首页 | 客服 | 上传赚现
AI助手
德优题库AI助手

AI助手

搜题▪组卷

(1)

服务热线

400-816-0029

    自建题库,共享分红

德优题库QQ交流群

237190. (2021•高新一中•高二上期中) 已知椭圆的离心率为为椭圆上一点,AB为椭圆上不同两点,O为坐标原点.
(Ⅰ)求椭圆C的方程;
(Ⅱ)线段AB的中点为M,当△AOB面积取最大值时,是否存在两定点GH,使|GM|+|HM|为定值?若存在,求出这个定值;若不存在,请说明理由.
共享时间:2021-11-18 难度:2
[考点]
椭圆的几何特征,直线与椭圆的综合,
[答案]
(Ⅰ)
(Ⅱ)2
[解析]
解:(Ⅰ)由可设a=2tct,则
则方程化为
又点在椭圆上,则,解得t=1,
因此椭圆C的方程为
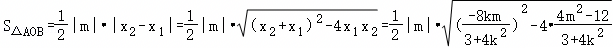
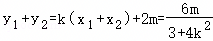
(Ⅱ)当直线AB的斜率存在时,设AB直线的方程为ykx+m
联立直线AB和椭圆C的方程消去y得,3x2+4(kx+m2﹣12=0,
化简得:(3+4k2x2+8kmx+4m2﹣12=0,


=2
时,S取得最大值,即此时2m2=3+4k2

,即
,则
因此平面内存在两点GH使得
当直线AB的斜率不存在时,设

即当取得最大值
此时AB中点M的坐标为,满足方程

[点评]
本题考查了"椭圆的几何特征,直线与椭圆的综合,",属于"必考题",熟悉题型是解题的关键。
转载声明:
本题解析属于发布者收集录入,如涉及版权请向平台申诉! !版权申诉
168942. (2021•高陵一中•二模) 已知椭圆E=1(ab>0)的离心率为,其长轴长为2
(1)求椭圆E的方程;
(2)直线l1yk1xEAC两点,直线l2yk2xEBD两点,若k1k2=﹣,求四边形ABCD的面积.
共享时间:2021-03-30 难度:2 相似度:2
168897. (2021•高新一中•二模) 已知椭圆C+=1(ab>0),其离心率为e
(1)若a=2,点A在椭圆C上,点B在直线y=2上,且OAOB,试判断直线AB与圆x2+y2=2的位置关系,并证明你的结论.
(2)是否存在过椭圆C的右焦点F的直线l,使得其与椭圆C交于AB两点,线段AB的中点为M,且满足坐标原点O关于点M的对称点在椭圆C上.若存在,求出直线l的斜率;若不存在,请说明理由.
共享时间:2021-03-23 难度:2 相似度:2
168827. (2021•西工大附中•十二模) 已知椭圆的左焦点与上顶点关于直线y=﹣x对称,又点E上.
(1)求椭圆E的标准方程;
(2)若动直线l与椭圆E有且只有一个公共点,过点M(1,0)作直线l的垂线,垂足为Q,试证点Q总在定圆上.
共享时间:2021-07-26 难度:2 相似度:2
168757. (2021•西安中学•八模) 已知椭圆C=1(ab>0)的离心率为,点EF分别为其下顶点和右焦点,坐标原点为O,且△EOF的面积为
(1)求椭圆C的方程;
(2)设直线l与椭圆相交于AB两点,若点F恰为△EAB的重心,求直线l的方程.

共享时间:2021-06-14 难度:2 相似度:2
168643. (2021•西安中学•二模) 已知椭圆E=1(ab>0)的离心率为,其长轴长为2
(1)求椭圆E的方程;
(2)直线l1yk1xEAC两点,直线l2yk2xEBD两点,若k1k2=﹣,求四边形ABCD的面积.
共享时间:2021-03-26 难度:2 相似度:2
168127. (2024•西安一中•二模) 已知椭圆的左、右顶点分别是AB,点C上,且△PAB的面积
(1)求C的标准方程;
(2)过点B作直线lC交于另一点,求直线l的斜率.
共享时间:2024-03-17 难度:2 相似度:2
168012. (2023•师大附中•十模) 已知椭圆C=1(a>0)经过点(﹣1,),过点T)的直线交该椭圆于PQ两点.
(1)求△OPQ面积的最大值,并求此时直线PQ的方程;
(2)若直线PQx轴不垂直,在x轴上是否存在点Ss,0)使得∠PST=∠QST恒成立?若存在,求出s的值;若不存在,说明理由.
共享时间:2023-07-02 难度:2 相似度:2
167832. (2024•长安区一中•一模) 已知椭圆C=1的离心率为,且过点(2,2).
(1)求C的方程;
(2)设圆Ox2+y2=4上任意一点A处的切线交CMN两点,试判断是否存在定点P,使得PMPN恒成立?若存在,求出该定点坐标;若不存在,请说明理由.
共享时间:2024-03-04 难度:2 相似度:2
169215. (2025•师大附中•高二上期末) 已知椭圆的左、右焦点分别为F1F2,设点A(0,b),在△AF1F2中,
(1)求椭圆C的方程;
(2)设PQC上异于点A的两动点,记直线APAQ的斜率分别为k1k2,若k1+k2=2k1k2,求证:直线PQ过定点.
共享时间:2025-02-11 难度:3 相似度:1.67
167625. (2024•师大附中•十模) 已知椭圆:的离心率为,其左右焦点分别为F1F2,下顶点为A,右顶点为B,△ABF1的面积为
(1)求椭圆C的方程;
(2)设不过原点O的直线交CMN两点,且直线OMMNON的斜率依次成等比数列,求△MON面积的取值范围.
共享时间:2024-07-09 难度:3 相似度:1.67
168390. (2023•交大附中•十三模) 已知椭圆的上、下焦点分别为F1F2,离心率为,过点F1作直线l(与y轴不重合)交椭圆CMN两点,△MNF2的周长为12.
(1)求椭圆C的标准方程;
(2)若点A是椭圆C的上顶点,设直线lAMAN的斜率分别为kk1k2,当k≠0时,求证:为定值.
共享时间:2023-07-21 难度:3 相似度:1.67
167878. (2024•西工大附中•模拟) 已知椭圆的上顶点为是椭圆E上的一点,以PQ为直径的圆经过椭圆E的右焦点F
(Ⅰ)求椭圆E的方程;
(Ⅱ)过椭圆E的右焦点F且与坐标轴不垂直的直线l与椭圆E交于AB两点,在直线x=2上是否存在一点D,使得△ABD为等边三角形?若存在,求出等边三角形ABD的面积;若不存在,请说明理由.
共享时间:2024-03-05 难度:3 相似度:1.67
167809. (2024•西安一中•二模) 已知椭圆C)的左、右焦点分别为F1F2,离心率为P为椭圆C上的一个动点.△PF1F2面积的最大值为2.
(1)求椭圆C的标准方程.
(2)设斜率存在的直线PF2C的另一个交点为Q,是否存在点Tt,0),使得|TP|=|TQ|.若存在,求出t的取值范围;若不存在,请说明理由.
共享时间:2024-03-29 难度:3 相似度:1.67
167763. (2024•西安一中•三模) 已知椭圆经过点(0,2),
(1)求椭圆C的方程;
(2)若直线lyx﹣2交椭圆CAB两点,O是坐标原点,求△AOB的面积S
共享时间:2024-04-15 难度:3 相似度:1.67
168035. (2023•西安中学•七模) 在平面直角坐标系xOy中,已知椭圆C1与椭圆C2x2+=1,且椭圆C2过椭圆C1的焦点.过点的直线l与椭圆C1交于AB两点,与椭圆C2交于CD两点.
(1)求椭圆C1的标准方程;
(2)若存在直线l,使得ABCD,求t的取值范围.
共享时间:2023-06-04 难度:3 相似度:1.67

dygzsxyn

2021-11-18

高中数学 | 高二上 | 解答题

  • 下载量
  • 浏览量
  • 收益额
  • 0
  • 3
  • 0
相同试题
试题下载
试题内容
调用试题名称
共享人
唐老师
试题题型
解答题
试题难度
试题题源
2020*西工大*期末
下载次数
168次
下载金币
5德优币(当前结余18德优币)
温馨提示
该试题下载至自主题库后,下载、备课永久免费!
试卷设置
试卷名称
省市校区
阶段科目
年份卷型
选择类型
已选考点
在线训练
视频讲解
温馨提示
视频讲解正在加载中、请等待!
温馨提示
对不起!这是别人共享的试题,需要下载到自主题库后,可将该试题添加到白板
视频解析购买
支付方式
德优币数
本次消耗0德优币
温馨提示

客服电话:400-816-0029,服务邮箱:610066832@qq.com

视频资源

试题找茬
纠错类型
纠错描述
温馨提示
共享试题、试卷经平台审核通过后方可展示,并永久享用用户下载分红权!