服务热线
搜题▪组卷


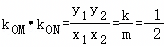
A.
的最小值为0
B..当△PAB为等腰三角形时,点P的纵坐标的最大值为
C.当△PAB的重心在x轴上时,△PAB的面积为
D.当△PAB为钝角三角形时,点P的纵坐标的取值范围为
A.
C.![]()
B..
D.![]()
dygzsxyn
2019-11-17
高中数学 | 高二上 | 选择题