首页 | 客服 | 上传赚现
AI助手
德优题库AI助手

AI助手

搜题▪组卷

(1)

服务热线

400-816-0029

    自建题库,共享分红

德优题库QQ交流群

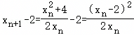
233493. (2023•铁一中学•高二下二月) 英国著名物理学家牛顿用“作切线”的方法求函数零点时,给出的“牛顿数列”在航空航天中应用广泛,若数列{xn}满足,则称数列{xn}为牛顿数列.如果函数fx)=x2﹣4,数列{xn}为牛顿数列,设,且a1=1,xn>2.则a2024      
共享时间:2023-06-26 难度:1
[考点]
数列与函数的综合,
[答案]
22023
[解析]
解:由题设可得

因为xn>2,故xn﹣2>0,故
an+1=2an
a1=1≠0,故
故{an}为等比数列,故
所以
故答案为:22023
[点评]
本题考查了"数列与函数的综合,",属于"基础题",熟悉题型是解题的关键。
转载声明:
本题解析属于发布者收集录入,如涉及版权请向平台申诉! !版权申诉
167321. (2023•长安区一中•高三上二月) 等差数列{an}的前n项和为Sn,已知S10=0,S15=25,则n+Sn的最小值为              
共享时间:2023-12-21 难度:2 相似度:1.5
167343. (2023•长安区一中•高三上二月) 等差数列{an}的前n项和为Sn,已知S10=0,S15=25,则n+Sn的最小值为                    
共享时间:2023-12-15 难度:2 相似度:1.5
168294. (2022•西工大附中•一模) 定义函数fx)=[x[x]],其中[x]表示不超过x的最大整数,例如[1.3]=1,[﹣1.5]=﹣2,[2]=2,当x∈[0,nn∈N*时,fx)的值域为An,记集合An中元素的个数为an,则的值为         
共享时间:2022-03-12 难度:2 相似度:1.5
169366. (2024•师大附中•高二上期末) 已知数列{an}的通项公式为,则{an}的最小项的值为       
共享时间:2024-02-14 难度:2 相似度:1.5

dygzsxyn

2023-06-26

高中数学 | 高二下 | 填空题

  • 下载量
  • 浏览量
  • 收益额
  • 0
  • 3
  • 0
相同试题
试题下载
试题内容
调用试题名称
共享人
唐老师
试题题型
解答题
试题难度
试题题源
2020*西工大*期末
下载次数
168次
下载金币
5德优币(当前结余18德优币)
温馨提示
该试题下载至自主题库后,下载、备课永久免费!
试卷设置
试卷名称
省市校区
阶段科目
年份卷型
选择类型
已选考点
在线训练
视频讲解
温馨提示
视频讲解正在加载中、请等待!
温馨提示
对不起!这是别人共享的试题,需要下载到自主题库后,可将该试题添加到白板
视频解析购买
支付方式
德优币数
本次消耗0德优币
温馨提示

客服电话:400-816-0029,服务邮箱:610066832@qq.com

视频资源

试题找茬
纠错类型
纠错描述
温馨提示
共享试题、试卷经平台审核通过后方可展示,并永久享用用户下载分红权!