首页 | 客服 | 上传赚现
AI助手
德优题库AI助手

AI助手

搜题▪组卷

(1)

服务热线

400-816-0029

    自建题库,共享分红

德优题库QQ交流群

236200. (2018•西安中学•高二下期末) 已知函数fx)=2lnxx2+axa∈R).
(Ⅰ)当a=2时,求fx)的图象在x=1处的切线方程;
(Ⅱ)若函数fx)与gx)=axm图象在上有两个不同的交点,求实数m的取值范围.
共享时间:2018-07-08 难度:1
[考点]
利用导数研究曲线上某点切线方程,
[答案]
见试题解答内容
[解析]
解:(Ⅰ)当a=2时,fx)=2lnxx2+2xf′(x)=﹣2x+2,
切点坐标为(1,1),切线的斜率kf′(1)=2,
则切线方程为y﹣1=2(x﹣1),即y=2x﹣1.
(Ⅱ)由题意可得:2lnxx2+m=0,令hx)=2lnxx2+m
h′(x)=﹣2x
x∈[e],故h′(x)=0时,x=1.
x<1时,h′(x)>0;当1<xe时,h′(x)<0.
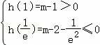
hx)在x=1处取得极大值h(1)=m﹣1.
m﹣2﹣he)=m+2﹣e2he)﹣=4﹣e2+<0,
he)<
hx)在[]上的最小值为he).
hx)在[]上有两个零点的条件是
解得:1<m≤2+
∴实数m的取值范围是[1,2+].
[点评]
本题考查了"利用导数研究曲线上某点切线方程,",属于"常考题",熟悉题型是解题的关键。
转载声明:
本题解析属于发布者收集录入,如涉及版权请向平台申诉! !版权申诉
171869. (2022•西安中学•高二上期中) 已知函数fx)=ax+lnx)(a≠0),gx)=x2
(1)若fx)的图象在x=1处的切线恰好也是gx)图象的切线.
①求实数a的值;
②若方程fx)=mx在区间内有唯一实数解,求实数m的取值范围.
(2)当0<a<1时,求证:对于区间[1,2]上的任意两个不相等的实数x1x2,都有|fx1)﹣fx2)|<|gx1)﹣gx2)|成立.
共享时间:2022-11-21 难度:1 相似度:2
170466. (2022•西工大附中•高一下期末) .已知函数fx)=axlnxbx2ax
(Ⅰ)曲线yfx)在点(1,f(1))处的切线方程为,求ab的值;
(Ⅱ)若a≤0,时,∀x1x2∈(1,e),都有,求a的取值范围.
共享时间:2022-07-08 难度:1 相似度:2
166446. (2024•西工大附中•高三上二月) .已知函数fx)=x3x
(1)求曲线yfx)在点M(1,0)处的切线方程;
(2)如果过点(1,b)可作曲线yfx)的三条切线,求实数b的取值范围.
共享时间:2024-12-24 难度:1 相似度:2
168920. (2021•高陵一中•二模) 已知函数fx)=exx∈R.
(Ⅰ)若直线ykx﹣1)与fx)的图像相切,求实数k的值;
(Ⅱ)设x>0,若曲线yfx)与ymx2m>0)有且只有一个公共点,求实数m的值;
(Ⅲ)设ab,比较的大小,并说明理由.
共享时间:2021-03-23 难度:1 相似度:2
169149. (2020•西工大附中•二模) 已知函数fx)=x+(x+1)lnx+1)(a∈R).
(1)当a=1时,求曲线yfx)在x=1处的切线方程;
(2)若∀x1x2∈(0,+∞),x1x2,都有fx1)<fx2),求实数a的取值范围.
共享时间:2020-03-17 难度:1 相似度:2
169631. (2024•西安三中•高二上期末) 已知曲线fx)=x3x
求 (1)曲线在点(﹣1,0)处的切线方程;
(2)曲线过点(﹣1,0)的切线方程;
(3)曲线平行于直线11xy+1=0的切线方程.
共享时间:2024-02-04 难度:1 相似度:2
168621. (2021•西安中学•二模) 已知函数fx)=exx∈R.
(Ⅰ)若直线ykx﹣1)与fx)的图像相切,求实数k的值;
(Ⅱ)设x>0,若曲线yfx)与ymx2m>0)有且只有一个公共点,求实数m的值;
(Ⅲ)设ab,比较的大小,并说明理由.
共享时间:2021-03-17 难度:1 相似度:2
168781. (2021•西安中学•八模) 已知函数fx)=ex﹣(x+mlnx+m)+xm≤2.
(1)当m=1时,求函数在x=0处的切线方程;
(2)证明:函数fx)为单调递增函数.
共享时间:2021-06-19 难度:2 相似度:1.5
169147. (2020•西工大附中•二模) 甲、乙两公司在AB两地同时生产某种大型产品(这两个公司每天都只能固定生产10件产品),在产品发货给客户使用之前需要对产品进行质量检测,检测结果按等级分为特等品,一等品,二等品,报废品.只有特等品和一等品是合格品,且可以直接投入使用,二等品需要加以特别修改才可以投入使用,报废品直接报废,检测员统计了甲、乙两家公司某月30天的生产情况及每件产品盈利亏损情况如表所示:
  检测结果 特等品 一等品 二等品 报废品
甲公司 产品件数 210 54 20 16
乙公司 产品件数 240 18 28 14
 
  每件特等品 每件一等品 每件二等品 报废品
甲公司 盈2万元 盈1万元 亏1万元 亏2万元
乙公司 盈1.5万元 盈0.8万元 亏1万元 亏1.2万元
(1)分别求甲、乙两个公司这30天生产的产品的合格率(用百分数表示).
(2)试问甲、乙两个公司这30天生产的产品的总利润哪个更大?说明理由.
(3)若从乙公司这30天生产的不合格产品中随机抽取2件产品,记抽取二等品的件数为X,求X的分布列及期望.
共享时间:2020-03-17 难度:2 相似度:1.5
169213. (2025•师大附中•高二上期末) 已知函数fx)=﹣1.
(Ⅰ)求曲线yfx)在点(1,f(1))处的切线方程;
(Ⅱ)求函数fx)的单调区间;
(Ⅲ)已知函数gx)=3x3+2ax2+1,若∀x1x2∈[1,e],不等式fx1)≤gx2)恒成立,求实数a的取值范围.
共享时间:2025-02-11 难度:2 相似度:1.5
169481. (2024•西工大附中•高二上期末) 已知函数fx)=lnx+x2
(1)求曲线yfx)在点(1,f(1))处的切线方程;
(2)求函数hx)=fx)﹣3x的单调区间.
共享时间:2024-02-02 难度:2 相似度:1.5
170146. (2023•铁一中学•高二下期末) 已知函数fx)=lnxgx)=ax﹣1)2﹣1.
(1)当时,求函数Fx)=fx)﹣gx)的最大值;
(2)当时,求曲线yfx)与ygx)的公切线方程.
共享时间:2023-07-12 难度:2 相似度:1.5
170574. (2021•西安中学•高二上期末) 函数
(1)求曲线yfx)在点(2,f(2))处的切线方程;
(2)求fx)在区间上的最大值.
共享时间:2021-02-20 难度:2 相似度:1.5
170420. (2022•长安区一中•高二上期末) 已知函数x=0处的切线与x轴平行.
(Ⅰ)求a的值;
(Ⅱ)判断在(0,π)上零点的个数,并说明理由.
共享时间:2022-02-04 难度:2 相似度:1.5
170684. (2021•铁一中学•高二上期末) 设函数fx)=x+ax2+blnx,曲线yfx)过P(1,0),且在P点处的切线率为2.
(Ⅰ)求ab的值;
(Ⅱ)证明:fx)≤2x﹣2.
共享时间:2021-02-27 难度:2 相似度:1.5

dygzsxyn

2018-07-08

高中数学 | 高二下 | 解答题

  • 下载量
  • 浏览量
  • 收益额
  • 0
  • 3
  • 0
相同试题
试题下载
试题内容
调用试题名称
共享人
唐老师
试题题型
解答题
试题难度
试题题源
2020*西工大*期末
下载次数
168次
下载金币
5德优币(当前结余18德优币)
温馨提示
该试题下载至自主题库后,下载、备课永久免费!
试卷设置
试卷名称
省市校区
阶段科目
年份卷型
选择类型
已选考点
在线训练
视频讲解
温馨提示
视频讲解正在加载中、请等待!
温馨提示
对不起!这是别人共享的试题,需要下载到自主题库后,可将该试题添加到白板
视频解析购买
支付方式
德优币数
本次消耗0德优币
温馨提示

客服电话:400-816-0029,服务邮箱:610066832@qq.com

视频资源

试题找茬
纠错类型
纠错描述
温馨提示
共享试题、试卷经平台审核通过后方可展示,并永久享用用户下载分红权!