首页 | 客服 | 上传赚现
AI助手
德优题库AI助手

AI助手

搜题▪组卷

(1)

服务热线

400-816-0029

    自建题库,共享分红

德优题库QQ交流群

236695. (2016•交大附中•高二上期末) 曲线(θ为参数)上一点P到点A(﹣2,0)、B(2,0)距离之和为     
共享时间:2016-02-10 难度:1
[考点]
椭圆的参数方程,
[答案]
见试题解答内容
[解析]
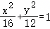
解:曲线
表示的椭圆标准方程为
可知点A(﹣2,0)、B(2,0)
椭圆的焦点,故|PA|+|PB|=2a=8.
故答案为:8.
[点评]
本题考查了"椭圆的参数方程,",属于"常考题",熟悉题型是解题的关键。
转载声明:
本题解析属于发布者收集录入,如涉及版权请向平台申诉! !版权申诉
166505. (2024•铁一中学•高二上二月) 已知椭圆的右焦点F与抛物线的焦点重合,过点F且与x轴垂直的直线交C2AB两点,MC1C2的一个公共点,|MF|=5,|AF|=6.
(1)求C1C2的标准方程;
(2)过点A且与C2相切的直线lC1交于点CD,求|CD|.
共享时间:2024-12-24 难度:5 相似度:2
170770. (2020•西安中学•高二下期末) 已知椭圆C=1,直线lt为参数).
(Ⅰ)写出椭圆C的参数方程及直线l的普通方程;
(Ⅱ)设 A(1,0),若椭圆C上的点P满足到点A的距离与其到直线l的距离相等,求点P的坐标.
共享时间:2020-07-05 难度:2 相似度:1.5

dygzsxyn

2016-02-10

高中数学 | 高二上 | 解答题

  • 下载量
  • 浏览量
  • 收益额
  • 0
  • 3
  • 0
相同试题
试题下载
试题内容
调用试题名称
共享人
唐老师
试题题型
解答题
试题难度
试题题源
2020*西工大*期末
下载次数
168次
下载金币
5德优币(当前结余18德优币)
温馨提示
该试题下载至自主题库后,下载、备课永久免费!
试卷设置
试卷名称
省市校区
阶段科目
年份卷型
选择类型
已选考点
在线训练
视频讲解
温馨提示
视频讲解正在加载中、请等待!
温馨提示
对不起!这是别人共享的试题,需要下载到自主题库后,可将该试题添加到白板
视频解析购买
支付方式
德优币数
本次消耗0德优币
温馨提示

客服电话:400-816-0029,服务邮箱:610066832@qq.com

视频资源

试题找茬
纠错类型
纠错描述
温馨提示
共享试题、试卷经平台审核通过后方可展示,并永久享用用户下载分红权!