服务热线
搜题▪组卷

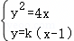
A.|OM|+|ON|≥4
B.MN为直径的圆的面积大于4π
C.直线MN过抛物线y2=x的焦点
D.O到直线MN的距离不大于2
A.
的最小值为0
B..当△PAB为等腰三角形时,点P的纵坐标的最大值为
C.当△PAB的重心在x轴上时,△PAB的面积为
D.当△PAB为钝角三角形时,点P的纵坐标的取值范围为
A.
C.![]()
B..
D.![]()
dygzsxyn
2021-11-16
高中数学 | 高二上 | 选择题