首页 | 客服 | 上传赚现
AI助手
德优题库AI助手

AI助手

搜题▪组卷

(1)

服务热线

400-816-0029

    自建题库,共享分红

德优题库QQ交流群

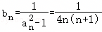
236431. (2017•西安中学•高一下期末) 已知等差数列an满足:a3=7,a5+a7=26,令,则数列bn的前n项和Tn              .
共享时间:2017-07-15 难度:2
[考点]
等差数列的通项公式,数列的求和,
[答案]
见试题解答内容
[解析]
解:∵等差数列an满足:a3=7,a5+a7=26,
a3+a5+a7=33,
a5=11
d=2
an=2n+1,

∴4


故答案为:
[点评]
本题考查了"等差数列的通项公式,数列的求和,",属于"必考题",熟悉题型是解题的关键。
转载声明:
本题解析属于发布者收集录入,如涉及版权请向平台申诉! !版权申诉
166384. (2024•长安区一中•高二上二月) 若关于x的方程x2x+a=0和x2x+b=0(ab)的四个根组成首项为的等差数列,则a+b的值是         
共享时间:2024-12-18 难度:1 相似度:1.5
230837. (2019•高新一中•一模) 已知数列{an}的通项公式an=log2n∈N*),设其前n项和为Sn,则使Sn<﹣4成立的最小自然数n的值为      
共享时间:2019-03-06 难度:1 相似度:1.5
237377. (2021•西北大附中•高二下期中) 已知等差数列{an}的前n项和为Sna5=5,S5=15,则数列的前100项和为         .
共享时间:2021-05-29 难度:1 相似度:1.5
236927. (2016•长安区一中•高二下期末) 对于实数x,用[x]表示不超过x的最大整数,如[0.41]=0,[7.28]=7,若n为正整数,an=[],Sn为数列{an}的前n项和,S3n             .
共享时间:2016-07-22 难度:1 相似度:1.5
236642. (2017•铁一中学•高一下期末) 设{an}是递增等差数列,前三项的和为12,前三项的积为48,则它的首项是    
共享时间:2017-07-14 难度:1 相似度:1.5
236576. (2017•西工大附中•高一下期末) 数列{an}满足a1=1,且对于任意的n∈N*都满足,则数列{anan+1}的前10项和为            .
共享时间:2017-07-25 难度:1 相似度:1.5
232609. (2023•鄠邑二中•高三上三月) 若数列{an}的通项公式是,则该数列的前100项之和为       
共享时间:2023-01-21 难度:1 相似度:1.5
232149. (2024•西工大附中•高二下一月) 数列{(﹣1)n+2}的前n项和为Sn,则S2023      
共享时间:2024-04-26 难度:1 相似度:1.5
231676. (2015•西工大附中•二模) 已知函数fx)对一切实数ab满足fa+b)=fa)•fb),f(1)=2,(且fx)恒非零),数列{an}的通项ann∈N+),则数列{an}的前n项和=      
共享时间:2015-03-21 难度:1 相似度:1.5
231340. (2016•西工大附中•十模) 若数列{an}是正项数列,且++…+n2+3nn∈N*),则++…+           
共享时间:2016-06-25 难度:1 相似度:1.5
231212. (2016•西工大附中•十模) 若数列{an}是正项数列,且++…+n2+3nn∈N*),则++…+    
共享时间:2016-06-20 难度:1 相似度:1.5
166464. (2024•铁一中学•高三上三月) 已知,则使不等式能成立的正整数n的最大值为        
共享时间:2024-01-29 难度:1 相似度:1.5
230975. (2017•高新一中•一模) 已知数列{an}的通项公式an=log2n∈N*),设其前n项和为Sn,则使Sn<﹣4成立的最小自然数n的值为        
共享时间:2017-03-08 难度:1 相似度:1.5
231070. (2016•西安一中•一模) 设数列{an}是首项为1,公比为﹣2的等比数列,则a1+|a2|+a3+|a4|=      
共享时间:2016-03-14 难度:1 相似度:1.5
237442. (2021•高新一中•高一下期中) 若数列{an}满足an﹣(﹣1)nan﹣1nn≥2,n∈N*),Sn是{an}的前n项和,则S40    
共享时间:2021-05-11 难度:1 相似度:1.5

dygzsxyn

2017-07-15

高中数学 | 高一下 | 填空题

  • 下载量
  • 浏览量
  • 收益额
  • 0
  • 3
  • 0
相同试题
试题下载
试题内容
调用试题名称
共享人
唐老师
试题题型
解答题
试题难度
试题题源
2020*西工大*期末
下载次数
168次
下载金币
5德优币(当前结余18德优币)
温馨提示
该试题下载至自主题库后,下载、备课永久免费!
试卷设置
试卷名称
省市校区
阶段科目
年份卷型
选择类型
已选考点
在线训练
视频讲解
温馨提示
视频讲解正在加载中、请等待!
温馨提示
对不起!这是别人共享的试题,需要下载到自主题库后,可将该试题添加到白板
视频解析购买
支付方式
德优币数
本次消耗0德优币
温馨提示

客服电话:400-816-0029,服务邮箱:610066832@qq.com

视频资源

试题找茬
纠错类型
纠错描述
温馨提示
共享试题、试卷经平台审核通过后方可展示,并永久享用用户下载分红权!