首页 | 客服 | 上传赚现
AI助手
德优题库AI助手

AI助手

搜题▪组卷

(1)

服务热线

400-816-0029

    自建题库,共享分红

德优题库QQ交流群

236692. (2016•交大附中•高二上期末) 设抛物线y2=2pxp>0)的焦点为F,其准线与x轴的交点为Q,过Q点的直线l交抛物线于AB两点.
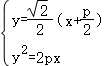
(1)若直线l的斜率为,求证:
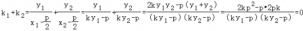
(2)设直线FAFB的斜率分别为k1k2,求k1+k2的值.
共享时间:2016-02-10 难度:2
[考点]
抛物线的焦点与准线,直线与圆锥曲线的综合,
[答案]
(1)证明:由题意可得
联立,得
Ax1y1),Bx2y2),



(2)0.
[解析]
(1)证明:由题意可得
联立,得
Ax1y1),Bx2y2),



(2)设直线,与抛物线联立得y2﹣2pky+p2=0.


[点评]
本题考查了"抛物线的焦点与准线,直线与圆锥曲线的综合,",属于"易错题",熟悉题型是解题的关键。
转载声明:
本题解析属于发布者收集录入,如涉及版权请向平台申诉! !版权申诉
168550. (2021•西安中学•六模) 如图,抛物线关于x轴对称,它的顶点在坐标原点,点P(1,2)、Ax1y1)、Bx2y2)均在抛物线上.
(1)写出该抛物线的标准方程;
(2)当直线PAPB的斜率存在且倾斜角互补时,求直线AB的斜率.

共享时间:2021-05-15 难度:2 相似度:2
168252. (2021•西安中学•五模) .已知抛物线Γ:y2axa>0)的焦点为F,若过点F且倾斜角为的直线交抛物线Γ于MN两点,满足|MN|=8.
(1)求抛物线Γ的方程;
(2)过点Dm,0)且斜率为1的直线被抛物线Γ截得的弦为AB,若点F在以AB为直径的圆内,求m的取值范围.
共享时间:2021-05-01 难度:2 相似度:2
169194. (2020•交大附中•三模) 已知椭圆C1+=1的离心率与双曲线y2=1的离心率互为倒数,直线lyx+2与以原点为圆心,以椭圆C1的短半轴长为半径的圆相切.
(1)求椭圆C1的方程;
(2)设椭圆C1的左焦点为F1,右焦点为F2,直线l1过点F1且垂直于椭圆的长轴,动直线l2垂直l1于点P,线段PF2垂直平分线交l2于点M,求点M的轨迹C2的方程;
(3)设第(2)问中的C2x轴交于点Q,不同的两点RSC2上,且满足,求的取值范围.
共享时间:2020-04-15 难度:1 相似度:1.5
168735. (2021•西安中学•仿真) 如图,椭圆C1的一个顶点为P(0,﹣1),离心率为l1l2是过点P且互相垂直的两条直线,其中,l1交圆C2x2+y2=4于AB两点,l2交椭圆C1于另一点D
(Ⅰ)求椭圆C1的方程;
(Ⅱ)求△ABD面积取最大值时,直线l1的方程.

共享时间:2021-06-10 难度:1 相似度:1.5
169311. (2025•铁一中学•高二上期末) 已知抛物线C1y2=4xC2x2=2pyp>0)的焦点分别为F1F2,点P(﹣1,﹣1),且F1F2OPO为坐标原点).
I)求抛物线C2的方程;
II)过点O的直线交C1的下半部分于点M,交C2的左半部分于点N,求△PMN面积的最小值.
共享时间:2025-02-12 难度:1 相似度:1.5
170037. (2023•西工大附中•高三上期末) 已知抛物线Cy2=2pxp>0)的焦点F到准线的距离为2,圆My轴相切,且圆心M与抛物线C的焦点重合.
(1)求抛物线C和圆M的方程;
(2)设Px0y0)(x0≠2)为圆M外一点,过点P作圆M的两条切线,分别交抛物线C于两个不同的点Ax1y1),Bx2y2)和点Qx3y3),Rx4y4).且y1y2y3y4=16,证明:点P在一条定曲线上.
共享时间:2023-02-04 难度:1 相似度:1.5
168620. (2021•西安中学•二模) 已知离心率为的椭圆C的一个顶点恰好是抛物线x2=4y的焦点,过点M(4,0)且斜率为k的直线交椭圆CAB两点.
(Ⅰ)求椭圆C的方程;
(Ⅱ)求k的取值范围;
(Ⅲ)若k≠0,AP关于x轴对称,直线BPx轴于N,求证:|ON|为定值.
共享时间:2021-03-17 难度:1 相似度:1.5
168713. (2021•西安中学•仿真) 如图,椭圆C1的一个顶点为P(0,﹣1),离心率为l1l2是过点P且互相垂直的两条直线,其中,l1交圆C2x2+y2=4于AB两点,l2交椭圆C1于另一点D
(Ⅰ)求椭圆C1的方程;
(Ⅱ)若△ABD面积为,求直线l1的方程.

共享时间:2021-06-05 难度:1 相似度:1.5
167455. (2023•雁塔二中•高二上二月) 已知抛物线Cy2=3x的焦点为F,斜率为的直线lC的交点为AB,与x轴的交点为P
(1)若|AF|+|BF|=4,求l的方程;
(2)若=3,求|AB|.
共享时间:2023-12-24 难度:1 相似度:1.5
166256. (2024•师大附中•高二上二月) 设抛物线Cy2=2pxp>0),过焦点F的直线与抛物线C交于点Ax1y1),Bx2y2).当直线AB垂直于x轴时,|AB|=2.
(1)求抛物线C的标准方程.
(2)已知点P(1,0),直线APBP分别与抛物线C交于点CD
①求证:直线CD过定点;
②求△PAB与△PCD面积之和的最小值.
共享时间:2024-12-29 难度:5 相似度:1.5
168435. (2021•西安中学•七模) 如图,已知椭圆的离心率为E的左顶点为A、上顶点为B,点P在椭圆上,且△PF1F2的周长为
(Ⅰ)求椭圆的方程;
(Ⅱ)设CD是椭圆E上两不同点,CDAB,直线CDx轴、y轴分别交于MN两点,且的取值范围.

共享时间:2021-06-06 难度:1 相似度:1.5
168919. (2021•高陵一中•二模) 已知离心率为的椭圆C的一个顶点恰好是抛物线x2=4y的焦点,过点M(4,0)且斜率为k的直线交椭圆CAB两点.
(Ⅰ)求椭圆C的方程;
(Ⅱ)求k的取值范围;
(Ⅲ)若k≠0,AP关于x轴对称,直线BPx轴于N,求证:|ON|为定值.
共享时间:2021-03-23 难度:1 相似度:1.5
166877. (2024•西安八十三中•高二上二月) .已知动圆P与圆相切,且与圆相内切,记圆心P的轨迹为曲线C
(1)求曲线C的方程;
(2)设Q为曲线C上的一个不在x轴上的动点,过点F2OQO为坐标原点)的平行线交曲线CMN两个不同的点,记△QMN的面积为S,求S的最大值.
共享时间:2024-12-23 难度:1 相似度:1.5
166680. (2024•高新一中•高二上二月) 在平面直角坐标系xOy中,已知点,||MF1|﹣|MF2||=4,动点M的轨迹为C
(Ⅰ)求C的方程;
(Ⅱ)若直线ly=﹣x+tCAB两点,且|AB|=2,求直线l的方程.
共享时间:2024-12-27 难度:1 相似度:1.5
170893. (2024•师大附中•高二上期中) 北京时间2022年4月16日9时56分,神舟十三号载人飞船返回舱在东风着陆场成功着陆,全国人民都为我国的科技水平感到自豪.某学校科技小组在计算机上模拟航天器变轨返回试验.如图,航天器按顺时针方向运行的轨迹方程为,变轨(即航天器运行轨迹由椭圆变为抛物线)后返回的轨迹是以y轴为对称轴,为顶点的抛物线的一部分(从点C到点B).已知观测点A的坐标(6,0),当航天器与点A距离为4时,指挥中心向航天器发出变轨指令;(1)求航天器变轨时点C的坐标;
(2)求航天器降落点B与观测点A之间的距离.

共享时间:2024-11-18 难度:1 相似度:1.5

dygzsxyn

2016-02-10

高中数学 | 高二上 | 解答题

  • 下载量
  • 浏览量
  • 收益额
  • 0
  • 3
  • 0
相同试题
试题下载
试题内容
调用试题名称
共享人
唐老师
试题题型
解答题
试题难度
试题题源
2020*西工大*期末
下载次数
168次
下载金币
5德优币(当前结余18德优币)
温馨提示
该试题下载至自主题库后,下载、备课永久免费!
试卷设置
试卷名称
省市校区
阶段科目
年份卷型
选择类型
已选考点
在线训练
视频讲解
温馨提示
视频讲解正在加载中、请等待!
温馨提示
对不起!这是别人共享的试题,需要下载到自主题库后,可将该试题添加到白板
视频解析购买
支付方式
德优币数
本次消耗0德优币
温馨提示

客服电话:400-816-0029,服务邮箱:610066832@qq.com

视频资源

试题找茬
纠错类型
纠错描述
温馨提示
共享试题、试卷经平台审核通过后方可展示,并永久享用用户下载分红权!