服务热线
搜题▪组卷
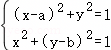
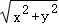
,则

A..等腰三角形
C..等边三角形
B..等腰直角三角形
D.直角三角形
A.单位向量都相等
B.任一向量与它的相反向量不相等
C..平行向量不一定是共线向量
D..模为0的向量与任意向量共线
dygzsxyn
2022-05-17
高中数学 | 高一下 | 选择题