首页 | 客服 | 上传赚现
AI助手
德优题库AI助手

AI助手

搜题▪组卷

(1)

服务热线

400-816-0029

    自建题库,共享分红

德优题库QQ交流群

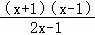
236901. (2016•长安区一中•高一下期末) 不等式≤0的解集是       .
共享时间:2016-07-14 难度:1
[考点]
其他不等式的解法,
[答案]
见试题解答内容
[解析]
解:不等式≤0,即≤0,用穿根法求得它的解集为{x|x≤﹣1,或 x≤1},


故答案为:
[点评]
本题考查了"其他不等式的解法,",属于"基础题",熟悉题型是解题的关键。
转载声明:
本题解析属于发布者收集录入,如涉及版权请向平台申诉! !版权申诉
169522. (2024•铁一中学•高三上期末) .若函数yfx)的定义域为(﹣∞,1)∪(1,+∞),则关于x的不等式axfa)的解集为         
共享时间:2024-02-27 难度:1 相似度:2
170317. (2022•长安区一中•高一下期末) 不等式的解集为              
共享时间:2022-07-24 难度:1 相似度:2
170930. (2025•长安区一中•高一下期中) 使成立的自变量x的取值范围是                    
共享时间:2025-05-02 难度:1 相似度:2
230860. (2017•师大附中•七模) 已知函数fx)=x∈R,则不等式fx2﹣2x)<f(3x﹣4)的解集是      
共享时间:2017-06-02 难度:1 相似度:2
230883. (2017•师大附中•七模) 已知函数fx)=x∈R,则不等式fx2﹣2x)<f(3x﹣4)的解集是       
共享时间:2017-06-04 难度:1 相似度:2
232194. (2024•铁一中学•高一下一月) .若函数yfx)的定义域为(﹣∞,1)∪(1,+∞),则关于x的不等式axfa)的解集为        
共享时间:2024-04-20 难度:1 相似度:2
236449. (2017•西安中学•高一下期末) 不等式<1的解集为      
共享时间:2017-07-20 难度:1 相似度:2
171822. (2022•西安中学•高一上期中) 关于x的不等式(k2+2k﹣3)x2+(k+3)x﹣1>0(k∈R)的解集为空集,则实数k的取值范围是         
共享时间:2022-11-28 难度:2 相似度:1.5

dygzsxyn

2016-07-14

高中数学 | 高一下 | 填空题

  • 下载量
  • 浏览量
  • 收益额
  • 0
  • 4
  • 0
相同试题
试题下载
试题内容
调用试题名称
共享人
唐老师
试题题型
解答题
试题难度
试题题源
2020*西工大*期末
下载次数
168次
下载金币
5德优币(当前结余18德优币)
温馨提示
该试题下载至自主题库后,下载、备课永久免费!
试卷设置
试卷名称
省市校区
阶段科目
年份卷型
选择类型
已选考点
在线训练
视频讲解
温馨提示
视频讲解正在加载中、请等待!
温馨提示
对不起!这是别人共享的试题,需要下载到自主题库后,可将该试题添加到白板
视频解析购买
支付方式
德优币数
本次消耗0德优币
温馨提示

客服电话:400-816-0029,服务邮箱:610066832@qq.com

视频资源

试题找茬
纠错类型
纠错描述
温馨提示
共享试题、试卷经平台审核通过后方可展示,并永久享用用户下载分红权!