首页 | 客服 | 上传赚现
AI助手
德优题库AI助手

AI助手

搜题▪组卷

(1)

服务热线

400-816-0029

    自建题库,共享分红

德优题库QQ交流群

236260. (2017•西安中学•高一上期末) 已知函数,对于满足1<x1x2<2的任意x1x2,给出下列结论:
fx2)﹣fx1)>x2x1;            ②x2fx1)>x1fx2);
③(x2x1)[fx2)﹣fx1)]<0;      ④(x2x1)[fx2)﹣fx1)]>0
其中正确结论有          (写上所有正确结论的序号).
共享时间:2017-02-15 难度:1
[考点]
由函数的单调性求解函数或参数,
[答案]
见试题解答内容
[解析]
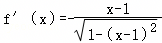
解:设,①设yfx)﹣x,即y
∵1<x<2;
y′<0;
fx)﹣x在(1,2)上单调递减;
∵1<x1x2<2;
fx1)﹣x1fx2)﹣x2
fx2)﹣fx1)<x2x1
∴该结论错误;
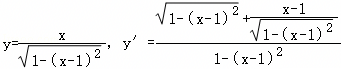
②设y,即
∵1<x<2;
y′>0;
在(1,2)上单调递增;
∵1<x1x2<2;

x2fx1)>x1fx2);
∴该结论正确;

1<x<2,∴f′(x)<0;
fx)在(1,2)上单调递减;
∵1<x1x2<2;
fx1)>fx2);
∴(x2x1)[fx2)﹣fx1)]<0;
∴该结论正确,结论④错误;
∴正确的结论为②③.
故答案为:②③.
[点评]
本题考查了"由函数的单调性求解函数或参数,",属于"常考题",熟悉题型是解题的关键。
转载声明:
本题解析属于发布者收集录入,如涉及版权请向平台申诉! !版权申诉
考点说明
灰色代表去掉的考点,绿色代表未变动的考点,红色代表新增的考点
232505. (2023•华清中学•高一上二月) 已知fx)=是(﹣∞,+∞)上的减函数,那么实数a的取值范围是            
共享时间:2023-12-18 难度:1 相似度:2
171120. (2024•西电附中•高一上期中) 已知定义在(0,+∞)上的函数fx)满足f(2)=4,对任意的x1x2∈(0,+∞),且x1x2恒成立,则不等式fx﹣3)>2x﹣6的解集为         
共享时间:2024-11-21 难度:1 相似度:2
237566. (2019•西安中学•高一上期中) 若函数对于R上的任意x1x2都有,则实数a的取值范围是     .
共享时间:2019-11-21 难度:1 相似度:2
232394. (2024•铁一中学•高二下一月) 已知函数为减函数,则a的取值范围是          ] 
共享时间:2024-04-13 难度:1 相似度:2
171820. (2022•西安中学•高一上期中) 函数的定义域是                
共享时间:2022-11-28 难度:1 相似度:2
171412. (2023•长安区一中•高一上期中) 若函数在R上为增函数,则a取值范围为      
共享时间:2023-11-15 难度:1 相似度:2
170618. (2021•长安区一中•高一上期末) 已知fx)是定义域为R的单调函数,且对任意实数x,都有f[fx)﹣ex]=1,则下列关于fx)的说法中正确的为      .(填序号)
f(0)=1;②fx)为单调增函数;③fx)奇函数;④fx)=2ex﹣1.
共享时间:2021-02-11 难度:1 相似度:2
170272. (2023•西工大附中•高一上期末) 已知函数是减函数,则实数a的取值范围为        
共享时间:2023-02-07 难度:1 相似度:2
166659. (2024•高新一中•三模) 已知函数fx)=a>0且a≠1)在R上单调递减,且关于x的方程|fx)|=2﹣x恰有两个不相等的实数解,则a的取值范围是      
共享时间:2024-04-04 难度:1 相似度:2
272674. (2021•长安区一中•高一上一月) 已知函数fx)=是(﹣∞,+∞)上的增函数,则实数a的取值范围是          
共享时间:2021-10-20 难度:1 相似度:2
171139. (2025•西安八十五中•高二下期中) 已知函数fx)在R上有定义,且f(0)=0.若对任意给定的实数x1x2x1x2),均有(x1x2)[fx1)﹣fx2)]<0恒成立,则不等式(x+1)f(1﹣2x)<0的解集是                 
共享时间:2025-04-28 难度:2 相似度:1.5
233363. (2022•西工大附中•高一上二月) 已知函数满足x1x2时恒有成立,求实数a的取值范围为        
共享时间:2022-12-20 难度:2 相似度:1.5
171757. (2022•师大附中•高一上期中) 若区间[ab]满足:①函数fx)在[ab]上有定义且单调;②函数fx)在[ab]上的值域也为[ab],则称区间[ab]为函数fx)的共鸣区间.请写出函数fx)=x3的一个共鸣区间                     
共享时间:2022-11-26 难度:2 相似度:1.5
169671. (2024•西电附中•高二上期末) 函数f(x)=x2+bx+1在[1,+∞)上单调递增,则实数b的取值范围是        
共享时间:2024-02-14 难度:2 相似度:1.5
172244. (2022•唐南中学•高一上期中) 已知fx)=R上的减函数,则实数a的取值范围为       
共享时间:2022-11-10 难度:2 相似度:1.5

dygzsxyn

2017-02-15

高中数学 | 高一上 | 填空题

  • 下载量
  • 浏览量
  • 收益额
  • 0
  • 8
  • 0
相同试题
试题下载
试题内容
调用试题名称
共享人
唐老师
试题题型
解答题
试题难度
试题题源
2020*西工大*期末
下载次数
168次
下载金币
5德优币(当前结余18德优币)
温馨提示
该试题下载至自主题库后,下载、备课永久免费!
试卷设置
试卷名称
省市校区
阶段科目
年份卷型
选择类型
已选考点
在线训练
视频讲解
温馨提示
视频讲解正在加载中、请等待!
温馨提示
对不起!这是别人共享的试题,需要下载到自主题库后,可将该试题添加到白板
视频解析购买
支付方式
德优币数
本次消耗0德优币
温馨提示

客服电话:400-816-0029,服务邮箱:610066832@qq.com

视频资源

试题找茬
纠错类型
纠错描述
温馨提示
共享试题、试卷经平台审核通过后方可展示,并永久享用用户下载分红权!