m=3.
故选:D
[点评]
本题考查了"分式方程的增根,",属于"基础题",熟悉题型是解题的关键。
转载声明:
本题解析属于发布者收集录入,如涉及版权请向平台申诉! !版权申诉
25361. (2021•滨河中学•八下期中) 分式方程−1=有增根,则m的值为(  )

A.0和2

C.1

B.1和-2

D.2

共享时间:2021-05-30 难度:3 相似度:2
179939. (2024•高新陆港•八下期中) 若关于x的分式方程有增根,则m的值是(  )
A.4
B.3
C.2
D.1
共享时间:2024-05-16 难度:1 相似度:2
181550. (2024•曲江一中•八下二月) 已知关于x的分式方程有增根,则m的值是(  )
A.m=-3
B.m=-2
C.m=-1
D.m=0
共享时间:2024-06-21 难度:1 相似度:2
196192. (2024•师大附中•八下期末) 若关于x的方程=0有增根,则m的值是(  )
A.3
B.-3
C.5
D.-2
共享时间:2024-07-01 难度:1 相似度:2
196367. (2024•高新一中•八下期末) 关于x的方程+1有增根,则m的值是(  )
B.2或3
C.2
D.3
共享时间:2024-07-26 难度:1 相似度:2
196467. (2024•爱知中学•八下期末) 若关于x的分式方程有增根,则m的值为(  )
A.1
B.-2
C.1或-2
D.-1或2
共享时间:2024-07-24 难度:1 相似度:2
198788. (2023•铁一中学•八下期中) 若关于x分式方程有增根,则m的值为(  )
 
A.1
B.-4
C.-5
D.-3
共享时间:2023-05-21 难度:1 相似度:2

csyn@dyw.com

2023-07-30

初中数学 | 八年级下 | 选择题

  • 下载量
  • 浏览量
  • 收益额
  • 0
  • 1
  • 0
相同试题
试题下载
试题内容
调用试题名称
共享人
唐老师
试题题型
解答题
试题难度
试题题源
2020*西工大*期末
下载次数
168次
下载金币
5德优币(当前结余18德优币)
温馨提示
该试题下载至自主题库后,下载、备课永久免费!
试卷设置
试卷名称
省市校区
阶段科目
年份卷型
选择类型
已选考点
在线训练
视频讲解
温馨提示
视频讲解正在加载中、请等待!
温馨提示
对不起!这是别人共享的试题,需要下载到自主题库后,可将该试题添加到白板
视频解析购买
支付方式
德优币数
本次消耗0德优币
温馨提示

客服电话:400-816-0029,服务邮箱:610066832@qq.com

视频资源

试题找茬
纠错类型
纠错描述
温馨提示
共享试题、试卷经平台审核通过后方可展示,并永久享用用户下载分红权!